首页 >
行业动态 > 【MIL-53(Al)-NH₂】氨基在MIL-53(Al)对亚甲基蓝和孔雀石绿染料吸附中的强化作用
【MIL-53(Al)-NH₂】氨基在MIL-53(Al)对亚甲基蓝和孔雀石绿染料吸附中的强化作用
摘要:
合成MIL-53(Al)和MIL-53(Al)-NH₂两种金属有机框架(MOFs),用于去除水溶液中甲基蓝(MB)和孔雀石绿(MG)阳离子染料。MIL-53(Al)-NH₂吸附容量高、速率快,吸附动力学符合准二级模型,等温线更契合朗缪尔模型,吸附过程自发且吸热,可通过简单洗涤再生,在海水养殖废水处理中具潜在应用价值。

研究背景:
1. 行业问题和研究现状:含染料废水污染环境、危害健康,染料分子难降解;现有吸附剂存在吸附容量低、选择性差等缺陷,MIL-53(Al)虽稳定但对阳离子染料吸附能力极弱。
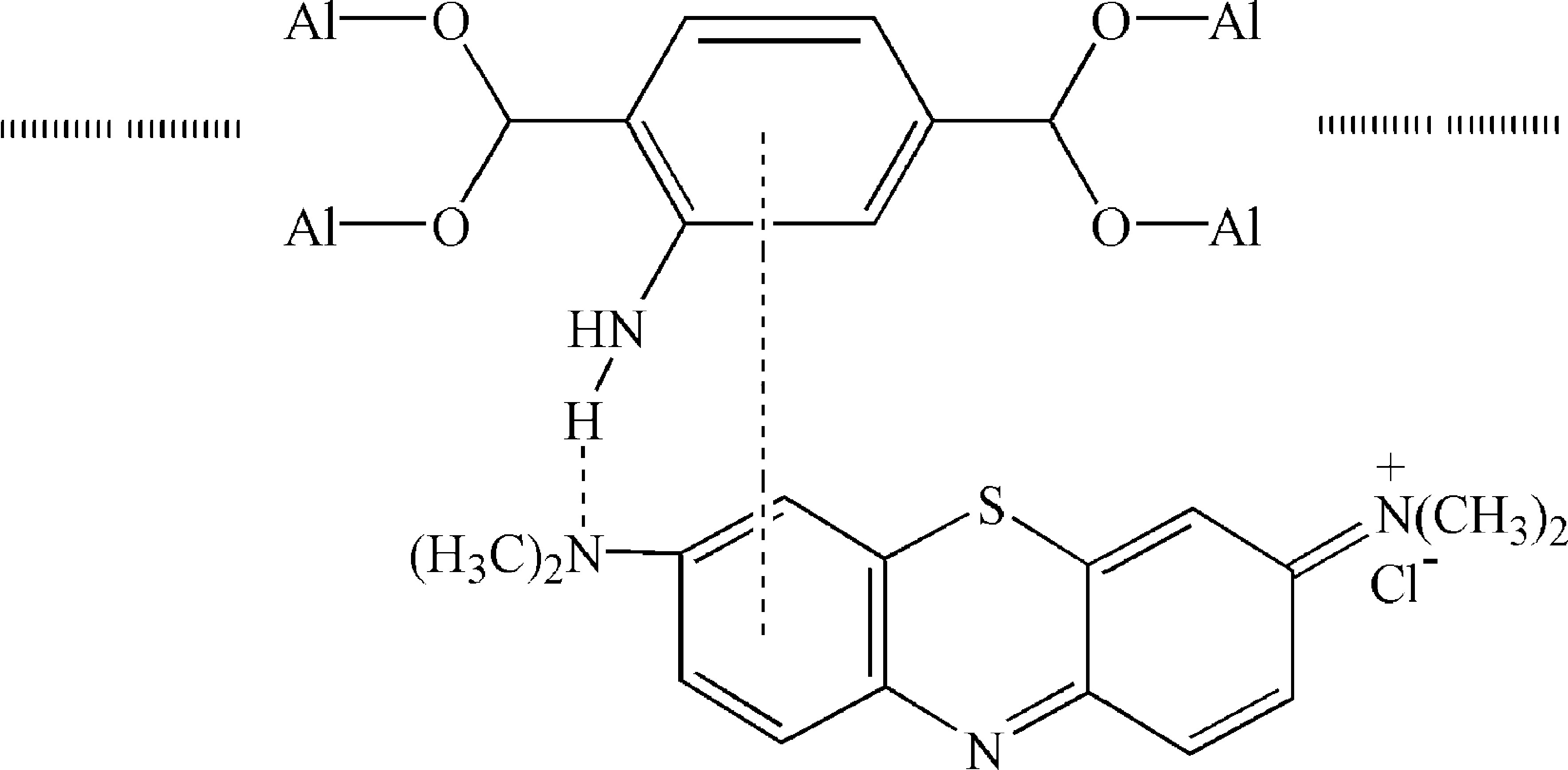
2. 本文创新:在MIL-53(Al)中引入氨基制备MIL-53(Al)-NH₂,利用氨基与阳离子染料的氢键作用提升吸附性能,系统研究吸附动力学、等温线及热力学等特性。
实验部分:
1. 材料制备:采用水热法,以硝酸铝、对苯二甲酸/2-氨基对苯二甲酸为原料,分别合成MIL-53(Al)和MIL-53(Al)-NH₂,经洗涤、干燥处理。
2. 吸附实验:配制5mg/L MB和MG溶液,加入10mg吸附剂,振荡吸附后过滤,测定不同时间、温度、pH下染料浓度,计算吸附量;用甲醇和60%乙腈溶液再生吸附剂。
3. 海水应用实验:以35‰盐度海水配制染料溶液,按上述条件吸附,测定MIL-53(Al)-NH₂对MB和MG的吸附量分别为45.97mg/g和38.09mg/g。
分析测试:
1. FT-IR:MIL-53(Al)-NH₂在3380和3500cm⁻¹处出现-NH₂伸缩振动峰,证实氨基引入。
2. XRD:两种MOFs衍射图谱与文献一致,峰强因制备时溶剂比例不同有差异。
3. SEM:MIL-53(Al)为5μm长条形八面体,MIL-53(Al)-NH₂表面更粗糙,粒径缩短至100nm。
4. TGA:MIL-53(Al)热稳定至520℃,MIL-53(Al)-NH₂去除溶剂后稳定至410℃。
5. zeta电位:MIL-53(Al)-NH₂等电点pH=10.5,pH2-10时表面带正电。
6. 揭示性质:氨基引入改变MOFs结构与表面性质,提升对阳离子染料的吸附选择性和容量,吸附以氢键作用为主。

总结:
1. 主要研究结果:MIL-53(Al)-NH₂对MB和MG吸附容量高,动力学符合准二级模型,吸附自发吸热,可再生。
2. 创新突破:通过氨基功能化显著提升MIL-53(Al)对阳离子染料的吸附性能,阐明氢键作用主导的吸附机理。
3. 潜在意义:为含染料废水处理提供高效吸附剂,尤其适用于海水养殖废水处理。
The Strengthening Role of the Amino Group in Metal−Organic Framework MIL-53 (Al) for Methylene Blue and Malachite Green Dye Adsorption
文章作者:Chen Li, Zhenhu Xiong, Jinmiao Zhang, Chunsheng Wu
DOI:10.1021/acs.jced.5b00692
文章链接:https://pubs.acs.org/doi/10.1021/acs.jced.5b00692
本文为科研用户原创分享用于学术宣传交流,具体内容请查阅上述论文,如有错误、侵权等请联系修改、删除。未经允许第三方不得复制转载。