首页 >
行业动态 > 【Co-THQ二维MOF结构】:Kitaev量子自旋液体候选者的二维钴(II)苯醌框架
【Co-THQ二维MOF结构】:Kitaev量子自旋液体候选者的二维钴(II)苯醌框架
摘要:
Duke University 的 Sara Haravifard和The Ohio State University 的Yuanming Lu&Nandini Trivedi&Yiying Wu&Joseph P. Heremans等报道的本篇文章(J. Am. Chem. Soc. 2024)中报道了一种新型的二维钴(II)苯醌框架材料,该材料作为Kitaev量子自旋液体(QSL)的候选材料具有重要意义。作者使用2,5-二羟基-1,4-苯醌(X2dhbq, X = Cl, Br, H)作为连接体构建了钴(II)蜂窝状晶格结构。这些材料表现出了化学可调性,能够通过改变连接体上的官能团来调节磁性耦合和阻挫。磁化数据显示了邻近金属中心之间的反铁磁相互作用,Weiss常数随X2dhbq连接体中X官能团的不同而变化。低温下的磁化率和比热容分析表明,这些二维钴苯醌框架是具有化学可调性的Kitaev QSL候选材料。

研究背景:
1. 在量子计算和高温超导性研究中,量子自旋液体(QSL)因其独特的量子现象而备受关注。然而,目前大多数QSL候选材料都具有三角或者Kagome晶格结构,而具有蜂窝状结构的金属有机化合物作为QSL候选材料则较为罕见。
2. 一些研究者通过设计具有特定晶格结构的化合物来探索QSL,例如在三角或者Kagome晶格上构建自旋-1/2系统,以期实现QSL状态。
3. 本文作者提出了使用2,5-二羟基-1,4-苯醌作为连接体来构建钴(II)的蜂窝状晶格结构;通过改变连接体上的官能团X,实现了对磁性耦合和阻挫的化学调节;合成了三种不同的化合物,并通过实验验证了它们的QSL特性。

实验部分:
1. 合成实验:
- 作者通过溶液法合成了三种化合物,分别为(NEt4)2[Co2(Cl2dhbq)3]、(NEt4)2[Co2(Br2dhbq)3]和(NEt4)2[Co2(H2dhbq)3]。
- 实验在23 mL的玻璃瓶中进行,首先溶解(EtN4)Cl固体于N,N-二甲基甲酰胺(DMF)中,随后依次加入Co(NO3)2·6H2O、不同卤素取代的苯二醌衍生物以及去离子水。
- 反应混合物在130°C下反应24小时,冷却至室温后,通过倾析和补充新鲜DMF的方式重复操作直至上清液无色,得到所需的化合物。
2. 物理性质测试:
- 使用Renishaw inVia显微镜记录了拉曼光谱,以确认配体的氧化状态。
- 在Bruker D8 ADVANCE粉末衍射仪上进行了X射线衍射(XRD)测量,以确认材料的晶体结构和纯度。
- 单晶X射线衍射研究在Bruker Kappa Photon III CPAD衍射仪上进行,以确定化合物的精确晶体结构。
3. 磁化率测量:
- 在3至300 K的温度范围内,使用Quantum Design MPMS3超导量子干涉装置(SQUID)磁强计对多晶样品粉末进行了直流磁化率测量。
- 进行了零场冷却/场冷却(ZFC/FC)测量,以研究样品的磁性质。
4. 比热容测量:
- 使用Quantum Design物理性质测量系统(PPMS)对样品进行了比热容测量,以研究其热力学性质。
- 在2 K以下,使用PPMS Dynacool系统的稀释冰箱(DR)选项收集了55 mK至4 K之间的比热容数据。
分析测试:
1. 晶体结构分析:
- 通过单晶X射线衍射研究,确定了化合物的晶体结构,包括空间群、晶胞参数、原子坐标以及键长和键角等详细信息。
- 化合物的晶体结构显示了由Co2+中心和苯二醌连接体构成的蜂窝状层。
2. 拉曼光谱分析:
- 拉曼光谱用于确认配体的氧化状态,通过C−C和C−O振动模式的分析,确认了配体处于X2dhbq2−状态。
- 观察到的拉曼带位置的变化反映了配体上取代基的改变对电子离域的影响。
3. X射线衍射分析:
- 粉末X射线衍射(PXRD)确认了材料的纯度,并显示了由于MOF粒子的平板形状导致的优选晶体学取向。
4. 磁化率测量分析:
- 磁化率测量显示了化合物在不同温度下的行为,没有观察到长程磁序的存在。
- Weiss常数的负值表明了相邻金属中心之间的主要反铁磁相互作用。
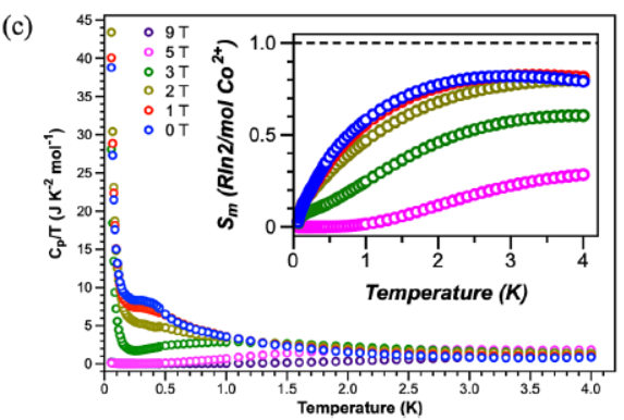
5. 比热容测量分析:
- 比热容测量结果表明,在低至0.055 K的温度下没有观察到长程磁序的存在,而是出现了宽峰,这可能表明了短程相关性或量子涨落的特征。
- 在低磁场下观察到的比热容的上升可能是由于磁性晶格的阻挫所致。
6. 磁化率拟合分析:
- 使用Curie−Weiss定律拟合了低温下的磁化率数据,得到了有效磁矩和平均交换相互作用的值。
- 随着连接体上官能团从−Cl变为−Br再变为−H,交换相互作用呈现系统性降低。
总结:
本文通过合成二维钴(II)苯醌框架材料,探索了其作为Kitaev量子自旋液体候选材料的可能性。通过化学调节,实现了对磁性耦合和阻挫的调控。实验结果表明,这些材料在低温下表现出了无长程磁序的特性,是QSL研究的有前景的候选材料。





展望:
1. 更多的实验来验证这些材料中是否存在堆叠故障或其他可能的无序,这可能会影响磁性交换。
2. 进行中子散射实验以获得对自旋结构和激发的深入理解。
3. 探索类似的金属有机框架结构,但不含磁性中心,以更准确地评估比热容中的磁贡献。
4. 研究不同官能团对磁性耦合的具体影响,以及是否存在最佳的官能团以实现QSL状态。
Two-Dimensional Cobalt(II) Benzoquinone Frameworks for Putative Kitaev Quantum Spin Liquid Candidates
文章作者: Songwei Zhang, Xu Yang, Brandi L. Wooten, Rabindranath Bag, Lalit Yadav, Curtis E Moore, Smrutimedha Parida, Nandini Trivedi*, Yuanming Lu*, Joseph P. Heremans*, Sara Haravifard*, and Yiying Wu*
DOI:10.1021/jacs.3c14537
文章链接:https://pubs.acs.org/doi/10.1021/jacs.3c14537
本文为科研用户原创分享上传用于学术宣传交流,具体内容请查阅上述论文,如有错误、侵权等请联系修改、删除。未经允许第三方不得复制转载。