首页 >
行业动态 > 【MOPs分离稀有气体】:从三角型三联噻嗪大环自组装的手性多孔金属-有机多面体
【MOPs分离稀有气体】:从三角型三联噻嗪大环自组装的手性多孔金属-有机多面体
摘要:
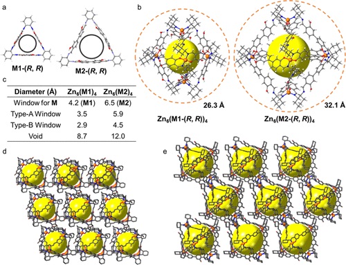
Heriot-Watt University的Marc A. Little,浙江大学刘明以及University of Liverpool Andrew I. Cooper老师等报道的本篇文章(J. Am. Chem. Soc. 2024)中报道了一种新型的手性多孔金属-有机多面体(MOPs)的自组装方法,这些MOPs由预组织的三角型三联噻嗪大环构建而成。所得的MOPs继承了大环配体的预组织特性,包括其明确定义的腔体和手性。通过修改大环构建块的结构,可以调节MOPs的孔隙性。利用这一策略,研究者们能够系统地增大MOPs的尺寸,从26.3到32.1 Å。这些MOPs展示了高达820 m²/g的实验比表面积,并且在水中稳定。其中一种MOP能够有效地分离稀有气体Xe和Kr,因为MOPs的预制大环窗口可以被修改以适应Xe/Kr的大小截止范围。

研究背景:
1. 在分子分离领域,尤其是对于稀有气体的分离,需要高选择性的材料,但现有的材料往往难以达到工业应用的要求。
2. 金属-有机框架(MOFs)因其可调节的孔径和永久孔隙性而受到关注,但MOFs的孔径和功能往往难以精确控制。
3. 作者提出了一种使用预组织的三角型三联噻嗪大环作为构建块来组装MOPs的新策略,通过这种方法,MOPs的孔隙性和功能可以得到更精确的调控。

实验部分:
1. 合成实验:作者合成了两种手性纯的八面体金属-有机多面体(MOPs),分别为Zn6(M1-(R, R))4 和 Zn6(M2-(R, R))4,使用trianglsalen大环化合物作为预组织的构建块,与Zn(II)离子自组装形成。实验中,M1-(R, R) 和 M2-(R, R) 的合成分别使用了不同的反应物和溶剂,并通过核磁共振(NMR)和质谱(MS)确认了它们的结构。
2. 结构表征:通过单晶X射线衍射(SC-XRD)分析确认了MOPs的晶体结构,显示了两种MOPs的八面体几何结构,并通过NMR和质谱进一步验证了它们的形成。
3. 孔隙性质分析:使用氮气吸附-脱附等温线测试了溶剂自由和活化后的MOPs的孔隙性质。Zn6(M1-(R, R))4 和 Zn6(M2-(R, R))4 的BET比表面积分别为820和601 m²/g,远高于未反应的大环化合物。
4. 手性传递和放大:通过圆二色谱(CD)测试研究了大环化合物和MOPs的手性,结果表明MOPs从大环化合物继承了手性,并且在自组装后在溶液中发生了手性的放大。
5. 稳定性测试:对Zn6(M1-(R, R))4 和 Zn6(M2-(R, R))4 在水和0.1 M HCl溶液中的稳定性进行了测试,结果显示MOPs在水中稳定,但在酸性溶液中会发生分解。
6. 气体吸附实验:进行了氙气(Xe)和氪气(Kr)的单组分气体吸附实验,Zn6(M1-(R, R))4 在273 K和1100 mbar条件下对Xe和Kr的吸附容量分别约为3.0和1.2 mmol/g,显示出潜在的Xe/Kr吸附和分离能力。
分析测试:
1. 核磁共振(NMR):1H NMR用于分析反应溶液中的分子组成和结构,观察到M1-(R, R)和M2-(R, R)与Zn(II)离子反应后特征信号的位移和分裂,证实了MOPs的形成。
2. 质谱(MS):MALDI-TOF MS用于检测反应产物的组成,观察到了与理论计算质量相匹配的峰,确认了Zn6(M1-(R, R))4 和 Zn6(M2-(R, R))4 复合物的形成。
3. 单晶X射线衍射(SC-XRD):SC-XRD用于确定MOPs的精确晶体结构,揭示了两种MOPs的八面体几何结构和由四个trianglsalen大环和六个Zn(II)离子构成的框架。
4. 孔隙尺寸分布(PSD):使用py-window软件分析了MOPs的孔隙尺寸分布,发现Zn6(M1-(R, R))4的窗口尺寸分布覆盖了Kr和Xe的直径,表明了其对这些气体的潜在吸附能力。
5. 比表面积和孔容:BET比表面积测试显示Zn6(M1-(R, R))4 和 Zn6(M2-(R, R))4 分别具有820和601 m²/g的高比表面积,远高于它们的大环前体。
6. 气体吸附等温线:N2吸附等温线测试揭示了MOPs的微孔填充特性,同时Xe和Kr的吸附等温线测试表明Zn6(M1-(R, R))4 对这两种气体具有较高的吸附容量。
7. 理想吸附溶液理论(IAST)选择性预测:基于单气体吸附等温线,使用IAST预测了Xe/Kr二元混合物的吸附选择性,在273 K时预测的选择性从11.1下降到8.9,显示出比先前报道的某些材料更高的选择性。
8. 热重分析(TGA):TGA用于评估MOPs在溶剂去除过程中的热稳定性,结果表明scCO2干燥技术在去除溶剂方面更为有效。
9. 电感耦合等离子体发射光谱(ICP-OES):ICP-OES用于测量MOPs在水和酸性溶液中的稳定性,通过分析溶液中的Zn离子浓度来评估材料的稳定性。
总结:
本文通过自组装策略成功合成了两种新型的手性多孔MOPs,这些MOPs继承了大环构建块的手性,并展示了可调节的孔隙性和在水中的稳定性。特别是Zn6(M1-(R, R))4在分离Xe和Kr方面表现出了优异的性能,为稀有气体的分离提供了新的材料选择。



展望:
1. 进一步研究MOPs在长期应用中的稳定性,特别是在工业应用中的稳定性。
2. 探索MOPs在其他类型的分子分离中的应用,例如在手性分子分离或二氧化碳捕获。
3. 深入研究MOPs的吸附机理,特别是手性放大效应的分子机制。
Self-Assembly of Chiral Porous Metal–Organic Polyhedra from Trianglsalen Macrocycles
文章作者:Donglin He, Heng Ji, Tao Liu, Miao Yang, Rob Clowes, Marc A. Little*, Ming Liu*, and Andrew I. Cooper*
DOI:10.1021/jacs.4c04928
文章链接:https://pubs.acs.org/doi/10.1021/jacs.4c04928
本文为科研用户原创分享上传用于学术宣传交流,具体内容请查阅上述论文,如有错误、侵权等请联系修改、删除。未经允许第三方不得复制转载。