首页 >
行业动态 > 【钛掺杂MOF光催化】Ti4+离子掺杂金属有机框架MOF-74用于二氧化碳的光还原
【钛掺杂MOF光催化】Ti4+离子掺杂金属有机框架MOF-74用于二氧化碳的光还原
摘要:
淮阴工学院Sai Yan和深圳大学曾昱嘉老师等报道的本篇文章(Inorg. Chem. 2024)中研究了掺杂Ti4+离子的金属-有机框架(MOF-74)作为光催化剂在二氧化碳(CO2)还原中的应用。通过一锅水热法将Ti4+离子引入MOF-74结构中,替代Zn2+离子,旨在提高CO2还原的光催化活性。实验结果表明,Ti4+掺杂的MOF-74在将CO2还原为一氧化碳(CO)方面表现出显著提高的性能。Ti4+离子的掺入在MOF-74的导带最小值(CBM)下方引入了能量带,扩展了可见光响应范围,使光催化剂能够利用更广泛的光谱进行催化反应。此外,Ti4+离子的掺入不仅扩展了可见光响应范围,还抑制了电荷载流子的复合。

研究背景:
1)随着化石燃料的广泛使用,大气中CO2水平的显著上升导致了与全球变暖相关的严重环境挑战,如极地冰盖融化、海平面上升、海洋酸化、极端天气事件和气候模式的持久变化。迫切需要采取措施减少CO2排放,转向可持续的方法来保护我们的星球和未来几代人。
2)光催化技术通过将CO2转化为有价值的燃料,已成为解决这一问题的一个有希望的技术解决方案。然而,将CO2有效转化为燃料需要破坏C=O键,这需要大量的能量输入。目前,已经有一些半导体如TiO2、gC3N4、LaPO4和Zn2SnO4被用作CO2还原的光催化剂,但其光催化活性仍然较低,无法满足实际应用的需求。
3)作者通过在MOF-74中掺杂Ti4+离子,开发了一种新型的光催化剂。MOF-74因其丰富的未饱和金属位点和卓越的化学及热稳定性而成为CO2光催化还原的优选材料。通过调整掺杂金属离子的类型和比例,可以有效地优化MOFs的光催化性能。

实验部分:
1. 催化剂制备
1. 将25 mg的2,5-二羟基对苯二甲酸、113 mg的Zn(NO3)2和不同量的Ti(SO4)2溶解在10 mL的DMF溶液中,剧烈搅拌。
2. 向混合物中加入0.5 mL去离子水,静置30分钟。
3. 将整个溶液转移到25 mL的聚四氟乙烯衬里的不锈钢高压反应釜中,在100°C下加热20小时。
4. 自然冷却至室温后,所得沉淀物用甲醇和去离子水洗涤六次。
5. 黄色沉淀物在烘箱中干燥12小时,得到样品TiX-MOF-74(X= 3, 5, 7, 和 9),其中“X”表示Ti/Zn摩尔比。
2. 光催化活性评估
- 150 mg催化剂均匀铺展在反应器内的玻璃片上。
- 反应器连续通入纯CO2气体(99.999%),流速为300 mL/min,约45分钟以排除反应器中的其他气体。
- 注入2 mL水,使用300 W氙灯通过420 nm滤波片照射可见光,光照强度为100 mW/cm2。
- 每隔2小时提取0.4 mL气体,通过气相色谱测定产生的CO量。
3. 循环稳定性测试
- 测试次数:四次
- 方法:对Ti3-MOF-74进行四次循环光催化稳定性测试,每次测试后评估其光催化性能。
分析测试:
1. X射线衍射(XRD)
- 结果:合成的MOF74样品的XRD图案与模拟的MOF74几乎相同,表明Ti4+离子的掺入没有改变MOF-74的晶体结构。
- 数据:最强烈的XRD峰位在6.4°左右,随着Ti4+含量的增加,峰位向更高的衍射角移动,表明晶格间距减小。
2. 扫描电子显微镜(SEM)和透射电子显微镜(HRTEM)
- 形貌:MOF-74样品呈现不完整的六角柱状结构,表面装饰有小纳米颗粒。
- TEM图像:Ti3-MOF-74的粒子尺寸范围从几纳米到几百纳米,与SEM图像一致。
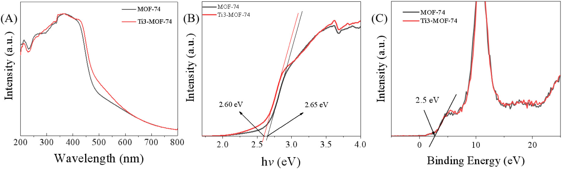
3. 紫外-可见漫反射光谱(UV-vis DRS)
- 吸收光谱:原始MOF-74在200到500 nm范围内表现出强烈的吸收,Ti3-MOF-74在Ti4+离子掺入后吸收谱进一步增强。
- 数据:Ti3-MOF-74在517 nm处显示出肩状吸收,对应于2.40 eV的带隙。
4. 光致发光(PL)和时间分辨光致发光(TR-PL)
- PL光谱:原始MOF-74样品的PL光谱在490 nm处显示出显著的峰。
- TR-PL数据:Ti3-MOF-74引入Ti4+离子后,PL峰强度显著降低,光生电子的寿命从2.2 ns延长到7.4 ns。
5. 电化学阻抗谱(EIS)
- 结果:Ti3-MOF-74的电子转移电阻比MOF-74小,表明在光照下光生电荷载流子的转移更高效。
6. 瞬态光电流响应曲线
- 结果:Ti3-MOF-74的光电流密度显著大于MOF-74,表明Ti4+离子的引入增强了光诱导电荷载流子的迁移和分离。
7. 光催化CO2还原性能
- 结果:在空白实验中,CO几乎无法检测。TiO2和P25分别产生25.0和12.9 μmol/g的CO。MOF-74表现出更好的光催化性能,产生39.4 μmol/g的CO。Ti3-MOF-74的CO产量达到78.5 μmol/g,是纯MOF-74和P25的两倍和六倍。
总结:
本文通过一锅水热法成功合成了掺杂Ti4+离子的Zn-MOF-74光催化剂。实验结果表明,Ti3-MOF-74在可见光下将CO2转化为CO的光催化性能显著提高,是原始MOF-74的两倍。这种增强的光催化效率归因于Ti4+离子的掺入,这不仅扩展了可见光响应范围,还促进了载流子的分离和转移,延长了生成电子的寿命。这项研究为通过调整MOF框架内的金属离子来开发在CO2光还原中表现卓越的光催化剂提供了见解。




展望:
本文的研究取得了显著的成果,未来的工作可以集中在以下几个方面:
1. 优化掺杂比例:研究不同Ti4+离子掺杂比例对MOF-74光催化性能的影响,以找到最佳掺杂比例。
2. 扩展应用范围:探索Ti4+掺杂MOF-74在其他类型的光催化反应中的应用,如水分解等。
3. 机理研究:深入研究Ti4+离子掺杂对MOF-74光催化机制的影响,特别是其在抑制电荷载流子复合方面的作用。
4. 实际应用测试:在实际环境条件下测试Ti4+掺杂MOF-74的光催化性能,评估其在实际应用中的可行性和稳定性。
Ti4+ Ions-Doped Metal–Organic Framework (MOF-74) for Photoreduction of Carbon Dioxide
文章作者:Zhu Ding, Xicheng Tang, Dandan Zhao, Sai Yan*, Luyan Li, Peng Li, Wei Tang, Su-Yun Zhang, and Yu-Jia Zeng*
DOI:10.1021/acs.inorgchem.4c02241
文章链接:https://pubs.acs.org/doi/10.1021/acs.inorgchem.4c02241
本文为科研用户原创分享上传用于学术宣传交流,具体内容请查阅上述论文,如有错误、侵权等请联系修改、删除。未经允许第三方不得复制转载。