首页 >
行业动态 > 具有高质子传导性的超强水稳定性和酸稳定性MOF-801及其质子交换复合膜
具有高质子传导性的超强水稳定性和酸稳定性MOF-801及其质子交换复合膜
摘要:
质子交换膜(PEMs)在电化学装置中应用广泛。本文报道MOF-801兼具高质子传导性(298K、98%RH下σ=1.88×10⁻³ S·cm⁻¹)与超强水/酸/碱稳定性。以MOF-801与PVDF-PVP共混制备复合膜MOF-801@PP-X,325K、98%RH下σ=1.84×10⁻³ S·cm⁻¹,在H₂/O₂燃料电池中展现潜在应用价值。

研究背景:
1. 行业问题和研究现状:Nafion膜是常用PEMs,但存在热稳定性差、成本高、制备工艺有害等问题;多数质子传导MOF化学稳定性差,且难以直接作为膜材料应用。
2. 本文创新:选用高稳定性MOF-801为质子传导组分,与PVDF-PVP共混制备复合膜,整合MOF的高质子传导性与聚合物的优良机械/加工性能。
实验部分:
1. 实验名称:MOF-801合成;步骤:将富马酸、ZrOCl₂·8H₂O溶于DMF/甲酸(4:1.4 mL),130℃溶剂热反应6h,洗涤干燥;结果:得白色沉淀,产率68%(基于富马酸)。
2. 实验名称:复合膜制备;步骤:MOF-801超声分散于DMF,加入PVDF-PVP(3:7),搅拌4h后流延成膜,70℃真空干燥;结果:制备MOF-801@PP-20/40/60系列复合膜。
3. 实验名称:燃料电池性能测试;步骤:将MOF-801@PP-60组装为膜电极组件,303K、100%RH下测试;结果:开路电压0.95V,最大功率密度2.2 mW·cm⁻²。
分析测试:
1. PXRD:MOF-801为立方晶系Pn3̅空间群,经酸、碱、沸水处理后结构稳定,复合膜中MOF晶型保留。
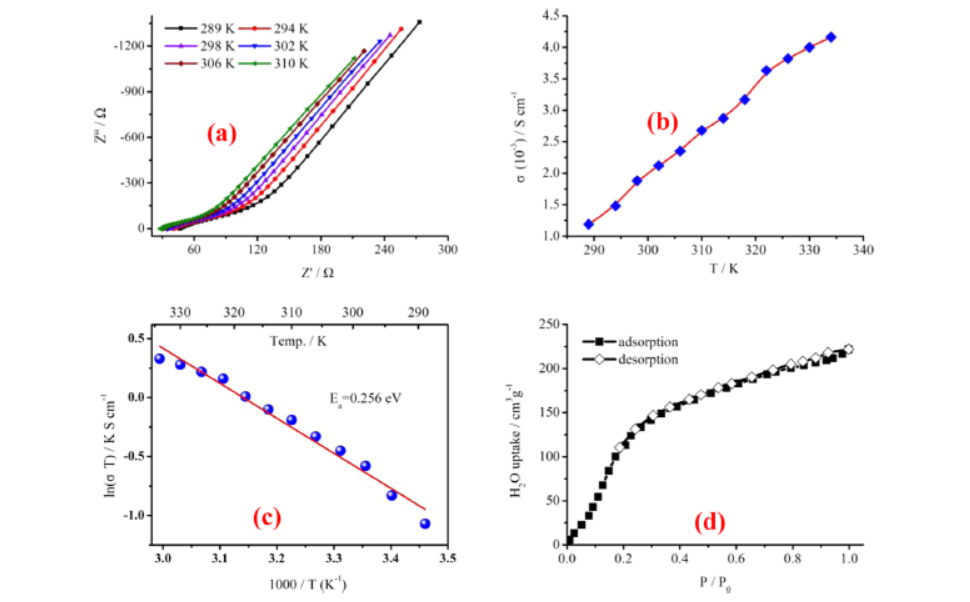
2. 质子传导测试:MOF-801在298K、98%RH下σ=1.88×10⁻³ S·cm⁻¹,334K时达4.16×10⁻³ S·cm⁻¹;MOF-801@PP-60在325K、98%RH下σ=1.84×10⁻³ S·cm⁻¹。
3. 稳定性测试:TG显示MOF-801热稳定至250℃;浸泡6M HCl、0.1M NaOH及沸水后结构不变。
4. 机理:质子传导遵循Grotthuss机制,MOF孔道中水分子与Zr₆O₄(OH)₄形成氢键网络,助力质子迁移。

总结:
1. 主要研究结果:成功合成高稳定性、高质子传导MOF-801及复合膜,明确其结构与性能。
2. 创新突破:实现MOF与聚合物复合膜的高效质子传导,解决MOF直接成膜难题。
3. 潜在意义:为电化学装置用PEMs提供新型材料选择,推动MOF在质子传导领域的实用化。
Extra Water- and Acid-Stable MOF-801 with High Proton Conductivity and Its Composite Membrane for Proton-Exchange Membrane
文章作者:Jin Zhang, Hui-Juan Bai, Qiu Ren, Hong-Bin Luo, Xiao-Ming Ren, Zheng-Fang Tian, Shanfu Lu
DOI:10.1021/acsami.8b09070
文章链接:https://pubs.acs.org/doi/10.1021/acsami.8b09070
本文为科研用户原创分享用于学术宣传交流,具体内容请查阅上述论文,如有错误、侵权等请联系修改、删除。未经允许第三方不得复制转载。