首页 >
行业动态 > 功能化UiO-66的质子传导性能:调控特性、热重-质谱与分子模拟分析
功能化UiO-66的质子传导性能:调控特性、热重-质谱与分子模拟分析
摘要:
为改善质子交换膜燃料电池性能,研究人员以稳定的UiO-66为平台,通过在配体上修饰-SO₃H、-2COOH、-NH₂和-Br等不同官能团,探究金属有机框架(MOFs)质子传导性能的调控策略。结果显示,含强酸性和亲水性官能团的UiO-66-SO₃H与UiO-66-2COOH在303K、约97%相对湿度(RH)下,质子电导率分别达0.34×10⁻² S·cm⁻¹和0.10×10⁻² S·cm⁻¹;而含-NH₂、-H和-Br的MOFs电导率较低。结合热重-质谱(TG-MS)和分子模拟分析,证实孔内吸附水分子对质子传导起重要作用,且-SO₃H和-COOH功能化的UiO-66对水分子亲和力更强,分子模拟还揭示了部分MOF中氢键网络的形成。

研究背景:
2.1 行业问题和研究现状
-行业问题:质子交换膜燃料电池(PEMFC)中,商用质子交换膜材料(如Nafion)成本高,且结构复杂,难以明确结构与质子传导路径的关系,亟需新型质子传输材料。
-研究现状:设计质子传导MOFs有两种方法,一是直接合成具质子传导性能的MOFs,但多数电导率不可预测,且未强调调控策略;二是在MOF孔中引入辅助物质提升电导率,但需MOF稳定性高且处理过程复杂。同时,缺乏定性/定量方法理解MOFs与水分子的相互作用。
2.2 本文创新
以同构UiO-66-X家族为平台,通过修饰不同官能团调控MOFs质子传导性能;结合TG-MS技术分析官能团对MOFs吸水的影响及水分子与MOFs的相互作用;采用蒙特卡洛分子模拟估算水吸附的等量吸附热(-Qst)和径向分布函数(RDFs)。
实验部分:
1.-UiO-66-X合成-:
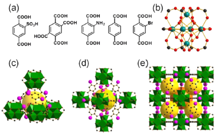
-UiO-66-SO₃H:将ZrOCl₂·8H₂O(1.00g,0.031mol)与2,5-二羧基苯磺酸钠(0.83g,0.031mol)溶于甲酸(11.7mL)和DMA(30mL),150℃高压釜中反应24h,冷却后收集产物。
-UiO-66-2COOH:ZrCl₄(4.62g,20mmol)与1,2,4,5-苯四甲酸(4.61g,34mmol)溶于100mL蒸馏水,回流24h,冷却收集产物。
-其他UiO-66-X(-Br、-H、-NH₂):ZrCl₄(0.93g,4mmol)分别与对应配体(如2-溴苯二甲酸1.93g,8mmol)溶于DMF(24mL)和浓HCl(0.67mL),220℃高压釜反应16h,冷却收集产物。所有产物经对应溶剂洗涤、丙酮交换,80℃减压干燥12h。
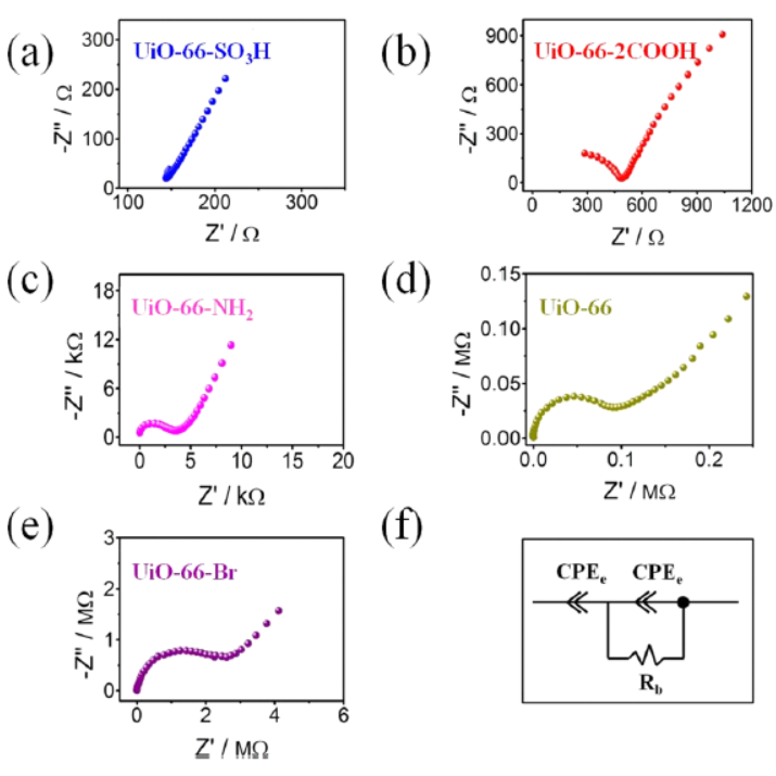
2.-质子电导率测试-:将30-50mg MOF粉末在1000kg·cm⁻²压力下压制2min成直径6mm的圆片,两侧涂银浆接铜线,置于自制玻璃室,用饱和盐溶液控RH(33%-97%),291-303K下用Zennium电化学工作站(1Hz-4MHz,100mV)测阻抗,按σ=L/(RA)计算电导率。
3.-分子模拟-:用CADSS软件,结合Lennard-Jones和库仑势计算水分子与MOFs相互作用,DFT优化UiO-66(Zr)晶体结构,水分子用TIP3P模型,MOF框架LJ参数取自DREIDING力场(Zr取自Universal力场),模拟盒含8个单位晶胞,MC模拟各1×10⁷步平衡与采样。
分析测试:
1.-PXRD分析-:测试显示,经1周交流阻抗测试后,UiO-66-X仍保持结晶性,证明其稳定性。
2.-TG-MS分析-:303K、97%RH下吸水后,UiO-66-SO₃H、UiO-66-2COOH失重分别为33.74%、35.44%,且MS曲线有两个失水平台;其他三者失重21.15%-23.76%,仅一个失水平台,表明前两者对水亲和力更强。
3.-气体吸附分析-:77K下N₂吸附测得BET比表面积:UiO-66(1204m²·g⁻¹)>UiO-66-NH₂(1070m²·g⁻¹)>UiO-66-Br(957m²·g⁻¹)>UiO-66-2COOH(437m²·g⁻¹)>UiO-66-SO₃H(387m²·g⁻¹);孔体积:UiO-66(0.49cm³·g⁻¹)>UiO-66-NH₂(0.41cm³·g⁻¹)>UiO-66-Br(0.47cm³·g⁻¹)>UiO-66-SO₃H(0.32cm³·g⁻¹)>UiO-66-2COOH(0.24cm³·g⁻¹)。
4.-分子模拟分析-:-Qst值:UiO-66-SO₃H(86.50kJ·mol⁻¹)>UiO-66-2COOH(52.10kJ·mol⁻¹)>UiO-66-Br(36.36kJ·mol⁻¹)>UiO-66-NH₂(34.03kJ·mol⁻¹)>UiO-66(19.04kJ·mol⁻¹);RDFs显示UiO-66-SO₃H中-SO₃H的H与水分子O最近距离1.58Å,UiO-66-2COOH等形成氢键网络,UiO-66-Br无。
5.-电导率测试结果-:303K、97%RH下,电导率:UiO-66-SO₃H(0.34×10⁻² S·cm⁻¹,Eₐ=0.27eV)>UiO-66-2COOH(0.10×10⁻² S·cm⁻¹,Eₐ=0.18eV)>UiO-66-NH₂(1.40×10⁻⁵ S·cm⁻¹,Eₐ=0.40eV)>UiO-66(7.54×10⁻⁶ S·cm⁻¹,Eₐ=0.44eV)>UiO-66-Br(2.23×10⁻⁷ S·cm⁻¹,Eₐ=0.78eV),前四者质子传输遵循Grotthuss机制,UiO-66-Br为载体机制。

总结:
1.-主要研究结果-:明确了不同官能团修饰的UiO-66-X的质子传导性能、与水分子相互作用及结构特性,得出电导率、-Qst等关键数据。
2.-创新突破-:首次将TG-MS用于研究MOFs质子传导中水分子作用,以同构UiO-66-X为平台系统调控质子传导性能。
3.-潜在意义-:为设计高性能质子传导MOFs提供思路,推动PEMFC领域新型材料发展。
Proton Conductivities in Functionalized UiO-66: Tuned Properties, Thermogravimetry-Mass and Molecular Simulation Analyses
文章作者:Fan Yang, Hongliang Huang, Xiayan Wang, Fan Li, Yuhan Gong, Chongli Zhong, Jian-Rong Li
DOI:10.1021/acs.cgd.5b01190
文章链接:https://pubs.acs.org/doi/10.1021/acs.cgd.5b01190
本文为科研用户原创分享用于学术宣传交流,具体内容请查阅上述论文,如有错误、侵权等请联系修改、删除。未经允许第三方不得复制转载。