首页 >
行业动态 > 【卟啉基COF材料】合理调节噻吩和卟啉基供体-受体型共价有机框架,实现有效的光催化有机反应
【卟啉基COF材料】合理调节噻吩和卟啉基供体-受体型共价有机框架,实现有效的光催化有机反应
摘要:
西北大学雷琳、贾传东、李珺老师等报道的本篇文章(Appl Organomet Chem. 2024;e7605)中通过合成两种结构高度相似的共价有机框架(COFs),分别为含卟啉的给体单元和2,2'-联噻吩(BTDA)的受体片段构成的BTDA-Por,以及使用噻吩并[3,2-b]噻吩(TT)单元构建的非给体-受体型TT-Por,来研究给体-受体(D-A)结构对提高光催化活性的具体作用。实验和理论计算结果表明,D-A型结构显著提高了电荷载流子的生成、分离和迁移效率。因此,与非D-A型TT-Por相比,D-A型BTDA-Por在光化学反应如芳香胺的氧化偶联和可逆络合介导的自由基聚合(RCMP)中表现出更优越的性能。

研究背景:
1. 在光化学有机转化过程中,存在可见光吸收有限、金属废物产生和光催化剂残留导致的复杂分离程序等问题。
2. 已有研究应用了有机染料分子、有机金属化合物、无机半导体和导电聚合物等多种催化剂。
3. 本文提出了通过构建D-A型COFs来优化光电子性质,增强光生电荷载流子的分离和传输;合成了两种COFs模型,BTDA-Por和TT-Por,以排除其他因素,专注于D-A结构对光催化活性的影响。

实验部分:
1. BTDA-Por的合成:
- 实验步骤:
1. 将5,10,15,20-(四-4-氨基苯基)卟啉(TAPP)67.5 mg(0.1 mmol)和对甲苯磺酸475.5 mg(2.5 mmol)放入研钵中。
2. 研磨混合物5分钟。
3. 加入2,2'-联噻吩-5,5-二甲醛(BTDA)44.4 mg(0.2 mmol),继续研磨直至观察到颜色变化。
4. 逐滴加入100 μl(5.5 mmol)水,再研磨5分钟。
5. 将混合物转移到玻璃瓶中,在90°C下加热24小时。
6. 反应后,首先通过大量水洗去除对甲苯磺酸。
7. 随后用四氢呋喃和乙醇进一步洗涤固体。
8. 最后,真空干燥80°C下12小时得到BTDA-Por。
- 实验结果:通过粉末X射线衍射(PXRD)和固体核磁共振(ss NMR)光谱确认了BTDA-Por的结晶性和化学结构。
2. 光催化氧化偶联胺:
- 实验步骤:
1. 将苯甲胺(0.2 mmol)和COF(5 mg)分散在1 ml CH3CN中,放入10 ml的Pyrex光反应器中。
2. 用塞子和Parafilm密封反应管。
3. 向反应管中充入氧气(1 atm)。
4. 在黑暗条件下搅拌混合物30分钟,然后使用蓝光LED灯(2 × 12 W)照射。
5. 反应完成后,通过离心分离催化剂。
6. 通过1H NMR和HR-MS鉴定产物,并通过GC分析定量。
- 实验结果:在蓝光照射下,BTDA-Por催化的苯甲胺氧化偶联反应在40分钟内实现了99%的转化率,而TT-Por仅实现了48%的转化率。
3. 光诱导可逆络合介导的自由基聚合:
- 实验步骤:
1. 在装有MMA(0.5 g,4.9 mmol,100当量)、CP-Br(6.7 mg,0.05 mmol,1当量)、COFs(1 mg)和THF(56 mg,0.77 mmol)的磁力搅拌、氩气填充的Schlenk管中进行聚合反应。
2. 在白光下进行反应,定时取样,通过GPC分析聚合度和分子量分布指数(PDI)。
3. 反应完成后,将聚合溶液用THF稀释并在冷甲醇中重新沉淀。
4. 收集的聚合物干燥并称重,计算转化率,并通过1H NMR鉴定。
- 实验结果:BTDA-Por催化的聚合反应显示出较高的转化率和较低的分子量,表明其在光诱导聚合反应中具有优异的催化性能。
分析测试:
1. X射线衍射(XRD):
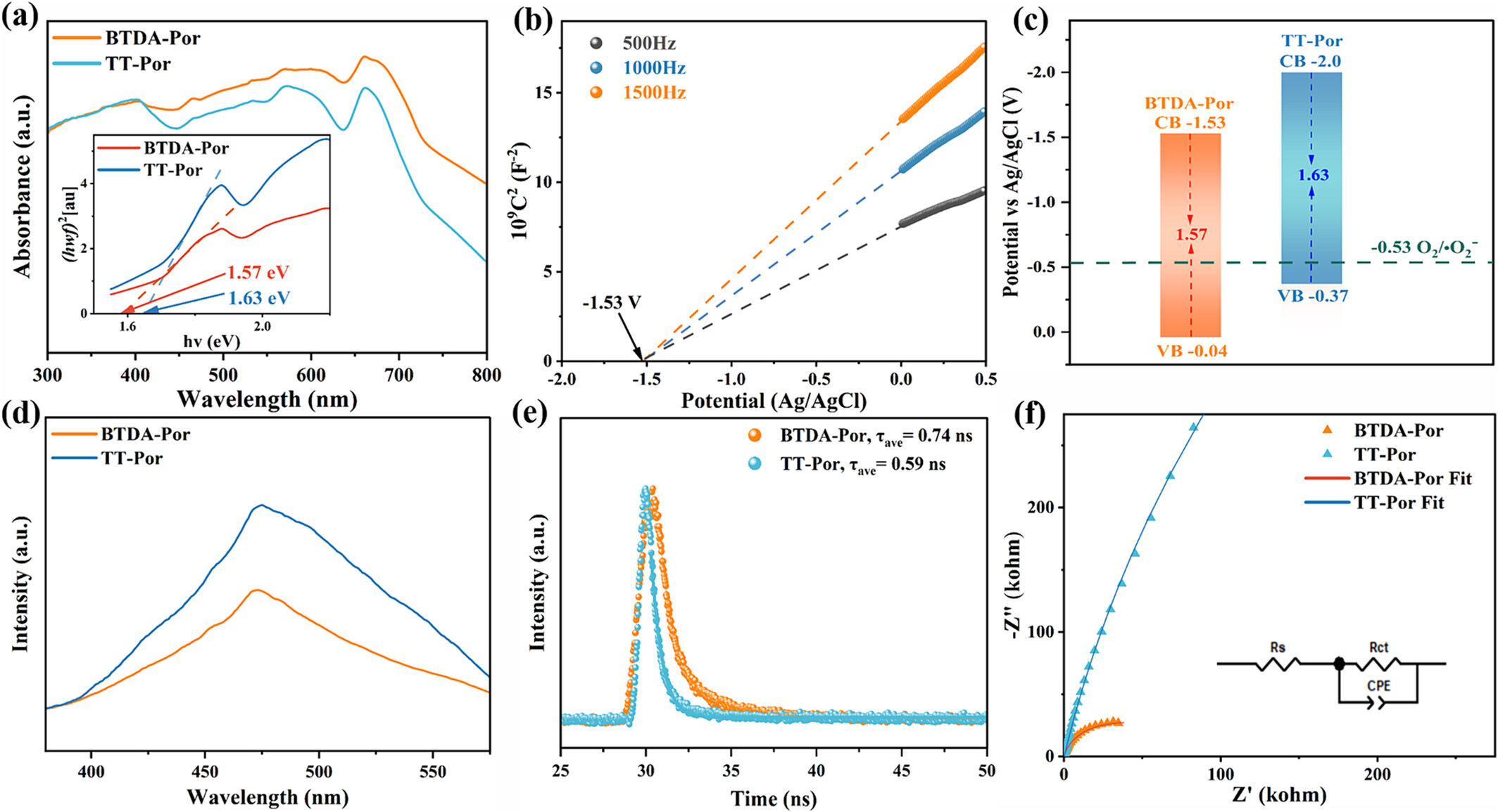
- 测试结果:BTDA-Por的PXRD图谱与模拟的AA堆叠模型一致,晶格参数a=b=28.95 Å,c=3.64 Å,Rwp=2.66%,Rp=2.10%。特征峰位于2θ=3.2°和6.4°,分别对应(010)和(020)晶面。
2. 固体核磁共振(ss NMR):
- 测试结果:13C NMR光谱显示C=N双键的信号位于150.6 ppm,噻吩、卟啉和苯环单元的碳原子信号分别位于140.0 ppm、131.9 ppm和118.9 ppm。
3. 傅里叶变换红外光谱(FTIR):
- 测试结果:BTDA-Por的FTIR光谱在1583 cm^-1处显示C=N伸缩振动的特征峰,同时醛基的峰强度降低。
4. X射线光电子能谱(XPS):
- 测试结果:BTDA-Por的XPS光谱显示C、N、S元素的信号。N 1s光谱中,亚胺氮和吡咯氮的峰分别位于398.3 eV和399.7 eV。S 2p光谱显示S 2p3/2和2p1/2的峰分别位于164.3 eV和165.4 eV。
5. 扫描电子显微镜(SEM)和透射电子显微镜(TEM):
- 测试结果:SEM图像显示BTDA-Por具有层状结构和粗糙表面,TEM图像中可观察到清晰的晶格条纹,表明其结晶性。
6. 氮气吸附/脱附等温线:
- 测试结果:BTDA-Por和TT-Por的BET比表面积分别为221 m^2/g和206 m^2/g,显示出BTDA-Por较高的比表面积。
7. 紫外-可见漫反射光谱(UV-vis DRS):
- 测试结果:BTDA-Por和TT-Por在可见光区域有广泛的吸收,BTDA-Por的吸收范围由于D-A相互作用而红移。
8. Mott-Schottky测试:
- 测试结果:BTDA-Por和TT-Por均显示出正斜率,表明它们是典型的n型半导体。
9. 光致发光(PL)光谱:
- 测试结果:BTDA-Por的发射强度显著低于TT-Por,表明其具有更高的电荷载流子分离效率。时间分辨PL光谱显示BTDA-Por和TT-Por的光激发载流子平均寿命分别为0.99 ns和0.67 ns。
10. 电化学阻抗谱(EIS):
- 测试结果:BTDA-Por在Nyquist图中显示出较小的弧半径,表明其具有较低的电阻和较高的电荷传输能力。
总结:
本文通过简单的研磨法合成了高结晶度的D-A型COF BTDA-Por,并与非D-A型TT-Por进行了比较。实验和理论计算一致表明,D-A配置的COFs能够有效地促进光生电荷载流子的生成、分离和迁移,从而提高光催化活性。BTDA-Por在光催化氧化芳香胺和可逆络合介导的聚合反应中表现出卓越的性能,验证了D-A型COFs作为光催化剂的潜力。



展望:
1. 进一步探索D-A型COFs在其他类型的光催化反应中的应用,优化其结构以提高光催化效率和稳定性。
2. 进一步优化材料的电子结构和光物理性质,以实现更高效的光催化性能。
Rationally modulating thiophene- and porphyrin-based donor-acceptor type covalent organic framework for effective photocatalytic organic reactions
文章作者:Jiaying Li, Yuping Qiu, Dengmeng Song, Lin Lei, Chen Wang, Chuandong Jia, Wei He, Jun Li, Ning Wang
DOI:10.1002/aoc.7605
文章链接:https://onlinelibrary.wiley.com/doi/10.1002/aoc.7605
本文为科研用户原创分享上传用于学术宣传交流,具体内容请查阅上述论文,如有错误、侵权等请联系修改、删除。未经允许第三方不得复制转载。