首页 >
行业动态 > 多孔MIL-68(Fe)固体的合成、结构、表征及氧化还原性质
多孔MIL-68(Fe)固体的合成、结构、表征及氧化还原性质
摘要:
本文制备了一种新的铁(III)基金属有机框架MIL-68(Fe),化学式为Fe(OH)(BDC)·(dmf)₁.₁,通过铁(III)盐与对苯二甲酸在N,N'-二甲基甲酰胺中酸性条件下反应制得。利用X射线衍射、热重分析、氮吸附、⁵⁷Fe穆斯堡尔谱和电化学锂嵌入等手段对其结构和性质进行研究,发现该固体具有多孔性和氧化还原活性。

研究背景:
1. 行业问题和研究现状:金属有机框架(MOFs)在多个领域有潜在应用,但Fe基MOFs中仅MIL-53(Fe)、MIL-88B(Fe)等被报道,其结构与性能关系待深入研究,且现有Fe基MOFs在锂电应用中容量有限。
2. 本文创新:首次合成并系统表征MIL-68(Fe),探究其作为锂离子电池正极材料的性能,揭示结构(如刚性框架、三角形孔道)对其性质的影响。
实验部分:
1. 合成实验:将30 mmol三氯化铁六水合物、15 mmol氢氟酸、3 mmol盐酸溶于300 mL DMF,100℃反应120 h,过滤后用水和丙酮洗涤,DMF中100℃加热18 h提纯,产率67%。
2. 性能测试:
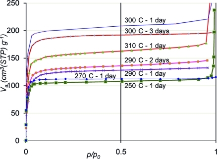
- 氮吸附实验:77 K下测试,300℃活化1天,BET比表面积达665(10) m²/g。
- 锂电性能测试:以MIL-68(Fe)为正极,Li为负极,1 M LiPF₆/EC-DMC为电解液,C/10倍率下每Fe原子可嵌入0.35 Li,容量30 mAh/g;C/50倍率下容量40 mAh/g。
分析测试:
1. X射线衍射:正交晶系Cmcm空间群,晶胞参数a=21.301(1) Å、b=36.873(2) Å、c=6.8883(3) Å,含微量MIL-53(Fe)杂质。
2. 红外光谱:1700 cm⁻¹(游离H₂BDC的C=O)和1660 cm⁻¹(DMF的C=O)有吸收,活化后仍有微量DMF残留。
3. 热分析:热重分析显示低于110℃失去大部分DMF,250℃完全脱附,300-320℃结构坍塌生成Fe₂O₃;X射线热衍射证实此稳定性。
4. 穆斯堡尔谱:300 K下真空环境中,两种Fe³⁺位点的同质异能移为0.35和0.39 mm/s,四极分裂为0.64和1.17 mm/s,均为高自旋八面体构型。
5. 结果揭示:MIL-68(Fe)为刚性框架,含三角形和六边形孔道,溶剂残留及小孔道限制导致比表面积低于理论值;孔结构影响锂嵌入性能,容量低于MIL-53(Fe)。

总结:
1. 主要研究结果:合成了MIL-68(Fe),确定其结构与热稳定性,BET比表面积665 m²/g,锂电容量30-40 mAh/g。
2. 创新突破:首次报道MIL-68(Fe)的完整表征及锂电性能,阐明孔结构对其性质的影响。
3. 潜在意义:为Fe基MOFs的结构设计及在储能领域应用提供参考。
Synthesis, Structure, Characterization, and Redox Properties of the Porous MIL-68(Fe) Solid
文章作者:Alexandra Fateeva, Patricia Horcajada, Thomas Devic, Christian Serre, Jérôme Marrot, Jean-Marc Grenèche, Mathieu Morcrette, Jean-Marie Tarascon, Guillaume Maurin, Gérard Férey
DOI:10.1002/ejic.201000486
文章链接:https://chemistry-europe.onlinelibrary.wiley.com/doi/10.1002/ejic.201000486
本文为科研用户原创分享用于学术宣传交流,具体内容请查阅上述论文,如有错误、侵权等请联系修改、删除。未经允许第三方不得复制转载。