首页 >
行业动态 > 【Tp-COF纳米陷阱】孔壁工程的极性COFs作为尺寸匹配的纳米探针能够高效捕获长链烷基胺
【Tp-COF纳米陷阱】孔壁工程的极性COFs作为尺寸匹配的纳米探针能够高效捕获长链烷基胺
摘要:
天津大学朱莉娜&南开大学孔德明老师等报道的本篇文章(Adv. Funct. Mater. 2024, 2406834)中通过孔壁工程优化的极性共价有机框架(COFs),这些材料具有定制的孔径,能够作为纳米陷阱,快速高效地从复杂实际样品(例如盐湖卤水)中捕获十八烷胺(ODA,一种典型的长链烷基胺)。研究发现,含硝基官能团的COFs(TpPa-NO2和TpBD-NO2)在捕获ODA方面表现优于未官能化的TpPa。特别是TpPa-NO2,其孔径与ODA分子匹配最佳,20分钟内ODA吸附容量高达128.5 mg g−1。通过密度泛函理论(DFT)计算和分子动力学(MD)模拟阐明了吸附机制,揭示了COFs提供了多种相互作用力,包括静电、极性、范德华力、氢键、疏水性和C─H π-π相互作用,这些相互作用协同贡献于TpPa-NO2的一维极性纳米陷阱中ODA的高效捕获。

研究背景:
1. 长链烷基胺作为表面活性剂被广泛使用,但它们对环境造成污染,因为它们具有持久性和生物积累潜力,导致生态失衡和对水生生物及人类健康的风险。
2. 已有研究开发了Fe/Mn层状双氢氧化物作为过硫酸盐(PMS)催化剂降解ODA,但生成的NH4+可能对工业氯化钾的精炼产生负面影响。吸附去除因其操作简单、成本效益和不产生二次污染物而受到青睐。
3. 本文首次展示了通过孔壁工程赋予COFs多种相互作用力和匹配孔径,使其成为捕获长链烷基胺的高效纳米陷阱。合成了三种不同纳米孔径和富含氮、氧官能团的极性亚胺基COFs(TpPa, TpPa-NO2和TpBD-NO2)。

实验部分:
1. COFs的合成与表征:
- 合成了三种极性COFs(TpPa, TpPa-NO2, TpBD-NO2),使用2,4,6-三羟基苯基1,3,5-三醛(Tp)作为单体,与不同的二胺连接剂(1,4-苯二胺Pa, 2-硝基苯-1,4-二胺Pa-NO2, 3,3'-二硝基[1,1'联苯]-4,4'-二胺BD-NO2)反应。
- 通过粉末X射线衍射(PXRD)确认了COFs的晶体性,显示出与(100)晶面的明显衍射峰。
2. 孔隙结构分析:
- 使用氮气吸附-脱附等温线(77 K)来探究COFs的孔隙性质,测得比表面积分别为405.4 m² g⁻¹(TpPa)、190.6 m² g⁻¹(TpPa-NO2)和608.1 m² g⁻¹(TpBD-NO2),平均孔径分别为2.11 nm、1.76 nm和2.48 nm。
3. 热稳定性和化学稳定性测试:
- 热重分析(TGA)在氮气氛围下进行,表明COFs在加热至300°C时能保持超过90%的重量,显示出良好的热稳定性。
- 在强酸和强碱环境中测试了COFs的化学稳定性,结果表明COFs能保持其骨架和晶体完整性。
4. 形态和元素分布分析:
- 使用扫描电子显微镜(SEM)和透射电子显微镜(TEM)观察COFs的形态,发现它们具有多孔纳米纤维结构。
- 通过TEM-EDX分析确认了COFs中C、N和O元素的均匀分布。
5. ODA吸附实验:
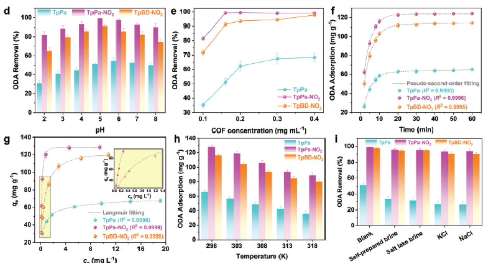
- 研究了ODA与COFs的吸附交互作用,发现吸附效率受pH和COF浓度的影响。
- 在pH 5的条件下,所有三种COFs在20分钟内达到吸附平衡,其中TpPa-NO2展示出最高的ODA吸附容量(128.5 mg g⁻¹)。
6. 再生能力测试:
- 通过在0.5 mol L⁻¹ HCl溶液中浸泡6小时来再生使用过的COFs材料,发现吸附容量在五个循环后分别保持了≈65.4%(TpPa)、86.3%(TpPa-NO2)和83.9%(TpBD-NO2)。
7. 膜过滤实验:
- 制备了基于COFs的复合膜,并使用真空辅助原位过程将COFs均匀沉积在尼龙基底上。
- 动态过滤实验表明,TpPa-NO2和TpBD-NO2在处理溶液的前45、100和87 mL内,ODA的去除率超过90%。
分析测试:
1. PXRD分析:
- 通过PXRD确认了COFs的晶体性,所有样品显示出与模拟的AA堆叠模式一致的衍射图谱,Rwp因子低于5%。
2. 氮气吸附-脱附等温线分析:
- 77 K下的等温线分析揭示了COFs的孔隙特性,包括比表面积和孔径大小。
3. FT-IR和13C-MAS NMR谱分析:
- 使用傅里叶变换红外光谱(FT-IR)和13C-魔角旋转固态核磁共振(13C-MAS NMR)谱来证实COFs的结构完整性和β-酮胺键的形成。
4. TGA分析:
- TGA分析显示COFs在氮气氛围中加热至300°C时的热稳定性。
5. SEM和TEM形态分析:
- SEM和TEM用于观察COFs的形态和纳米结构,TEM图像揭示了层间π-π堆叠相互作用。
6. XPS分析:
- X射线光电子能谱(XPS)分析确认了COFs成功捕获ODA,并识别了硝基、羰基和亚胺官能团作为活性吸附位点。
7. 吸附动力学和等温模型分析:
- 使用伪二阶和内颗粒扩散模型描述吸附动力学,Langmuir模型提供了最佳的拟合结果,提出了单层化学吸附机制。
8. 温度影响分析:
- 研究了温度对ODA吸附的影响,发现吸附过程是放热的,并使用van’t Hoff图计算了吸附过程的熵变和焓变。
9. MD模拟:
- 分子动力学(MD)模拟用于阐明COFs对ODA的吸附机制,包括孔尺寸、纳米陷阱的存在以及微观作用力的作用。
10. DFT计算:
- 密度泛函理论(DFT)计算用于揭示COFs和ODA之间的多种相互作用机制,包括极性、氢键和C-H π-π相互作用。
总结:
本文成功展示了定制孔径的硝基化极性COFs作为吸附剂从水环境中捕获ODA的高效性。TpPa-NO2展示出了迄今为止报道的最高吸附容量。将COFs集成到尼龙基底上进一步提高了它们的实用性,通过压力驱动的膜过滤技术实现了ODA的快速去除。MD模拟和DFT计算为理解COFs对ODA的捕获机制提供了深刻的见解。




展望:
1. 进一步探索这些材料在其他类型的有机污染物上的吸附性能,以及在更复杂环境条件下的应用潜力。
2. 继续优化COFs的结构和功能,以提高其对特定污染物的选择性和吸附效率。
Pore Wall Engineered Polar COFs as Size-Matched Nanotraps Enable Highly Efficient Capture of Long-Chain Alkylamines
文章作者:Weiliang Jin, Shaocong Li, Hongzhi Zhou, Shenghua Ma, Lina Zhu, Deming Kong
DOI:10.1002/adfm.202406834
文章链接:https://onlinelibrary.wiley.com/doi/10.1002/adfm.202406834
本文为科研用户原创分享上传用于学术宣传交流,具体内容请查阅上述论文,如有错误、侵权等请联系修改、删除。未经允许第三方不得复制转载。