首页 >
行业动态 > 【SIFSIX-3-Ni】采用高抗撕裂黏合剂制备超高负载量MOF颗粒用于气体分离与储存
【SIFSIX-3-Ni】采用高抗撕裂黏合剂制备超高负载量MOF颗粒用于气体分离与储存
摘要:
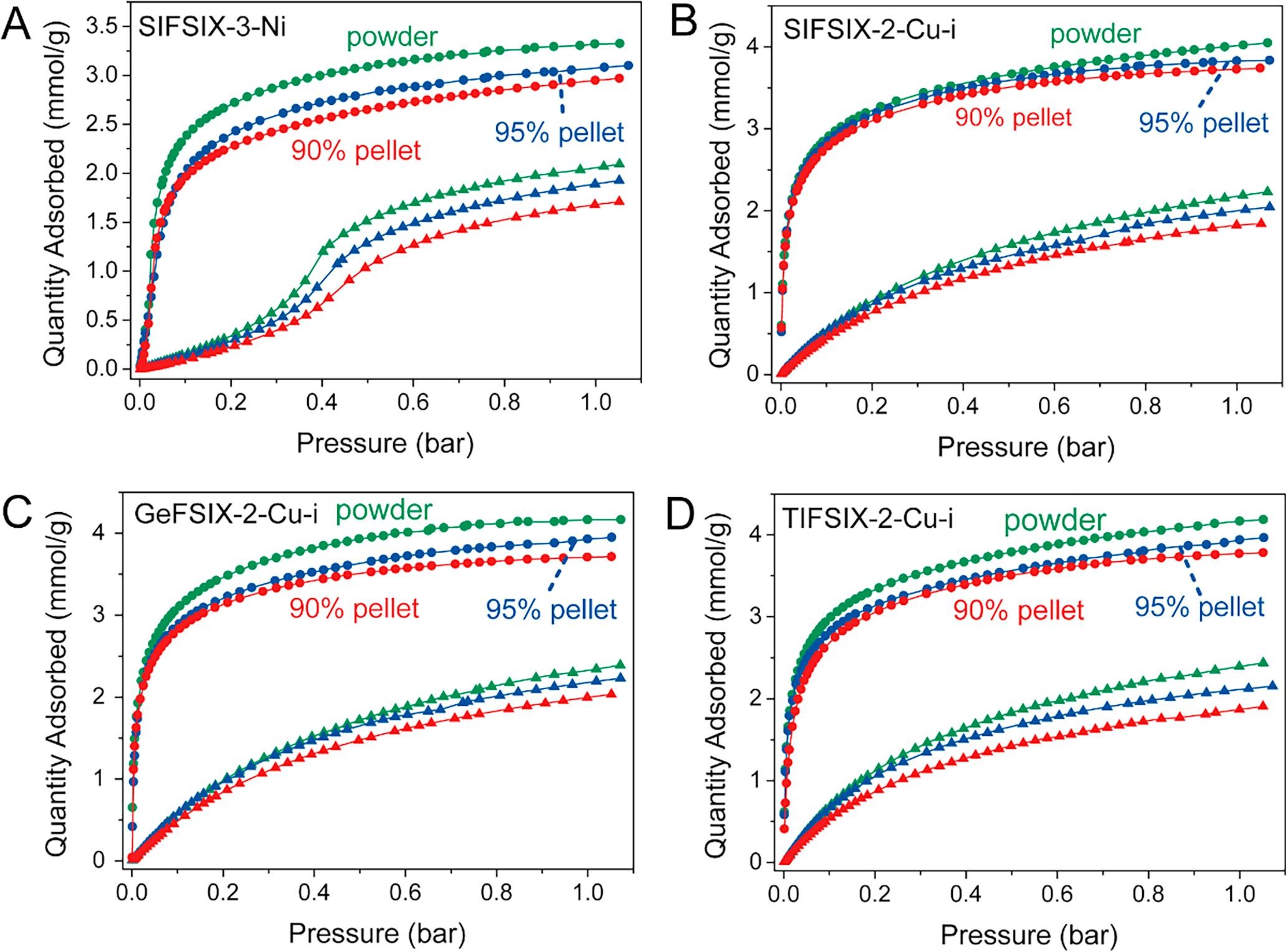
首次以高抗撕裂、高黏性的聚乙烯醇缩丁醛(PVB)为黏合剂,将4种阴离子柱撑超微孔MOF粉末(SIFSIX-3-Ni、SIFSIX-2-Cu-i、GeFSIX-2-Cu-i、TIFSIX-2-Cu-i)制成颗粒,MOF负载量最高达95%。造粒后,乙炔吸附容量降幅仅0.56%-0.93%,乙烯吸附容量降幅5.0%-12.5%,GeFSIX-2-Cu-i颗粒对1:99乙炔/乙烯的IAST选择性达116.4,较粉末提高35%。SIFSIX-3-Ni颗粒实现1:99乙炔/乙烯有效分离,首次报道2000 ppm下SIFSIX-3-Ni和GeFSIX-2-Cu-i颗粒的二氧化硫吸附量,且该方法适用于HKUST-1等其他典型MOF。

研究背景:
1.行业问题和研究现状:MOF虽在气体分离等领域表现优异,但脆性、非热塑性等特性限制工业化;现有造粒方法(如高压挤出、黏合剂造粒)易导致MOF吸附容量下降(如Cu-BTC挤出物丙烷等吸附量降63%),且黏合剂易堵塞孔隙。
2.本文创新:选用PVB为黏合剂,兼具强黏结力与高抗撕裂性,实现MOF超高负载(达95%);造粒后提升乙炔/乙烯选择性,且适用于多种MOF,解决传统造粒性能损失问题。
实验部分:
1.材料合成:合成7种MOF,如SIFSIX-3-Ni是将(NH₄)₂SiF₆、Ni(BF₄)₂与吡嗪的甲醇溶液85℃加热3天,洗涤后甲醇交换1天,真空干燥 degas。
2.MOF颗粒制备:配制8%PVB/乙醇溶液,取0.31g该溶液分次加入0.5g SIFSIX-3-Ni粉末,挤出成1-2mm颗粒,65℃加热24h;Mg-MOF-74等在氮气氛围下成型。
3.气体吸附与突破实验:用ASAP 2050测283K、298K下乙炔、乙烯、二氧化碳吸附等温线;2000ppm下测二氧化硫吸附量;不锈钢柱装填2.53g SIFSIX-3-Ni颗粒,He吹扫后通1:99乙炔/乙烯混合气,GC监测出口气体。
分析测试:
1.XRD与TGA:岛津XRD-6000(Cu Kα,λ=1.540598Å)测2θ=3-50°,显示颗粒结构稳定;Pyris 1 TGA(50-500℃,20℃/min)测分解温度约250℃,热稳定性不变。
2.SEM与BET:Hitachi S-3700N(10kV)观察到MOF晶体被PVB紧密结合;77K氮气吸附,SIFSIX-3-Ni粉末BET 360m²/g,90%负载颗粒降为297m²/g,降幅17.5%。
3.吸附性能测试:298K、1bar下,GeFSIX-2-Cu-i 95%负载颗粒二氧化硫吸附量2.25mmol/g;Mg-MOF-74粉末二氧化碳吸附量6.43mmol/g,90%负载颗粒5.71mmol/g。
4.机理揭示:MOF颗粒对乙炔的吸附热(如GeFSIX-2-Cu-i为50.6kJ/mol)约为乙烯的2倍,故乙炔吸附受黏合剂影响更小,选择性提升。

总结:
1.主要研究结果:PVB黏合剂实现MOF超高负载造粒,提升乙炔/乙烯选择性,颗粒在二氧化硫、二氧化碳吸附中表现优异,且可循环使用。
2.创新突破:首次将阴离子柱撑超微孔MOF制成高负载颗粒,PVB黏合剂兼顾黏结性与MOF性能保留,适用多种MOF。
3.潜在意义:推动MOF工业化应用,为气体分离与储存提供高效材料与方法。
Shaping of ultrahigh-loading MOF pellet with a strongly anti-tearing binder for gas separation and storage
文章作者:Jieyi Zheng, Xili Cui, Qiwei Yang, Qilong Ren, Yiwen Yang, Huabin Xing
DOI:10.1016/j.cej.2018.08.119
文章链接:https://www.sciencedirect.com/science/article/pii/S1385894718315936
本文为科研用户原创分享用于学术宣传交流,具体内容请查阅上述论文,如有错误、侵权等请联系修改、删除。未经允许第三方不得复制转载。