首页 >
行业动态 > 【MOF分离C4】:一步法丁二烯纯化在磺酸盐官能化金属-有机框架中通过协同分离机制
【MOF分离C4】:一步法丁二烯纯化在磺酸盐官能化金属-有机框架中通过协同分离机制
摘要:
浙江大学杨立峰老师等报道的本篇文章(Angew. Chem. Int. Ed. 2024, e202403345)中提到多孔材料能从复杂混合物中识别特定分子,对改善当前能源密集型多步分离过程具有巨大潜力。但是,由于混合物的高度相似的结构和性质,设计理想的多孔材料仍然充满挑战。本研究设计了一种具有合适孔径和孔内化学性质的磺酸盐官能化金属-有机框架ZU-609,用于从复杂C4混合物中纯化1,3-丁二烯(C4H6)。通道中装饰的磺酸根阴离子通过C-H···O-S相互作用,实现了对C4H6与其他C4烯烃微妙极性差异的选择性识别,提供了创纪录的C4H6/trans-2-C4H8选择性(4.4)。同时,通道收缩的入口处具有适宜的孔径(4.6 Å),表现出对较大分子cis-2-C4H8、iso-C4H8、n-C4H10和iso-C4H10的排斥效应。由于磺酸根阴离子表现出的中度C4烯烃结合亲和力,吸附的C4H6可以在接近环境条件下轻松再生。首次通过一次吸附-解吸周期从7组分C4混合物中获得聚合级1,3-丁二烯(99.5%)。该工作展示了尺寸筛选和热力学平衡协同识别在处理复杂混合物中的巨大潜力。
.png)
研究背景:
1. 在化学和相关行业中,从C4碳氢混合物中提取聚合级1,3-丁二烯的过程由于涉及多个能源密集型步骤,存在能耗高的问题。
2. 其他学者提出的解决方案包括利用具有开放金属位点或可访问阳离子的多孔材料,通过π-络合作用实现C4烯烃与烷烃的有效鉴别,但这些互动无法为更微妙的C4烯烃分离提供足够的选择性。
3. 本文作者在其他研究的基础上,提出了通过调整多孔材料的孔径和化学性质,采用磺酸盐官能化金属-有机框架识别和分离1,3-丁二烯,实现了从复杂C4混合物中一步法纯化聚合级1,3-丁二烯。

实验部分:
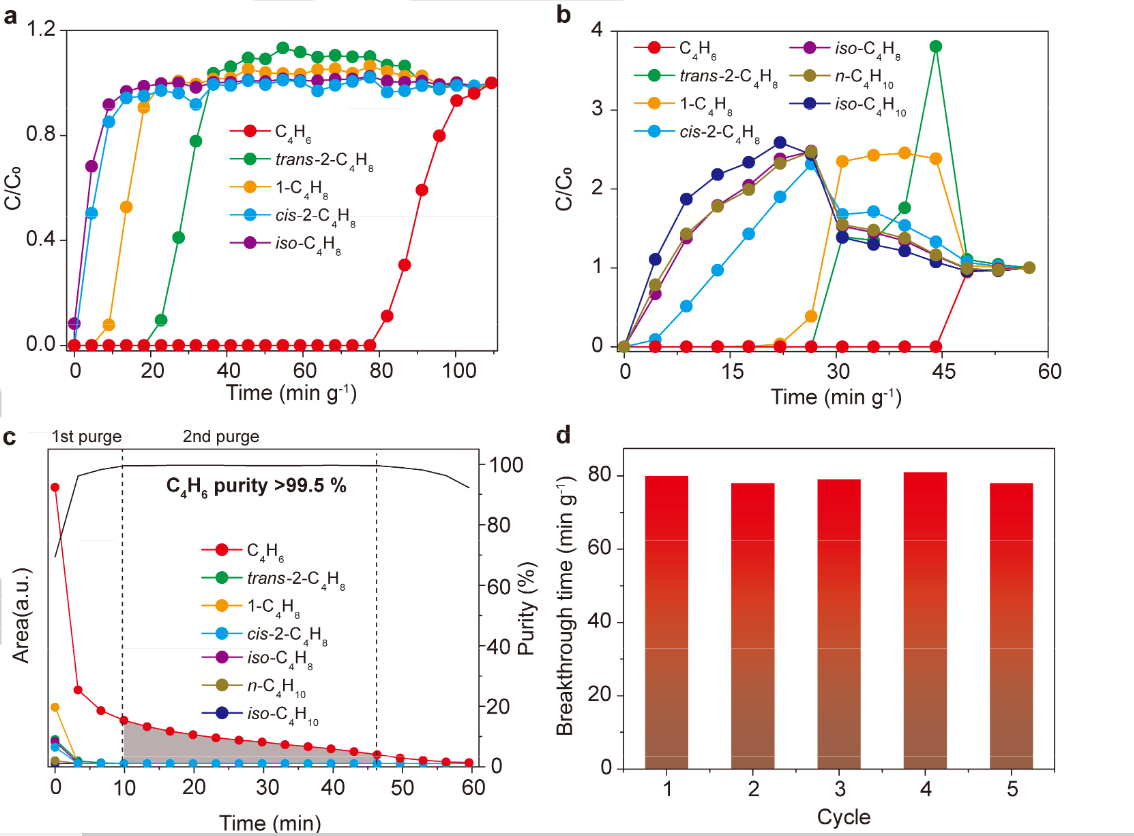
1. 对ZU-609材料进行了多种C4烃类气体吸附实验(对应C4H6、C4H8同分异构体、C4H10等),测试了其在298 K条件下的吸附等温线(Supplementary Figures S8和S9)。
2. 通过双位点Langmuir-Freundlich模型对吸附等温线进行拟合,获取各种气体的吸附参数,从而评估材料的吸附能力。
3. 利用理想吸附解吸模型(IAST)来预测ZU-609材料对C4H6与trans-2-C4H8(50/50混合物)的选择性吸附性,比较了不同材料在相同条件下的选择性。
4. 研究了ZU-609对复杂C4混合物的竞争吸附能力,计算了从实际C4混合物中的各组分的吸附量。
5. 使用装填有ZU-609的不锈钢柱进行突破曲线实验,观察不同流速下C4混合物通过材料的动态吸附行为。
6. 对ZU-609材料进行了多个循环的吸附-解吸实验,以评估其吸附性能的可重复性和稳定性。
分析测试:
1. 结构表征:使用X射线粉末衍射(PXRD)确认了ZU-609的晶体结构,通过吸附等温线反映出其孔隙结构特性。
2. 吸附能力分析:借助双位点Langmuir-Freundlich参数,分析了ZU-609对不同C4烃类气体的吸附容量和吸附热力学特性。模拟的竞争吸附等温线结果与实验结果吻合良好。C4H6的吸附量高达1.59 mmol g^-1,而剩余组分的总吸附量仅为0.13 mmol g^-1。通过吸附等温线数据,计算得到ZU-609对C4H6的Qst为47.6 kJ mol^-1,与其他C4组分相比,显示出ZU-609对C4H6的卓越热力学选择性。
3. 突破曲线分析:在C4H6/trans-2-C4H8/1-C4H8/cis-2-C4H8/iso-C4H8的突破过程中,由于尺寸排除效应,cis-2-C4H8和iso-C4H8首先被检测到,随后是1-C4H8和trans-2-C4H8。
4. 动态吸附容量:对于更复杂的7组分混合物,ZU-609也显示出卓越的分离性能,C4H6的动态吸附量高达1.5 mmol g^-1,接近模拟结果。
5. DFT模拟:通过密度泛函理论(DFT)模拟揭示了C4烯烃分子在ZU-609孔道结构中的吸附构型。C4H6位于ZU-609通道中心,与磺酸根阴离子通过C-H···O-S相互作用。
总结:
本研究首次实现了从复杂的7组分C4混合物中一步法获取聚合级1,3-丁二烯(99.5%),展示了磺酸盐官能化金属-有机框架在复杂混合物处理方面的潜力。ZU-609凭借其特殊的孔径和化学性质,及其协同的分离机制,为C4混合物的高效纯化提供了新的解决方案,有望替代现有的能源密集型分离过程。



展望:
1. 未来研究可以探索将这种分离技术应用于其他类型的混合物分离,扩大其应用范围。
2. 未来可以进一步优化ZU-609的结构和功能化策略,提高分离效率和降低成本。
3. 研究ZU-609在实际工业生产环境中的稳定性和再生能力,确保其长期有效性和可持续性。
One-Step Butadiene Purification in a Sulfonate-Functionalized Metal-Organic Framework through Synergistic Separation Mechanism
文章作者:Jiyu Cui, ZhenSong Qiu, Zhenglu Yang, Anye Jin, Xili Cui, Lifeng Yang, Huabin Xing
DOI:10.1002/anie.202403345
文章链接:https://onlinelibrary.wiley.com/doi/10.1002/ange.202403345
本文为科研用户原创分享上传用于学术宣传交流,具体内容请查阅上述论文,如有错误、侵权请联系修改、删除。未经允许第三方不得复制转载。