首页 >
行业动态 > 【CAU-23吸水】金属-有机框架材料实现高效水基超低温驱动制冷
【CAU-23吸水】金属-有机框架材料实现高效水基超低温驱动制冷
摘要
1) 本文(Nat. Commun. 2019, 10, 3025)提出了一种利用金属-有机框架(MOFs)材料,特别是铝基金属-有机框架(Al-MOFs),进行高效水吸附的策略,以应用于超低温驱动的吸收式制冷技术。
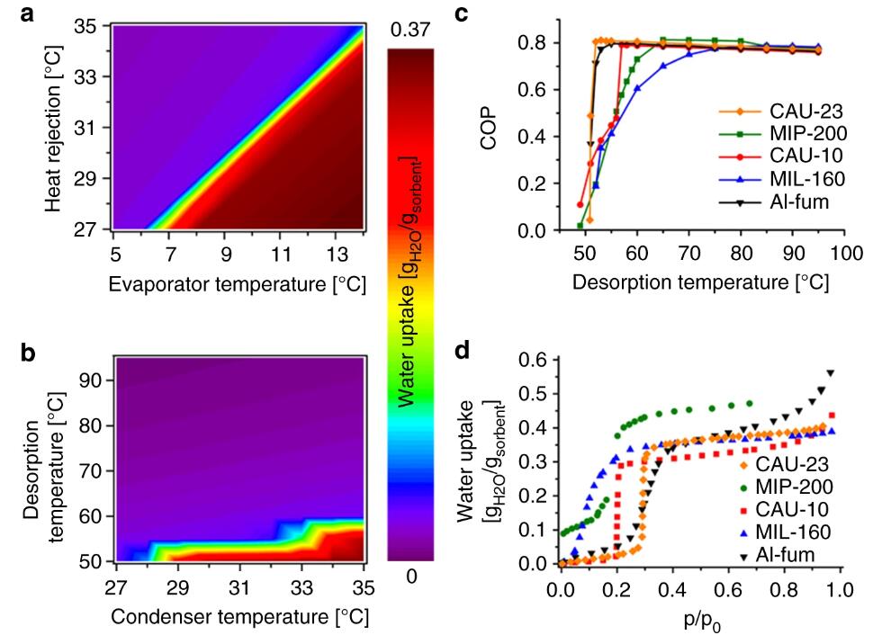
2) 研究者们发现了一种名为CAU-23的新型MOF,它在相对压力P/P0约0.3时具有0.37 gH2O/gsorbent的水吸附容量,且在至少5000个循环中显示出良好的循环稳定性。
3) CAU-23的显著特点是其超低的驱动温度,可低至60°C,这使得它能够利用通常未被使用的低温热源,实现能效的显著提升。
通过单晶电子衍射技术明确了CAU-23的独特晶体结构,并通过蒙特卡洛模拟在原子级别上揭示了其水吸附机制。
4) 由于采用了绿色合成方法,CAU-23被认为是实现超低温驱动的吸收式制冷设备的理想材料。

研究背景
1) 行业问题:随着空调等制冷设备数量的增加,它们对全球能源消耗的贡献日益增大,同时这些设备使用的制冷剂可能对环境有害。
2) 现有解决方案:尽管吸收式制冷技术已有一个世纪的历史,但新型高效材料的开发使得这项技术重新成为研究前沿。
3) 作者创新:本文作者通过开发具有超低驱动温度的CAU-23材料,提出了一种新型的MOF,不仅提高了水吸附性能,还显著降低了驱动温度,提高了能效。
实验部分
1) 绿色合成:CAU-23通过AlCl3、NaAlO2和Na2TDC的水溶液反应合成,产率高达84%。
2) 结构确定:由于晶体尺寸过小,无法通过常规单晶X射线衍射获得结构,研究者采用连续旋转电子衍射(cRED)技术成功确定了CAU-23的晶体结构。
3) 水吸附实验:在25°C、40°C和60°C下记录了CAU-23的水吸附等温线,显示出S形曲线和优异的吸附性能。
4) 稳定性测试:CAU-23在5000个水吸附/脱附循环后显示出良好的稳定性,通过PXRD和水吸附容量测量进行了验证。
分析测试
1) 热重分析:确认了CAU-23的热稳定性,可在空气中稳定至400°C。
2) 氮气吸附实验:BET面积达到1250 m²/g,与理论可接近表面面积1330 m²/g相符。
3) 单晶电子衍射:成功确定了CAU-23的晶体结构,揭示了其非中心对称的手性结构。
4) 蒙特卡洛模拟:在原子级别上模拟了CAU-23的水吸附机制,揭示了其吸附过程中氢键的形成和发展。
5) 热重分析(TGA):确定了CAU-23在空气中的热稳定性,可稳定至400°C。
6) CAU-23材料表现出优异的水吸附能力,其水吸附等温线在25-30°C,湿度30%左右时时呈现陡峭的上升,达到0.375 gH2O/g。
总结
1) CAU-23作为一种新型MOF材料,是目前报道的具有最低驱动温度(<60°C)的MOF材料,是实现高效吸收式制冷技术的理想材料。
2) 该材料的绿色合成方法和高稳定性为其在工业应用中的实际应用提供了可能。
3) 通过实验和模拟,研究者们不仅揭示了CAU-23的优异性能,还深入理解了其水吸附机制。



展望
1) 尽管CAU-23在实验室条件下显示出优异的性能,但其在实际应用中的长期稳定性和规模化生产仍需进一步研究。
2) 当前研究主要集中在材料的合成和基本性能测试,对于其在真实环境中的性能和耐久性研究不足。
A metal–organic framework for efficient water-based ultra-low-temperature-driven cooling
文章作者:Dirk Lenzen, Jingjing Zhao, Sebastian-Johannes Ernst, Mohammad Wahiduzzaman, A. Ken Inge, Dominik Fröhlich, Hongyi Xu, Hans-Jörg Bart, Christoph Janiak, Stefan Henninger, Guillaume Maurin, Xiaodong Zou & Norbert Stock
DOI:10.1038/s41467-019-10960-0
文章链接:https://www.nature.com/articles/s41467-019-10960-0#citeas