首页 >
行业动态 > 【MOF催化CO2制甲酸】: 局部CO2储层促进快速和选择性的电化学CO2还原
【MOF催化CO2制甲酸】: 局部CO2储层促进快速和选择性的电化学CO2还原
摘要:
The Barcelona Institute of Science and Technology (BIST) Núria López 等报道的本篇文章(Nat Commun 2024,15, 3397 )中提到,水溶液中的电化学CO2还原反应(eCO2RR)是一种有前景的制备附加值化学品和减少碳排放的途径。然而,即使在气体扩散电极(Gas-Diffusion Electrode, GDE)设备中,由于水溶液中CO2的溶解度低,限制了催化反应的速率和选择性。研究表明,当在异质电催化剂上组装一层改性的金属有机框架(Metal-Organic Framework, MOF)薄膜时,该薄膜作为CO2溶存层,能够显著增加局部CO2浓度,从而提高CO2到甲酸(HCOOH)的转化效率,选择性可达90%以上,部分甲酸电流达到166 mA/cm²(在-0.9 V vs RHE条件下)。此外,MOF还通过稳定反应中间体来促进催化反应,这一点通过原位红外光谱(operando infrared spectroscopy)和密度泛函理论(Density Functional Theory, DFT)得到了证实。

研究背景:
1. 在CO2捕获和转化领域,如何提高CO2在水溶液中的溶解度以及如何提高电催化剂的选择性和活性是两大主要挑战。
2. 过去二十年中,研究者们通过开发地球丰富的金属催化剂以及表面修饰策略,如使用聚合物、有机配体和有机-无机杂化层,来提高eCO2RR的性能。
2. 本文作者通过在Bi催化剂上组装含腈基团的MOF薄膜,不仅提高了CO2的局部浓度,还通过稳定反应中间体来增强电催化反应的速率和选择性。

实验部分:
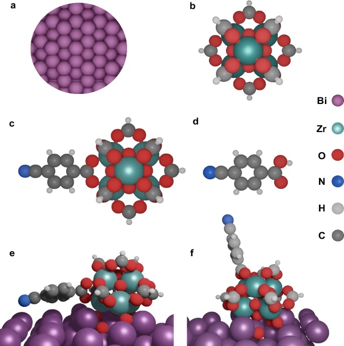
1. 合成了UiO-66-CN膜,这是一种通过溶剂辅助配体插入(SALI)方法后合成修饰的金属有机框架(MOF),使用氰基苯甲酸(BA-CN)作为配体。
2. 通过粉末X射线衍射(PXRD)分析确认了UiO-66膜在Bi箔上成功合成。通过扫描电子显微镜(SEM)和聚焦离子束(FIB)分析确认了UiO-66膜的多孔性、均匀性和连续性。
3. 利用X射线光电子能谱(XPS)分析了Bi-UiO-66系统的化学性质,确认了Zr、C和O的存在,并在样品刻蚀后检测到Bi的峰。
4. 通过电感耦合等离子体发射光谱(ICP-OES)和1H-NMR确定了UiO-66膜的化学组成,其中每个Zr6-oxo节点上有8个苯二甲酸(BDC)配体,而不是理想UiO-66结构中的12个。
5. 进行了密度泛函理论(DFT)模拟,构建了UiO-66-CN与Bi(0001)表面的界面模型,探讨了UiO-66-CN膜如何增强CO2的局部浓度并稳定反应中间体。
6. 在气密H型电池中进行了电化学CO2还原反应(eCO2RR)测试,使用Ag/AgCl作为参比电极,铂片作为对电极,Bi箔(带或不带UiO-66膜)作为工作电极。
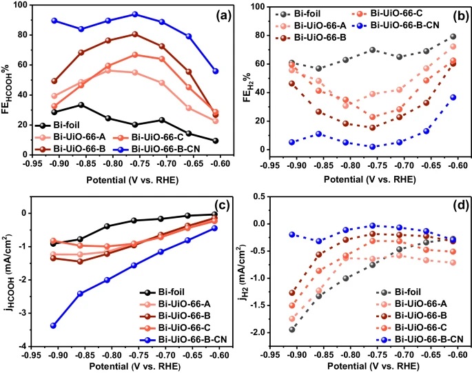
7. 在气体扩散电极(GDE)设置中测试了UiO-66-CN膜对eCO2RR性能的影响,发现UiO-66-CN膜显著提高了CO2至甲酸(HCOOH)的转化率,选择性达到90%以上,部分HCOOH电流达到166 mA/cm²(在-0.9 V vs RHE)。
分析测试:
1. 结构表征:PXRD确认了UiO-66膜的形成和纯度,SEM-FIB分析显示了膜的厚度和形态。
2. 化学组成分析:XPS和ICP-OES用于确定UiO-66膜中Zr、C、O和Bi的存在及其相对比例。
3. DFT模拟:构建了UiO-66-CN与Bi(0001)表面的界面模型,模拟了不同可能的BA-CN取向,提供了对实验观察与理论模型之间关系的深入理解。
4. eCO2RR性能测试:通过在H型电池中进行的测试,确定了Bi-UiO-66-A-C膜在不同厚度下对HCOOH生产的法拉第效率(FEHCOOH)和部分电流密度(jHCOOH)。
5. 红外反射吸收光谱(ATR-IRRAS):结合DFT模拟,揭示了UiO-66-CN膜增强eCO2RR活性的机理,包括增加局部CO2溶解度和稳定催化中间体。
6. 电化学阻抗谱(EIS)分析:研究了不同样品在催化操作电位下的电荷传递和质量传输阻抗,表明UiO-66-CN涂层的Bi电极在电荷传递阻抗上有所降低,表明催化速率加快。
7. 稳定性测试:通过25小时的连续计时安培测试评估了Bi-GDE-UiO-66-CN催化剂的稳定性,结果表明该催化剂系统具有高耐久性,并在测试结束时保持了超过80%的高催化性能。
总结:
通过在Bi电催化剂上引入UiO-66-CN MOF层,不仅实现了对CO2的高效吸附和活化,还显著提高了eCO2RR的选择性和活性。这一策略为设计高效的异质电催化剂提供了新的分子手段,推动了电化学CO2还原技术向实际应用的方向发展。



展望:
进一步对MOF薄膜的长期稳定性进行系统研究。
Local CO2 reservoir layer promotes rapid and selective electrochemical CO2 reduction
文章作者:Subhabrata Mukhopadhyay, Muhammad Saad Naeem, G. Shiva Shanker, Arnab Ghatak, Alagar R. Kottaichamy, Ran Shimoni, Liat Avram, Itamar Liberman, Rotem Balilty, Raya Ifraemov, Illya Rozenberg, Menny Shalom, Núria López & Idan Hod
DOI:10.1038/s41467-024-47498-9
文章链接:https://www.nature.com/articles/s41467-024-47498-9
本文为科研用户原创分享上传用于学术宣传交流,具体内容请查阅上述论文,如有错误、侵权请联系修改、删除。未经允许第三方不得复制转载。