首页 >
行业动态 > 【MOF分离惰性气体】:拓扑结构和孔隙率控制提升锆-富马酸框架材料的氙/氪分离性能
【MOF分离惰性气体】:拓扑结构和孔隙率控制提升锆-富马酸框架材料的氙/氪分离性能
摘要:
浙江大学鲍宗必、郑芳等发表的文章(AIChE J. 2023, 69, e18169)中研究通过简单改变合成条件,控制锆-富马酸框架材料的拓扑结构和孔隙率,成功构建了具有一维孔道而非原始笼状fcu拓扑的MOF-801材料,命名为MIP-203-F。通过等温线测量和穿透实验全面评估了MIP-203-F的氙/氪分离性能,同时通过蒙特卡洛和密度泛函理论计算详细阐明了其吸附机理。由于具有合适尺寸的均一孔道和丰富的极化基团,MIP-203-F可以差异化极化并识别氙/氪原子气体,在锆基有机框架材料中创下了捕获和分离氙/氪的新纪录。

研究背景:
(1) 工业上需要高纯度的氙和氪,但在低温空气分离过程中得到的氙/氪混合物需要进一步分离提纯,传统的低温蒸馏法能耗高、成本高。
(2) 其他学者提出了基于高效吸附剂的吸附分离方法作为节能、经济的替代方案。MOF材料由于孔径可设计性和化学性质可调,被认为是氙/氪吸附分离的有前景候选材料。
(3) 本文作者在已有Zr基MOF材料的基础上,通过调控合成条件,将Zr-oxo簇的配位数从12降低到10,从而构建出具有一维孔道而非笼状fcu拓扑的MIP-203-F材料,与MOF-801相比,MIP-203-F在氙/氪分离性能上有显著提升。
实验部分:
(1) 合成了MIP-203-F、MOF-801和UiO-66三种材料,表征了其晶体结构、孔隙率、比表面积等性质。
(2) 测试了三种材料对氙、氪、氩、氧和氮的单组分等温吸附曲线。
(3) 通过IAST理论和GCMC模拟计算了MIP-203-F对氙/氪混合气体的吸附选择性。
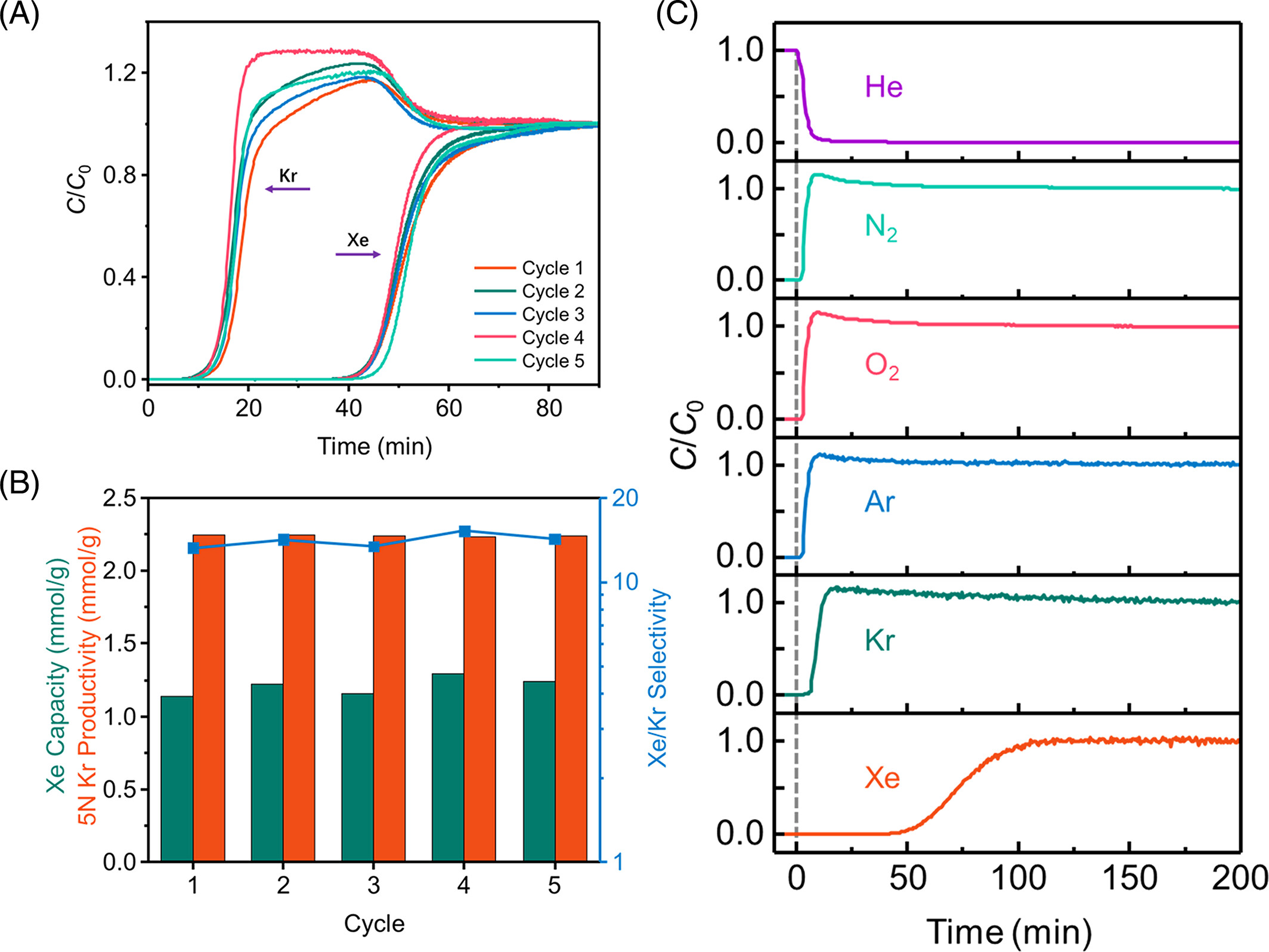
(4) 开展了动态柱穿透实验,考察了MIP-203-F对氙/氪混合气体和稀释氙/氪的分离捕集性能。
实验结果表明,MIP-203-F具有更高的氙吸附量、亨利系数和氙/氪选择性,在穿透实验中表现出优异的氙/氪分离和稀释氙捕集能力,优于现有的Zr基MOF材料。
分析测试:
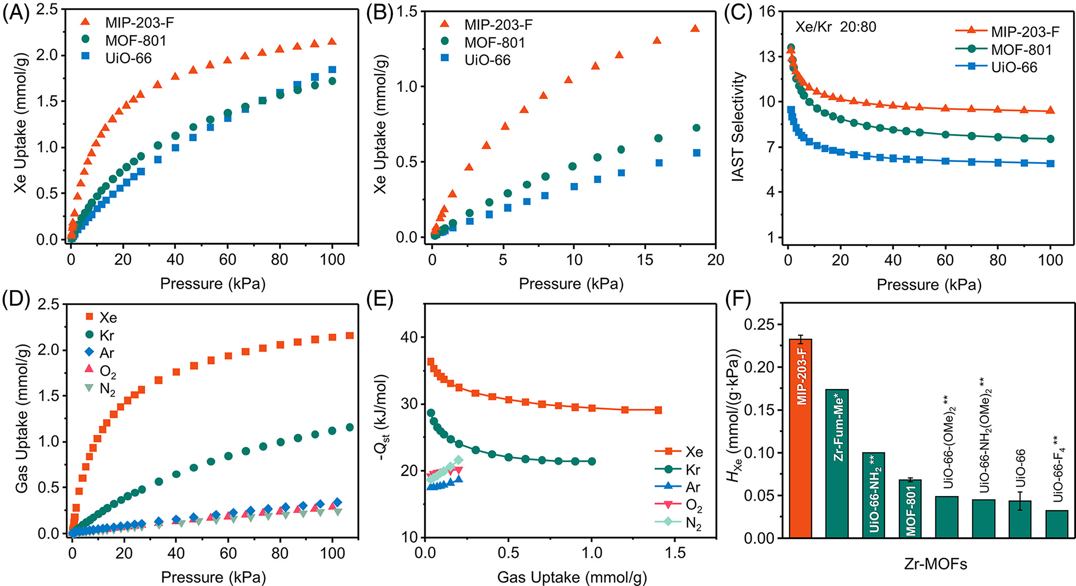
(1) N2吸附-脱附等温线表明三种材料均具有永久微孔结构,BET比表面积分别为313、946和1660 m2/g,H-K法计算的孔径分布显示MIP-203-F具有更加均一和受限的孔道(~0.48 nm)。
(2) 基于Langmuir-Freundlich拟合参数,MIP-203-F在298 K、100 kPa下对氙/氪(20:80)混合气体的IAST选择性为9.4,高于MOF-801的7.6和UiO-66的5.9。
(3) MIP-203-F对氙、氪、氩、氧和氮的等量吸附热分别为-36、-29、-18、-19和-19 kJ/mol,氩、氧、氮与MIP-203-F相互作用较弱。
(4) GCMC模拟得到MIP-203-F上氙/氪的两个优先吸附位点,DFT计算表明差异化的极化相互作用是氙/氪选择性吸附的原因,氙在两个位点上的结合能分别比氪高14.1和15.8 kJ/mol。
总结:
(1) 通过调控合成条件,利用相同的金属盐和有机配体,成功构建了具有一维孔道的MIP-203-F材料。
(2) MIP-203-F表现出优异的氙吸附量、亨利系数和氙/氪选择性,在动态穿透实验中展现出良好的氙/氪分离和稀释氙捕集能力。
(3) 本研究为构建高性能MOF吸附剂提供了一种有效的拓扑结构调控策略,为氙/氪的高效分离和捕集提供了有前景的候选材料。



展望:
(1) 进一步开展含有水、二氧化碳等杂质气体的多组分穿透实验。
(2) 尝试对MIP-203-F的孔道进行修饰和功能化,进一步提高其氙/氪选择性吸附能力。
(3) 考虑将MIP-203-F与其他类型吸附剂复合,发挥协同效应,实现氙/氪的梯级分离和提纯。
Topology and porosity control on zirconium–fumarate frameworks boosting xenon/krypton separation
文章作者:Rundao Chen, Bin Sheng, Fang Zheng, Jiaqi Li, Haoran Sun, Fangru Zhou, Lihang Chen, Zhiguo Zhang, Qiwei Yang, Qilong Ren, Zongbi Bao
DOI:10.1002/aic.18169
文章链接:https://aiche.onlinelibrary.wiley.com/doi/full/10.1002/aic.18169?saml_referrer