首页 >
行业动态 > 【疏水MOF】:在疏水性金属-有机框架材料中温和温度下超临界水的限域现象研究
【疏水MOF】:在疏水性金属-有机框架材料中温和温度下超临界水的限域现象研究
摘要:
University of Ferrara 的Andrea Le Donne& Paweł Zajdel& Mirosław Chorążewski&Yaroslav Grosu老师等报道的文章(J. Am. Chem. Soc. 2024)中探讨了在高压下,高度疏水的金属-有机框架(MOFs)内部复杂腔室中限制的水的特殊性质。通过高压侵入-挤出实验、分子动力学模拟以及同步辐射数据的综合分析,揭示了MOF限制下水的超临界转变发生在远低于散装水的临界温度,约低250 K。这种大幅度临界温度(Tc)的偏移归因于在Cu2tebpz(tebpz = 3,3′,5,5′-四乙基-4,4′-联吡唑)疏水MOF的特定几何形状和化学性质下,限制的水蒸气密度非常高。这是首次研究在高度疏水纳米多孔材料中限制水的Tc偏移,解释了为什么以前从未报告过如此大幅度降低临界温度的实验或计算结果。

研究背景:
1)在许多技术应用中,如液体分离、液相色谱、能量耗散与存储、多孔系统特性表征、生物和生物启发通道、负压缩性和液体活塞等,研究液体在多孔系统中的侵入/挤出行为至关重要。
2)过去五十年中,已有许多理论和计算研究描述了在高限制条件下水和其他液体及流体的行为,考察了温度和压力以及限制材料的形态学/拓扑学和化学物理特性(如疏水性/亲水性)的影响。
3)本研究首次将液相色谱法应用于疏水性多孔介质,研究了Cu2tebpz和ZIF-8 MOFs中限制水的温变行为,发现并证明了由于限域而导致水的临界温度大幅度降低的现象。
实验部分:
1) 使用BGR-Tech的Transitiometer进行Cu2(tebpz) + 水系统的侵入-挤出实验,记录不同温度下的PV等温线。
2) 通过准静态条件(压缩-减压速率为0.5 MPa/min)进行实验,确保压缩-减压循环期间温度保持恒定。
3) 实验结果显示,随着温度的升高,侵入体积显著减少,表明在约440 K时侵入体积可以忽略不计。
4) 分子动力学模拟表明,在Cu2(tebpz)孔道中,限域水的临界温度降低了约200 K。
5) 同步辐射实验证实了在高温下,水蒸气在MOF孔道中心有显著的分布密度,且在MOF壁的侧孔口处有额外的水分子存在。
分析测试:
1) 通过液相色谱法得到的PV等温线显示,随着温度的升高,侵入体积减少,表明超临界状态的实现。
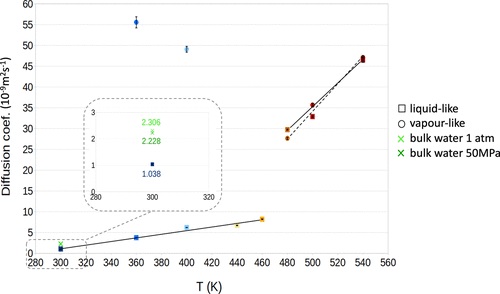
2) 分子动力学模拟显示,在50 MPa下,限制水的液态和气态密度随温度变化,确认了在500 K时限制水达到超临界状态。
3) 同步辐射实验观察到,在363.15 K和35 MPa的条件下,Cu2(tebpz)的椭圆通道中心有大量的水蒸气,且在MOF壁的侧孔口处有额外的水分子,这与分子动力学模拟结果一致。
总结:
本研究揭示了在疏水性MOFs中温和温度下超临界水的限域行为,特别是Cu2(tebpz)中水的临界温度大幅度降低的现象。这一发现为理解疏水性多孔材料中限制流体的基本性质提供了新的视角,并为开发新型热能存储技术提供了可能性。



展望:
1)对于限制水在MOFs中的超临界状态的完整特性,如热容量、假临界温度等,还需要进一步研究。
2)扩展研究更多的疏水性多孔材料,深入理解其内部的物理化学机制,并探索其在能源存储等领域的应用潜力。
Mild-Temperature Supercritical Water Confined in Hydrophobic Metal–Organic Frameworks
文章作者:Sebastiano Merchiori, Andrea Le Donne*, Josh D. Littlefair, Alexander Rowland Lowe, Jiang-Jing Yu, Xu-Dong Wu, Mian Li, Dan Li, Monika Geppert-Rybczyńska, Lukasz Scheller, Benjamin A. Trump, Andrey A. Yakovenko, Paweł Zajdel*, Mirosław Chorążewski*, Yaroslav Grosu*, and Simone Meloni
DOI:10.1021/jacs.4c01226
文章链接:https://pubs.acs.org/doi/10.1021/jacs.4c01226
本文为科研用户原创分享上传用于学术宣传交流,具体内容请查阅上述论文,如有错误、侵权请联系修改、删除。未经允许第三方不得复制转载。