首页 >
行业动态 > 【MOF吸附碘】通过诱导拟态转换在Ag(I)-有机框架中优化碘富集:目前最高存储密度纪录
【MOF吸附碘】通过诱导拟态转换在Ag(I)-有机框架中优化碘富集:目前最高存储密度纪录
摘要:
中科院福建物构所洪茂椿、陈其辉组报道的这篇文章(Small 2024, 2311181)介绍了通过制备两种具有相似活性位点但不同孔径大小的银-有机框架(FJI-H39和FJI-H40),实现了碘的高效捕获和存储。FJI-H39具有创纪录的碘存储密度,并显示出非常快的吸附动力学,比FJI-H40快124倍。通过机理研究发现,FJI-H39可以持续进行诱导拟态转变,使碘物种快速有序地富集在Ag(I)节点附近,从离散的I-阴离子到各种碘物种的密集堆积,实现了非常快的吸附动力学和记录高的存储密度。

研究背景:
1)核能发展中捕获和存储放射性I2是一项重要挑战,之前使用银改性沸石等材料捕获碘效率低。
2)MOFs作为有调节孔径和孔环境的材料具有潜力。本文作者创新性的引入柔性单元合成酶样MOF材料,进行碘的吸附
实验部分:
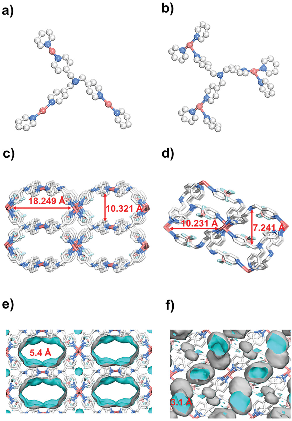
1)作者通过使用高度柔性的配体 (tris(pyridin-4-ylmethyl)amine, TPMA)和AgBF4,在不同的合成条件下分别得到了这两种MOF材料FJI-H39和FJI-H40。
ⅰ. FJI-H39的异构单元包含两个Ag(I)离子,一个TPMA配体和一个BF4-阴离子,形成一个无限2D层状结构,
ⅱ. FJI-H40的异构单元包含一个Ag(I)离子,一个TPMA配体和一个BF4-阴离子,形成一个无限的3D框架。
2)通过N2吸附实验和CO2吸附实验表征了FJI-H39和FJI-H40的孔径和比表面积。结果显示,FJI-H39的孔径为5.4 Å,比表面积为165 m2 g-1,而FJI-H40几乎不吸附N2或CO2,可能是因为其孔径小于分子的动力学直径。
3)通过时间依赖的UV/vis光谱分析研究了FJI-H39和FJI-H40对I2的吸附动力学。结果显示,FJI-H39的吸附速率比FJI-H40快124倍,吸附容量也更高。在40分钟内,FJI-H39可以吸附93%的I2,而FJI-H40只能吸附2.4%。
4)作者还研究了FJI-H39和FJI-H40对I2的解吸动力学。结果显示,FJI-H40的解吸速率比FJI-H39快,但FJI-H39的吸附效率明显高于解吸效率。
5)通过分析FJI-H39和FJI-H40对I2的吸附等温线,作者得出FJI-H39的I2吸附容量为884.96 mg g-1,I2存储密度达到了7.37 g cm-3,远高于固态I2的密度。
6)作者对FJI-H39的实用性进行了评估,包括对其在工业中捕获I2的适用性以及在气相和液相中捕获I2的效果,表现出良好的回收性、化学稳定性和热稳定性。
进行了时间相关的单晶X射线衍射实验,详细分析了碘的吸附机理
总结:
1)作者利用柔性配体合成了两种MOF材料FJI-H39和FJI-H40用于吸附碘。
2)两种材料表现出不同的结构和性能:FJI-H39具有高碘吸附容量和记录高的存储密度,在吸附过程中经历连续的诱导拟态转变。FJI-H40吸附碘速率慢,存储密度低
3)从性能考量,FJI-H39 具有很强的吸附碘废气的工业应用价值



展望:
1)进一步研究FJI-H39和FJI-H40的差异以及合成条件造成结构差异的原因,探索更多的MOF材料来实现高效碘捕获和存储
2)可以拓展不同的柔性配体合成类似的MOF材料
Optimizing Iodine Enrichment through Induced-Fit Transformations in a Flexible Ag(I)-Organic Framework: From Accelerated Adsorption Kinetics to Record-High Storage Density
文章作者:Cao Xiao, Jindou Tian, Feilong Jiang, Daqiang Yuan, Qihui Chen, Maochun Hong
DOI:10.1002/smll.202311181
文章链接:https://onlinelibrary.wiley.com/doi/10.1002/smll.202311181