首页 >
行业动态 > 通过计算研究探究SIFSIX-3-M(M=Fe、Co、Ni、Cu、Zn)中的CO₂吸附行为
通过计算研究探究SIFSIX-3-M(M=Fe、Co、Ni、Cu、Zn)中的CO₂吸附行为
摘要:
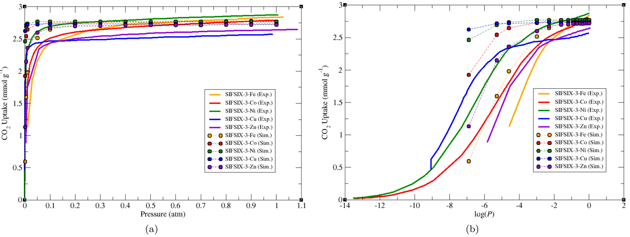
研究团队采用蒙特卡罗(MC)模拟与周期性密度泛函理论(DFT)结合的方法,研究SIFSIX-3-M(M=Fe、Co、Ni、Cu、Zn)系列杂化超微孔材料(HUMs)的CO₂吸附行为。巨正则蒙特卡罗(GCMC)模拟所得CO₂吸附等温线与实验值吻合良好,正则蒙特卡罗(CMC)模拟得到的CO₂吸附等温线热(Qₛₜ)也与实验值接近,且模拟重现了实验中CO₂ Qₛₜ的趋势:SIFSIX-3-Cu>SIFSIX-3-Ni>SIFSIX-3-Co>SIFSIX-3-Zn>SIFSIX-3-Fe。周期性DFT计算的CO₂吸附能进一步证实了该趋势和理论Qₛₜ的大小。研究认为,SIFSIX-3-M中CO₂ Qₛₜ的差异源于孔径和晶格参数不同,且CO₂ Qₛₜ可通过选择金属调控,范围为42-54 kJ·mol⁻¹。

研究背景:
1.行业问题和研究现状:大气CO₂浓度升高致全球变暖,现有胺吸收法捕集CO₂能耗高、成本高;金属有机材料(MOMs)中杂化超微孔材料(HUMs)如SIFSIX-3-M系列,因高CO₂选择性和Qₛₜ成为研究热点,但不同金属对其CO₂吸附性能的影响机制需深入探究。
2.本文创新:首次结合MC模拟与周期性DFT,系统研究SIFSIX-3-M全系列材料的CO₂吸附;揭示孔径和a/b晶格参数对CO₂ Qₛₜ的影响规律,证实通过选金属可调控CO₂吸附焓。
实验部分:
1.SIFSIX-3-Fe制备与CO₂吸附实验
-步骤:将2 mmol吡嗪(0.16 g)与1 mmol FeSiF₆·6H₂O(0.31 g)溶于20 mL甲醇,85℃加热3天;产物用甲醇交换3天(每天2次),过滤后75℃、动态压力<5 μmHg下 evacuation 15小时;用Quantachrome Autosorb IQ分析仪测278、298、318 K下的CO₂吸附等温线,通过克劳修斯-克拉佩龙方程算CO₂ Qₛₜ。
-结果:SIFSIX-3-Fe在298 K、0.10/1.0 atm下CO₂吸附量为2.43/2.83 mmol·g⁻¹,初始Qₛₜ为42 kJ·mol⁻¹。
2.MC模拟实验
-步骤:GCMC模拟用3×3×3晶胞,HUM原子固定,CO₂用刚性五位点极化模型,计算总势能(排斥/色散、静电、多体极化能);CMC模拟在不同CO₂分子数(1、3、6等)下进行,各负载量模拟1.0×10⁶步,通过势能均值除以分子数得Qₛₜ;均用MPMC代码执行。
-结果:GCMC模拟的CO₂吸附等温线与实验趋势一致,298 K、0.10 atm下模拟吸附量为2.65-2.75 mmol·g⁻¹;CMC模拟Qₛₜ与实验值吻合,且重现Qₛₜ趋势。
3.周期性DFT计算实验
-步骤:用VASP软件,PAW方法、PBE泛函和DFT-D2校正,先优化刚性晶胞中单个CO₂位置,再优化HUM-CO₂体系所有原子位置(晶格参数固定),按ΔE=E(HUM+CO₂)-E(HUM)-E(CO₂)算吸附能。
-结果:DFT计算的吸附能趋势与实验及MC模拟的Qₛₜ趋势一致,如SIFSIX-3-Cu吸附能为54.94 kJ·mol⁻¹,SIFSIX-3-Fe为41.44 kJ·mol⁻¹。
分析测试:
1.X射线晶体结构分析
-结果:SIFSIX-3-M晶格参数不同,a值:SIFSIX-3-Fe(7.1831 Å)>SIFSIX-3-Zn(7.1409 Å)>SIFSIX-3-Co(7.1026 Å)>SIFSIX-3-Ni(6.9807 Å)>SIFSIX-3-Cu(6.9186 Å);孔径:SIFSIX-3-Fe和SIFSIX-3-Zn均为3.84 Å,SIFSIX-3-Co为3.77 Å,SIFSIX-3-Ni为3.55 Å,SIFSIX-3-Cu为3.54 Å。
-揭示性质:晶格参数和孔径差异是影响CO₂吸附性能的关键结构因素。
2.BET比表面积与可及表面积分析
-结果:BET比表面积(m²·g⁻¹):SIFSIX-3-Ni(368)>SIFSIX-3-Fe(358)>SIFSIX-3-Cu(300)>SIFSIX-3-Zn(250)>SIFSIX-3-Co(223);可及表面积(m²·g⁻¹):SIFSIX-3-Fe(166)>SIFSIX-3-Zn(156)>SIFSIX-3-Co(129)>SIFSIX-3-Cu(63)>SIFSIX-3-Ni(62)。
-揭示性质:超微孔材料BET法测比表面积易有偏差,可及表面积更能反映材料实际孔结构对吸附的影响。
3.径向分布函数(g(r))与偶极分布分析
-结果:SIFSIX-3-Cu的g(r)中Si(HUM)…C(CO₂)最近邻峰在4.4 Å,其他材料多在4.6 Å;SIFSIX-3-Cu的CO₂诱导偶极分布峰更宽(0-0.65 D),峰值在0.16 D,其他材料峰在0-0.4 D,峰值约0.12 D。
-揭示性质:SIFSIX-3-Cu因 Jahn-Teller效应,孔径小、a/b晶格参数短,CO₂与孔壁作用更强。

总结:
1.主要研究结果:明确SIFSIX-3-M中CO₂ Qₛₜ趋势及影响因素,模拟与实验数据吻合良好,DFT计算证实结果可靠性。
2.创新突破:建立MC模拟与DFT结合的研究方法,揭示孔径和晶格参数对CO₂吸附的调控机制。
3.潜在意义:为设计高效CO₂捕集材料提供理论指导,推动HUMs在气体分离领域的应用。
Investigating CO₂ Sorption in SIFSIX-3-M (M = Fe, Co, Ni, Cu, Zn) through Computational Studies
文章作者:Katherine A. Forrest, Tony Pham, Sameh K. Elsaidi, Mona H. Mohamed, Praveen K. Thallapally, Michael J. Zaworotko, Brian Space
DOI:10.1021/acs.cgd.9b00086
文章链接:https://pubs.acs.org/doi/10.1021/acs.cgd.9b00086
本文为科研用户原创分享用于学术宣传交流,具体内容请查阅上述论文,如有错误、侵权等请联系修改、删除。未经允许第三方不得复制转载。