首页 >
行业动态 > 【MOF吸附甲烷】:一种用于高效分离甲烷和氮气的稳健二维层状金属有机框架材料
【MOF吸附甲烷】:一种用于高效分离甲烷和氮气的稳健二维层状金属有机框架材料
摘要:
本文报道了一种新型二维层状金属有机框架材料Ni(4-DPDS)2CrO4用于选择性捕获和分离甲烷。该材料具有永久性菱形孔道,展现出优异的稳定性,甲烷吸附量达到0.95 mmol/g,对甲烷具有高亲和力,等量吸附热高达28.4 kJ/mol,CH4/N2选择性达到7.3,与目前报道的MOF材料相当。DFT计算表明甲烷分子优先吸附在由CrO42-阴离子修饰的孔腔中心。这种角形无机阴离子提供极性位点,与客体分子形成紧密的相互作用。动态穿透实验和再生性测试表明该材料在天然气净化方面具有良好的应用前景。

研究背景:
(1) 天然气中含有大量杂质尤其是N2,高浓度N2会降低天然气热值,直接排放会加剧温室效应。因此从N2中捕获和回收CH4对能源生产和环境保护意义重大。
(2) 传统的CH4/N2分离方法如低温蒸馏能耗高成本高,变压吸附技术受限于高效吸附剂的缺乏。目前报道的多孔材料如碳、沸石、硅铝等CH4工作容量和选择性都较低。
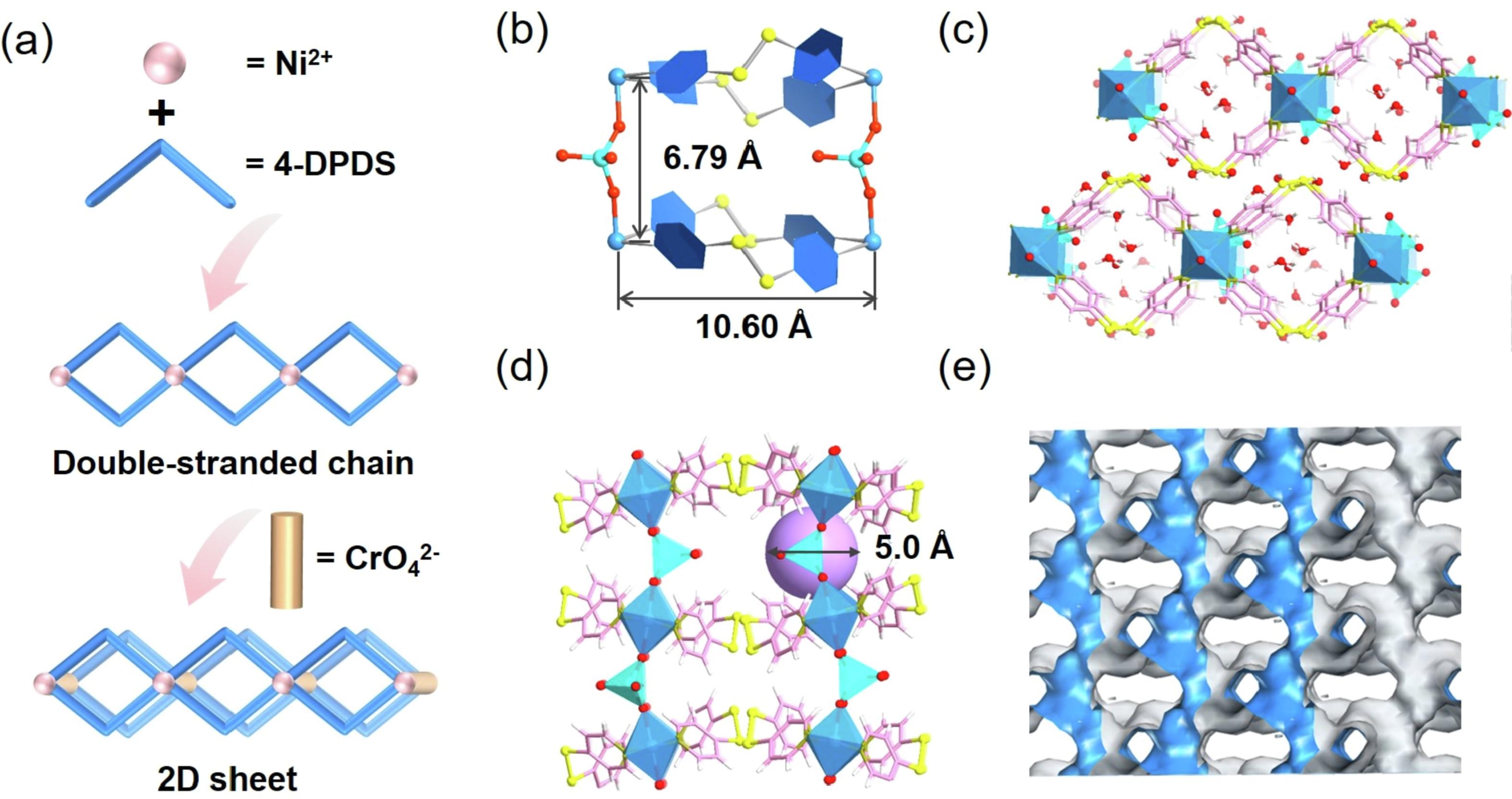
(3) 本文作者在前人工作的基础上,设计合成了一种新型二维层状MOF材料Ni(4-DPDS)2CrO4,引入扭曲有机配体4-DPDS和角形无机阴离子CrO42-,构筑出永久性菱形孔道,可高效捕获CH4并实现CH4/N2的分离。
实验部分:
(1) 合成了新型二维层状MOF材料Ni(4-DPDS)2CrO4,采用溶剂热法,在室温下混合NiCl2, 4-DPDS和K2CrO4的水/乙腈溶液,产物经洗涤干燥得到。
(2) 通过单晶X射线衍射解析了Ni(4-DPDS)2CrO4的结构,属于单斜晶系C2/c空间群,每个Ni2+与4个4-DPDS配位形成双链,再通过CrO42-桥联,形成永久性菱形孔道。
(3) 测试了Ni(4-DPDS)2CrO4对CH4和N2的纯组分等温吸附,在273K和298K下CH4吸附量分别达到1.23和0.95 mmol/g,明显高于N2,表明其对CH4具有更强的亲和力。相比已报道的多数MOF材料,其CH4吸附量有明显提升。
分析测试:
(1) 热重分析表明Ni(4-DPDS)2CrO4具有优异的热稳定性,在220°C以下保持骨架稳定。
(2) 多种条件下的PXRD测试表明Ni(4-DPDS)2CrO4在空气、水和酸碱环境中晶体结构都能保持完整,展现出优异的化学稳定性,与三维MOF相当甚至更优。
(3) N2吸附测试得到其BET比表面积为317 m2/g,孔体积为0.15 cm3/g,主要孔径分布在5Å左右。
(4) 采用IAST方法计算得到Ni(4-DPDS)2CrO4对等量CH4/N2混合气体的选择性在298K和273K下分别为7.3和8.3,明显高于已报道的多数MOF材料。
(5) 等量吸附热计算得到Ni(4-DPDS)2CrO4对CH4的Qst0值高达28.4 kJ/mol,明显高于N2的20.7 kJ/mol,也超过目前报道的绝大多数MOF材料,表明其与CH4之间存在更强的相互作用。
总结:
(1) 成功构筑了一例新型二维层状MOF材料Ni(4-DPDS)2CrO4,引入扭曲配体和角形阴离子,形成永久性菱形孔道。
(2) Ni(4-DPDS)2CrO4展现出优异的热稳定性和化学稳定性,对CH4具有高吸附量和高选择性,等量吸附热高达28.4 kJ/mol。
(3) DFT计算揭示甲烷分子优先吸附在由CrO42-阴离子修饰的孔腔中心,存在多种协同作用使其与骨架之间具有高结合能。
(4) 动态穿透实验进一步验证了Ni(4-DPDS)2CrO4在CH4/N2混合气体分离方面的优异性能,表明其在天然气净化方面具有良好的应用前景。



展望:
(1) 二维MOF材料在气体吸附分离领域的研究还比较少,本文工作为设计合成高效CH4吸附分离材料提供了新的思路,但仍需要在实际应用条件下进一步考察其性能。
(2) 可进一步拓展合成策略,引入其他功能基团,优化孔道环境,进一步提升吸附分离性能。
A robust two–dimensional layered metal–organic framework for efficient separation of methane from nitrogen
文章作者:Fang Zheng , Lihang Chen , Rundao Chen , Zhiguo Zhang , Qiwei Yang , Yiwen Yang , Baogen Su , Qilong Ren , Zongbi Bao
DOI:10.1016/j.seppur.2021.119911
文章链接:https://www.sciencedirect.com/science/article/pii/S138358662101618X