首页 >
行业动态 > 【Ca-MOF材料】利用钙基金属-有机框架HIAM-203分离二甲苯异构体
【Ca-MOF材料】利用钙基金属-有机框架HIAM-203分离二甲苯异构体
摘要:
华南理工大学夏启斌&深圳职业技术大学王浩等报道的本篇文章(Angew. Chem. Int. Ed. 2023, 62, e202310672)中研究了一种基于钙的金属-有机框架材料(HIAM-203)在分离对二甲苯(pX)与其异构体邻二甲苯(oX)和间二甲苯(mX)方面的高效性能。研究发现,HIAM-203在30°C时可吸附所有三种异构体,但oX和mX的吸附动力学显著慢于pX;在120°C时,oX和mX被完全排除,而pX仍可被吸附。通过多组分柱突破实验和气液相吸附实验验证了HIAM-203的分离能力,理论计算揭示了吸附机制。

研究背景:
(1)二甲苯异构体是化工领域重要的有机原料,尤其是对二甲苯(pX)用于生产聚酯和聚酰胺。然而,由于二甲苯异构体的物理化学性质非常相似,分离pX与oX和mX是一个巨大的挑战,传统蒸馏方法效率低下,而现有的吸附剂选择性不足,限制了吸附分离技术的整体效率。
(2)目前,分离二甲苯异构体的主要方法包括结晶和吸附。结晶法回收率低,而吸附分离法更受关注。近年来,金属-有机框架(MOFs)因其结构多样性和可调节的孔径而被认为具有分离二甲苯异构体的潜力。已有研究通过调控MOFs的吸附位点、结构柔性和孔径实现了部分分离效果,但完全分离pX与oX和mX的吸附剂仍较为稀缺。
(3)本文作者提出了一种钙基金属-有机框架(HIAM-203),通过其温度依赖性和吸附物依赖性的吸附行为实现了二甲苯异构体的高效分离。在120°C时,HIAM-203仅吸附pX,完全排除oX和mX,展现出极高的选择性。此外,通过实验和理论计算相结合,揭示了其吸附机制,为设计新型柔性MOFs提供了理论依据。
实验和分析:
(1)材料合成与关键表征
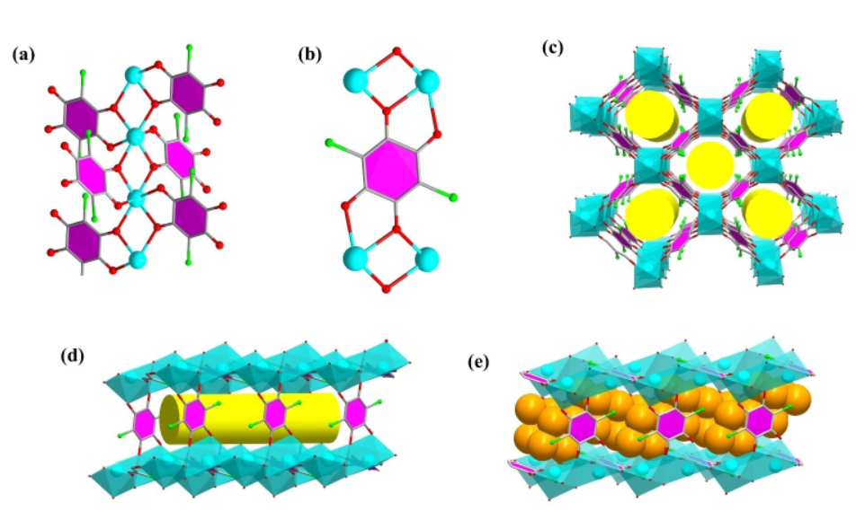
-合成方法:HIAM-203通过溶剂热法合成,以氯化钙和氯醌酸为原料,在乙醇中反应2天,得到紫色条状晶体。
-表征结果:粉末X射线衍射(PXRD)确认了材料的相纯度;热重分析(TGA)表明材料在150°C以上可完全脱除溶剂;氮气吸附-脱附等温线显示其比表面积为480 m²/g,孔容为0.21 cm³/g,孔径分布集中在6 Å。
(2)性能结果原因分析
-实验结果:在30°C时,HIAM-203对三种异构体的吸附量相近,但吸附动力学差异显著,pX吸附速率快,而oX和mX吸附速率慢。在120°C时,oX和mX被完全排除,而pX吸附量仍较高。
-理论计算:通过DFT计算发现,pX与框架的结合能最高(1.627 eV),且扩散能垒最低,表明其吸附优先级最高。框架的柔性和孔道的尺寸选择性是实现高效分离的关键。
总结:
(1)主要研究结果
HIAM-203在30°C时可通过动力学控制实现二甲苯异构体的部分分离,在120°C时通过尺寸排阻完全分离pX与oX和mX,展现出极高的选择性和吸附容量。
(2)创新突破
本文首次报道了一种钙基MOF在高温下通过尺寸排阻实现二甲苯异构体的完全分离,其选择性远高于现有吸附剂,并通过理论计算揭示了吸附机制。
(3)潜在意义和引用
该研究为设计新型柔性MOFs提供了理论依据,有望推动化工领域中复杂异构体分离技术的发展。
Separating Xylene Isomers with a Calcium Metal-Organic Framework
文章作者:Liang Yu, Jian Zhang, Saif Ullah, Jinze Yao, Haoyuan Luo, Jiajin Huang, Qibin Xia, Timo Thonhauser, Jing Li, Hao Wang
DOI:10.1002/anie.202310672
文章链接:https://onlinelibrary.wiley.com/doi/10.1002/anie.202310672
本文为科研用户原创分享用于学术宣传交流,具体内容请查阅上述论文,如有错误、侵权等请联系修改、删除。未经允许第三方不得复制转载。