作为一类新兴的多孔晶体材料,共价有机框架(COF)由分子构件通过共价键构成二维(2D)或三维(3D)网络结构。与经典的直链聚合物不同,COFs 具有结构规则的孔道结构,在气体吸附,感应,光电子学,催化方面具有巨大潜力。COFs的设计主要依赖于可逆的共价键,例如亚胺键。这种共价键的可逆特性赋予材料高的结晶度。然而,这种可逆性通常会降低共价键的强度。已经付出了相当大的努力来开发稳定连接的COFs,例如通过 Knoevenagel 缩合合成的双键连接的COFs。然而,稳定又可逆的连接方式相当有限。提高 COFs 稳定性的一个有效策略是通过合成后修饰将可逆键转变为更稳定的键。尽管取得了一些成果,但构建功能性 COFs仍未被充分探索。亚胺键转化的最终产物仅限于酰胺、胺和芳香环系统,如喹啉、噻唑。因此,非常需要通过 C=N 转换引入新功能单元进而开发COFs的功能。
通过邻硝基芳基亚胺中间体的还原诱导环化,即Cadogan反应,是一个很好的选择。目前,Cadogan反应已被广泛用于含氮芳烃的合成。如图1a所示,吲唑可以很容易地通过邻硝基苯甲醛和芳胺之间的反应中获得,芳胺首先产生亚胺中间体,然后由三价膦试剂引发分子内还原环化。以类似的方式,可以获得苯并咪唑(方案1b)。最近,劳伦斯伯克利国家实验室Jian Zhang和Yi Liu等人通过一锅反应和合成后修饰成功合成了吲唑连接的 COF。此外,通过该策略还合成了新型苯并咪唑(BIY) 连接的 COF。BIY 连接的 COF 具有优异的质子传导性。相关工作以“Covalent Organic Frameworks with Irreversible Linkages via Reductive Cyclization of Imines”为题发表在《Journal of the American Chemical Society》上。

图 1:通过 Cadogan 反应生成(a) 吲唑和 (b) 苯并咪唑

图 2:逐步法或一锅法合成 TPB-Indazole-COF
TPB-imine-COF 是在常规溶剂热条件下使用均三甲苯和1,4-二氧六环与乙酸 (8 M) 的混合物 (5.6:1, v/v) (120 °C, 3 天) 获得的。将得到的TPB- imine -COF用有机溶剂洗涤并真空干燥后与P(n- Bu)3在邻二氯苯 (ODCB)中反应在 110 °C 下放置 6 小时,制备所需的 TPB- Indazole-COF。

图 3:(a) TPB-Indazole-COF 的PXRD 图案;TPB- imine-COF在还原时的(b)FT-IR和(c)PXRD变化,显示TPB-Indazole-COF的形成。(d) TPB- imine-COF 和 (e) TPB-Indazole-COF的 XPS 光谱
通过粉末 X 射线衍射 (PXRD) 研究验证了TPB-Indazole-COF的高结晶度,最强的峰在2.46°,其他峰在4.13和25.21°,分别对应于(100)、(110)和(001)晶面。傅里叶变换红外 (FT-IR) 光谱研究进一步表明了成功的化学转化。TPB-Indazole-COF的 FT-IR 光谱显示亚胺振动在 1620 cm -1和 N-O 对称 (1340 cm -1 ) 和不对称伸展 (1525 cm -1 ) 均消失,吲唑的 C-N 在 1380 cm -1出现,TPB-imine-COF的(100)面在4小时内经历了从2.25到2.46°的渐进转变,表明随着TPB- imine-COF转变为TPB-Indazole-COF。通过 X 射线光电子能谱 (XPS) 进一步验证了成功的转换。TPB-imine-COF的XPS光谱中~405和~398 eV的N 1s信号分别归因于NO2和C = N部分,还原环化后,观察到与吲唑N原子相关的~401 eV的新峰,而硝基信号完全消失(图3e),表明亚胺和硝基的完全环化和吲唑的形成。

图 4:(a)模型反应和 (b) 合成BIY -COF :成功的一锅法与无效的逐步路线
作者使用3,3'-二硝基联苯胺和2,4,6-三甲氧基苯-1,3,5-三甲醛作为前体(方案 4 b),尝试了逐步方法,溶剂热缩合反应导致缩合产物的自发去甲基化。

图 5:(a) BIY-COF、酮烯胺-NO2 -COF 和模型化合物M2的 FT-IR 。(b) BIY-COF 的 XPS。(c) BIY-COF 的实验和模拟 PXRD
将 BIY-COF 的 FT-IR 光谱与酮烯胺-NO 2 -COF 的 FT-IR 光谱进行比较,表明 N-O 对称 (1340 cm -1 ) 和不对称伸展 (1525 cm -1 ) 的消失(图5a )。此外,BIY-COF 的 FT-IR 光谱中 1552 cm -1处的 C=C 振动峰与模型化合物M2的光谱相似,但与酮烯胺-NO 2 -COF 的光谱不同,后者出现在1572 cm–1。BIY-COF的 XPS 也证明了 BIY 键的形成(图3b)。BIY-COF的PXRD显示出一系列突出的峰,最强的峰在3.46°,其他峰在5.34、9.65和26.04°,分别对应于(100)、(110)、(210)和( 001) 晶面。

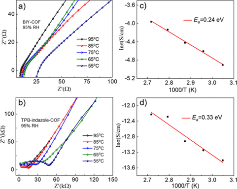
图 6:质子电导率测量;(a) BIY-COF 和 (b) TPB-Indazole-COF在不同温度 (95% RH) 下的奈奎斯特图;(c) BIY-COF 和 (d) TPB-Indazole-COF 的 Arrhenius 图
为了研究 BIY-COF 的质子传导,在受控的潮湿环境下使用颗粒压片的方式进行电化学阻抗谱测试 (EIS)。BIY-COF 的电导率随温度升高,达到最大值 1.9 × 10 –2 S/cm (95 °C, 95% RH) (图 6a),这与报告的具有本征质子传导性的 COF 的最高值相当,并且优于许多负载质子源的 COF。由于BIY单元的质子供体和受体特性,优异的性能可归因于通过排列的孔形成的一维通道形成稳定的质子网络。BIY-COF和TPB-Indazole-COF在不同温度下进行了进一步的研究,从中获得了活化能(Ea),BIY-COF 和 TPB-Indazole-COF 中质子传导的活化能为 0.24 和 0.33 eV,表明两种 COF 中质子传导遵循的 Grotthuss 型机理。
Covalent Organic Frameworks with Irreversible Linkages via Reductive Cyclization of Imines
Sizhuo Yang, Chongqing Yang, Chaochao Dun, Haiyan Mao, Rebecca Shu Hui Khoo, Liana M. Klivansky, Jeffrey A. Reimer, Jeffrey J. Urban, Jian Zhang, Yi Liu
原文链接:https://pubs.acs.org/doi/full/10.1021/jacs.2c02405