首页 >
行业动态 > 【Ce-MOF-808】新型铈基金属有机框架的合成与表征——多种框架拓扑结构研究
【Ce-MOF-808】新型铈基金属有机框架的合成与表征——多种框架拓扑结构研究
摘要:
本文提出一种简便通用的合成方法,成功制备出四种含六核簇的新型Ce(IV)-MOFs(Ce-UiO-66-BPyDC、Ce-DUT-67-PZDC、Ce-DUT-67-TDC、Ce-MOF-808),它们与锆基类似物同构,拓扑结构分别为fcu、reo、spn。在温和条件(100°C、15分钟)下通过调控合成法获得,经多种表征确认结构。Ce-UiO-66-BPyDC和Ce-MOF-808热稳定性分别达330°C和150°C,N₂吸附实验显示其比表面积分别为2120 m²/g和1725 m²/g。

研究背景:
1.行业问题与研究现状:金属有机框架(MOFs)因结构可调、表面积高,应用广泛,但Zr(IV)-MOFs研究较多,Ce(IV)-MOFs系列有限,且需探索更多拓扑结构以拓展应用。
2.本文创新:以甲酸为调节剂,温和条件下合成四种新型Ce(IV)-MOFs,拓展了Ce(IV)-MOFs拓扑结构范围,且Ce-UiO-66-BPyDC热稳定性高于已知Ce(IV)-MOFs。
实验部分:
1.材料准备:使用硝酸铈铵、H₂BPyDC、H₂PZDC、H₂TDC、H₃BTC等原料,未进一步纯化。
2.合成实验:
-Ce-UiO-66-BPyDC:将H₂BPyDC溶于DMF,加硝酸铈铵水溶液,100°C搅拌15分钟,离心、洗涤、干燥,产率38%。
-Ce-DUT-67-TDC:H₂TDC溶于DMF和甲酸,加硝酸铈铵水溶液,100°C搅拌15分钟,离心、洗涤、干燥,产率2%。
-Ce-DUT-67-PZDC:H₂PZDC溶于DMF和甲酸,加硝酸铈铵水溶液,100°C搅拌15分钟,离心、洗涤、干燥,产率28%。
-Ce-MOF-808:H₃BTC溶于DMF和甲酸,加硝酸铈铵水溶液,100°C搅拌15分钟,离心、洗涤、干燥,产率34%。
3.NMR样品处理:将Ce-MOFs溶于DCl/D₂O和d₆-DMSO混合液(1:7),再测¹H NMR。
分析测试:
1.PXRD:所有Ce-MOFs衍射峰位置较Zr类似物向低2θ偏移,Ce-UiO-66-BPyDC、Ce-DUT-67-PZDC、Ce-MOF-808经Rietveld精修确认结构,Ce-DUT-67-TDC用Le Bail拟合确认相纯。
2.IR:配位 linker的不对称C=O伸缩振动在1583-1552 cm⁻¹,对称在1385-1359 cm⁻¹,1707 cm⁻¹和1647 cm⁻¹分别对应丙酮和DMF残留。
3.¹H NMR:确认 linker未修饰,Ce-DUT-67-PZDC、Ce-DUT-67-TDC、Ce-MOF-808的linker:HCOO⁻摩尔比分别为1:0.14、1:0.17、1:0.08。
4.热分析:Ce-UiO-66-BPyDC、Ce-DUT-67-PZDC、Ce-MOF-808分解温度分别>330°C、>300°C、>260°C,残留CeO₂质量分数分别为24.0%、46.4%、46.5%。
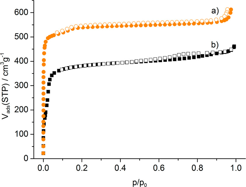
5.N₂吸附:Ce-UiO-66-BPyDC BET比表面积2120 m²/g、微孔体积0.85 cm³/g;Ce-MOF-808为1725 m²/g、0.62 cm³/g。
6.结论:Ce-MOFs结构明确,热稳定性和多孔性良好,Ce-UiO-66-BPyDC性能最优。

总结:
1.主要研究结果:合成四种新型Ce(IV)-MOFs,明确结构与性能,Ce-UiO-66-BPyDC热稳定性和比表面积突出。
2.创新突破:温和条件实现多种拓扑Ce(IV)-MOFs合成,拓展其结构与性能范围。
3.潜在意义:为Ce(IV)-MOFs在催化等领域应用奠定基础,提供合成新思路。
Synthesis and Characterization of New Ce(IV)-MOFs Exhibiting Various Framework Topologies
文章作者:Martin Lammert, Christian Glißmann, Helge Reinsch, Norbert Stock
DOI:10.1021/acs.cgd.6b01512
文章链接:https://pubs.acs.org/doi/10.1021/acs.cgd.6b01512
本文为科研用户原创分享用于学术宣传交流,具体内容请查阅上述论文,如有错误、侵权等请联系修改、删除。未经允许第三方不得复制转载。