首页 >
行业动态 > 【新型钛MOF材料】:一种合成Ti-MOF单晶的螯合配位调节方法
【新型钛MOF材料】:一种合成Ti-MOF单晶的螯合配位调节方法
摘要:
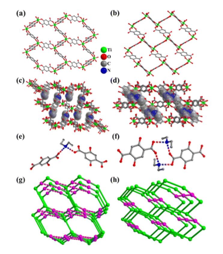
本研究提出了一种螯合配位调节(CCM)方法,用于合成Ti-MOF单晶。通过使用具有螯合配位基团的分子作为调节剂,成功合成了三种Ti-MOF(FIR-117、FIR-118和FIR-119),并通过单晶X射线衍射(SCXRD)确定了它们的结构,验证了这种方法的普适性。通过捕获中间体并确定其单晶结构,阐明了调节剂在Ti-MOF单晶生长中的作用:使用螯合配位分子作为调节剂和竞争配体,通过形成Ti-调节剂关键中间体减慢反应速率,平衡Ti-MOF的形成和单晶的生长。此外,由于其良好的光吸收能力和较小的带隙,FIR-119在可见光下表现出优异的光催化性能。这些结果突出了螯合配位调节方法在合成新型光活性Ti-MOF及其单晶方面的潜力。

研究背景:
1)行业问题:Ti-MOF作为高效的光催化剂具有很大的潜力,但由于Ti4+离子的高活性,合成新的Ti-MOF并确定其结构非常具有挑战性。
2)现有研究主要集中在MIL-125和MIL-125-NH2这两种Ti-MOF上,对于新的Ti-MOF的合成方法,尤其是单晶的合成,研究相对有限。
3)作者提出了一种新的合成策略,即螯合配位调节(CCM)方法,通过使用具有螯合配位基团的分子作为调节剂来合成Ti-MOF单晶,并通过捕获中间体来阐明调节剂的作用,成功合成了三种新型Ti-MOF。
实验部分:
1)Ti-MOF的合成:选择Ti(OiPr)4作为Ti源,H4DOBDC作为配体,使用具有螯合配位基团的分子作为调节剂,通过调控反应速率,成功合成了FIR-117、FIR-118和FIR-119三种Ti-MOF单晶。
2)单晶结构分析:通过单晶X射线衍射(SCXRD)分析,确定了FIR-117和FIR-118的晶体结构,揭示了调节剂在单晶生长中的作用。
3)中间体捕获:通过缩短反应时间或降低反应温度,捕获了Ti(salicylate)3复合物,推测其为FIR-117合成过程中的中间体。
4)光催化性能测试:FIR-119在可见光下表现出优异的光催化性能,特别是在交叉脱氢偶联(CDC)反应中。
测试分析:
1)合成的Ti-MOF样品的PXRD模式与从SCXRD数据模拟的模式一致,证实了FIR-117、FIR-118和FIR-119的相纯度。
2)热重分析(TGA):FIR-117和FIR-118在200°C以下显示出结构稳定性,FIR-119框架在大约300°C下稳定。
3)溶剂稳定性测试:FIR-119在多种溶剂中浸泡24小时后,通过PXRD测试显示出良好的稳定性。
4)紫外-可见漫反射光谱:FIR-117、118和119在可见光区域显示出宽吸收带,计算得到的带隙分别为1.90、1.86和1.95 eV。FIR-119在可见光照射下显示出光活性。
5)电子顺磁共振(EPR)测试:FIR-119在可见光照射下可以产生1O2。
总结:
1)本研究开发的螯合配位调节(CCM)方法,使用具有螯合配位基团的分子作为调节剂,成功合成了高质量的Ti-MOF单晶,并展示了该方法的多功能性和有效性。
2)通过这种方法,我们不仅获得了具有定制特性的Ti-MOF单晶,而且还为开发新型光活性材料和先进催化剂铺平了道路,这些材料和催化剂在可见光光催化等领域具有潜在的应用前景。


展望:
1)FIR-119显示出良好的热稳定性和溶剂稳定性,其长期稳定性仍需进一步研究,特别是在实际应用环境中。
2)利用本文方法进行拓展,探索该方法在合成其他Ti-MOFs或类似金属-有机框架结构中的应用。
光催化机理研究:FIR-119在可见光下的光催化性能令人印象深刻,但其光催化机理尚需深入研究,以指导设计更高效的光催化剂。
3)探索FIR-119及其他Ti-MOFs在其他类型的光催化反应中的应用,如光催化还原、光催化水分解等。
A chelating coordination modulation method for the synthesis of Ti-MOF single crystals
文章作者:Hui-Zi Li, Shangda Li, Fei Wang, Jian Zhang
DOI:10.1039/D4QI00436A
文章链接:https://pubs.rsc.org/en/content/articlelanding/2024/qi/d4qi00436a
本文为科研用户原创分享上传用于学术宣传交流,具体内容请查阅上述论文,如有错误、侵权等请联系修改、删除。未经允许第三方不得复制转载。