首页 >
行业动态 > 【MOF催化剂】:通过p-d杂化实现高效质子交换膜燃料电池性能的原子级铁位点
【MOF催化剂】:通过p-d杂化实现高效质子交换膜燃料电池性能的原子级铁位点
摘要:
1)北京理工大学杨文秀&王博课题组等报道的本篇文章(J. Am. Chem. Soc. 2024)中开发了一种核壳结构的榴花状纳米碳催化剂(FeAl-RNC),该催化剂具有从金属有机框架(MOF)材料中原子分散的Fe-Al原子对。
2)实验和理论结果表明,铝和铁之间的强p-d轨道杂化作用导致电子分布不对称,使得氧中间体的吸附强度适中,从而增强了内在的氧还原反应(ORR)活性。此外,FeAl-RNC的核壳榴花状结构具有丰富的微孔和大孔,可以增强活性位点的密度、稳定性和传输通道。
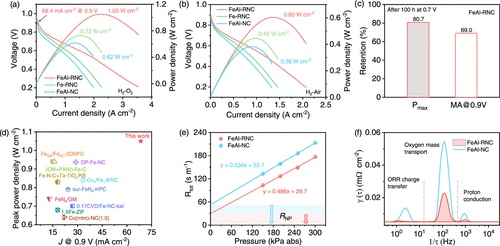
3)基于FeAl-RNC的质子交换膜燃料电池(PEMFC)展现出优异的活性(0.9 V时为68.4 mA cm–2)、高功率峰值(1.05 W cm–2)以及良好的稳定性,在H2-O2条件下0.7 V下运行100小时后电流仅损失7%。

研究背景:
1)质子交换膜燃料电池(PEMFC)是一种高效的能源转换设备,但其商业化进程受到阴极氧还原反应(ORR)中使用的Pt/C催化剂的局限性的严重阻碍。
2)单原子催化剂(SACs)已被广泛研究,但其ORR活性与对称的电子分布密切相关,导致对氧相关中间体的吸附强度不理想。
3)作者设计了从MOF材料中得到的具有Fe-Al原子对的核壳榴花状纳米碳催化剂(FeAl-RNC)。p区块铝修饰剂可以实现电子分布的不对称性,并优化氧中间体的解吸强度,从而提高ORR活性。此外,FeAl-RNC的核壳榴花状结构可以降低PEMFC中的O2/质子传输阻力。

实验部分:
1) 通过溶剂热反应合成了类似榴花状的Al-MOF,并使用乙酸作为配位调节剂。
2) 通过两步热解过程从Al-MOF制备了FeAl-RNC催化剂。首先得到Al-RNC,然后与铁络合物溶液混合,进行第二步热解。
3) 使用透射电子显微镜(TEM)和扫描电子显微镜(SEM)等技术对FeAl-RNC的形貌和结构进行了表征。
4) 通过X射线光电子能谱(XPS)、同步辐射X射线吸收近边结构(XANES)和扩展X射线吸收精细结构(EXAFS)等技术对FeAl-RNC的元素化学状态和配位环境进行了分析。
5) 在O2饱和的0.5 M H2SO4和0.1 M KOH电解液中,使用旋转环盘电极(RRDE)技术评估了FeAl-RNC的ORR性能。
6) 将FeAl-RNC催化剂纳入膜电极组件(MEAs)中,并在实际燃料电池工作条件下进行了测试。
分析测试:
1) 通过BET结果,FeAl-RNC具有1530.9 m2 g–1的大比表面积和1.2 cm3 g–1的总孔容,主要由微孔构成。
2) AC-HAADF-STEM图像显示FeAl-RNC上均匀分布的Fe-Al双金属对,平均距离约为2.3 Å。
3) XPS分析显示FeAl-RNC中金属-N物种的含量较高,表明FeAl-RNC具有更高的配位密度。
4) XANES和EXAFS结果表明FeAl-RNC中Fe的氧化态介于+2和+3之间,且Fe和Al之间存在强电子相互作用。
5) RRDE技术测试表明FeAl-RNC在0.5 M H2SO4和0.1 M KOH中展现出优异的ORR电催化性能。
总结:
1)本研究成功开发了一种具有Fe-Al原子对的核壳榴花状纳米碳催化剂(FeAl-RNC),通过p-d轨道杂化作用实现了对氧中间体吸附强度的优化,从而显著提高了ORR活性。
2)FeAl-RNC的核壳榴花状结构不仅增强了活性位点的密度,还降低了O2/质子传输阻力,提高了PEMFC的性能。基于FeAl-RNC的PEMFC展现出优异的峰值功率、活性和稳定性,超越了美国能源部2025年的目标。
3)密度泛函理论(DFT)计算揭示了Fe-Al原子对周围的p-d轨道杂化作用,导致显著的电子分布不对称性和优化的Fe d带中心,促进了ORR过程中OH*中间体的解吸。



展望:
1)进一步探索和优化MOF衍生催化剂中金属位点的配位环境,以及这些位点在不同催化反应中的应用;
2)进一步研究如何通过后合成修饰来调节MOFs的电子性质和催化性能,以及如何通过理论计算来指导实验设计,从而开发出更加高效和选择性的催化剂;
未来的研究还应该探索不同组成和结构的MOFs的金属位点动力学,并将其与它们的功能性相关联;
此外,研究在实际燃料电池环境中催化剂的长期稳定性和耐久性也是必要的,以推动这些催化剂的商业化应用。
Efficient Proton-exchange Membrane Fuel Cell Performance of Atomic Fe Sites via p–d Hybridization with Al Dopants
文章作者:Yarong Liu, Jiaxin Li, Zunhang Lv, Haiyang Fan, Feilong Dong, Changli Wang, Xianchun Chen, Rui Liu, Chongao Tian, Xiao Feng, Wenxiu Yang*, and Bo Wang*
DOI:10.1021/jacs.4c01598
文章链接:https://pubs.acs.org/doi/10.1021/jacs.4c01598
本文为科研用户原创分享上传用于学术宣传交流,具体内容请查阅上述论文,如有错误、侵权请联系修改、删除。未经允许第三方不得复制转载。