首页 >
行业动态 > 【POM@MOF】阴离子排斥的聚氧金属簇@金属有机框架改性隔膜用于无枝晶和高倍率锂电池
【POM@MOF】阴离子排斥的聚氧金属簇@金属有机框架改性隔膜用于无枝晶和高倍率锂电池
摘要:
华中科技大学李顶根、许恒辉和黄云辉老师等报道的本篇文章(Interdisciplinary Materials. 2024)中针对商用聚烯烃隔膜在锂电池中存在的锂枝晶无控生长和安全事故问题,提出了一种创新方法,即通过金属-有机框架(MOF)限域的聚氧金属簇(POM)改性传统隔膜。POM通过静电排斥限制阴离子扩散,同时促进锂离子在MOF纳米通道中的传输。此外,MOF限域有效减轻了POM引起的电解液酸化。实验结果表明,改性隔膜具有优异的锂离子导电性(0.78 mS cm−1)和高的锂离子传输数(tLi+,0.75),展现出良好的热稳定性,即使在150°C下也不会显著收缩。使用改性隔膜的锂对称电池可稳定循环1000小时,显示出快速的锂离子传输和均匀的沉积。此外,改性隔膜还显示出良好的工业制造适应性,4Ah NCM811/石墨软包电池在C/3下350次循环后容量保持率为97%,突出了其在实际应用中的潜力。

研究背景:
1)商用聚烯烃隔膜的锂电池存在锂枝晶无控生长和安全事故问题,由于其低锂离子传输数和低熔点。
2)已有研究通过在隔膜上涂覆Al2O3、SiO2和TiO2等涂层提高热稳定性,但这些方法可能会阻碍锂离子传输。探索了LLZTO、LAGP和LATP等快速锂离子导体用于隔膜改性,但它们的制备方法复杂且成本高。
3)本文作者引入了POM化学,通过MOF限域POM提高隔膜的离子选择性,避免了POM与锂的直接接触,防止了POM引起的电解液降解。

实验部分:
1. UIO66和PW12@UIO66纳米颗粒的制备:
1) 将233 mg的氧化锆(ZrCl4)和166 mg的对苯二甲酸(BDC)混合在40 mL的N,N-二甲基甲酰胺(DMF)和乙酸(HAc)的混合溶液中(v/v = 10:1),在120°C下加热24小时。
2) 反应后,沉淀物用DMF洗涤两次,然后用乙醇洗涤三次,最后在130°C下干燥过夜以去除残留溶液。
3) 为了制备PW12@UIO66,将233 mg的ZrCl4和166 mg的BDC混合在40 mL的DMF和HAc混合溶液中,随后加入300 mg的磷钨酸(PW12)并搅拌2小时,后续的合成、离心和干燥过程与UIO66相同。
2. 隔膜的制备:
1) 将PW12@UIO66或UIO66(80 wt%)与聚偏二氟乙烯(PVDF)(20 wt%)在N-甲基-2-吡咯烷酮(NMP)中混合,涂覆在聚丙烯(PP)基底上。
2) 将涂覆的PP在60°C下干燥过夜,得到标记为PW12@UIO66-PP或UIO66-PP的复合隔膜。
3. 电化学性能测试:
1) 在充满氩气的手套箱中,使用1 M LiPF6在EC/DEC(1:1体积比)电解液组装硬币电池和软包电池。
2) 将LiFePO4(LFP)粉末、Super-P和PVDF以8:1:1的质量比在NMP中混合,形成浆料后涂覆在涂有碳的铝箔上,在70°C下干燥24小时。
3) NCM811正极通过类似过程制备,正极材料负载量为7 mg cm⁻²。
4) 使用LAND电池测试系统评估电池的电化学性能。
分析测试:
1. 样品形貌学表征:使用SEM(Quanta650 FEG)对材料的形貌进行表征,结果显示PW12@UIO66呈现八面体形状。
2. 晶体结构分析:使用XRD(PANalytical B.V.)对MOF纳米颗粒和隔膜的晶体结构进行研究,PW12@UIO66的XRD图谱与UIO66匹配,表明PW12的引入未改变UIO66的晶体结构。
3. 比表面积分析:使用BeiShiDe 3H-2000PM1仪器分析UIO66和PW12@UIO66的比表面积,分别为758.3 m²/g和648.6 m²/g。
4. 化学结构分析:使用FTIR(Nicolet iS50R)对粉末的化学结构进行分析,PW12添加后在1081 cm⁻¹处出现了新的P═O不对称振动峰。
5. Zeta电位测试:使用Malvern Zetasizer Nano仪器获得纳米颗粒的zeta电位,PW12、PW12@UIO66和UIO66的zeta电位分别为-9.56 mV、-3.76 mV和2.91 mV。
6. XPS分析:使用Kratos AXIS-ULTRADLD-600W仪器对MOFs和Li阳极的SEI进行XPS分析,确认了PW12@UIO66的成功制备。
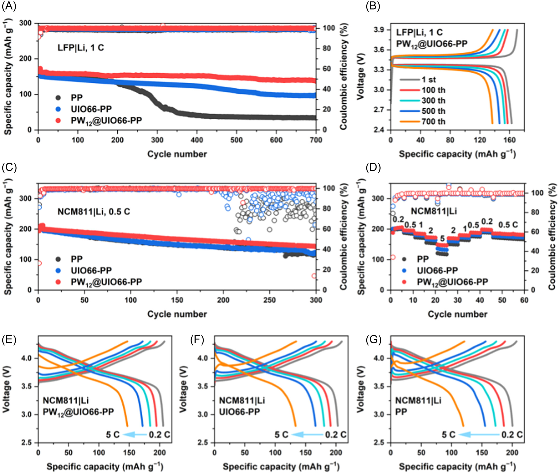
7. 离子电导率测试:PP、UIO66-PP和PW12@UIO66-PP的锂离子电导率分别为0.33、0.5和0.78 mS cm⁻¹。
8. 热稳定性测试:PW12@UIO66在150°C下保持原始形状,表现出良好的热稳定性,而PP隔膜在150°C下发生显著热收缩变形。
9. 锂枝晶抑制测试:使用Li//Li电池测试隔膜对锂枝晶的抑制效果,PW12@UIO66-PP在1000小时循环后显示出稳定的小过电位(100 mV)。
10. 电化学阻抗谱(EIS)测试:使用EIS方法在不锈钢//不锈钢电池中测量不同隔膜的电导率,PW12@UIO66-PP展现出较高的锂离子电导率。
11. 密度泛函理论(DFT)计算:设置截止能量为500 eV,使用单k点网格对布里渊区进行采样,对Li+与EC、DEC、UIO66和PW12的结合能进行计算,PW12与锂离子的结合能为-4.72 eV,表明PW12能有效促进锂离子的脱溶过程并加速Li+传输。
12. 超声波成像:使用超声波电池扫描仪捕获软包电池的超声波图像,评估复合隔膜与电极之间的接触情况以及电池循环过程中的气体生成行为。
总结:
本文通过将POM@MOF应用于商用PP隔膜,有效抑制了锂枝晶的成核和生长,同时保持了优异的热稳定性。改性隔膜展现出0.78 mS cm⁻¹的高锂离子电导率和0.75的高锂离子传输数。此外,改性隔膜在150°C下表现出良好的热稳定性,锂对称电池可稳定循环超过1000小时,显示出低电压极化。硬币电池和软包电池均展现出卓越的循环稳定性和倍率性能。这种POM@MOF改性策略为实现无枝晶和高安全锂电池提供了新的可能性。




展望:
1) 可以进一步探索POM@MOF改性隔膜在不同类型锂电池中的应用,以及其在实际电池制造中的大规模应用潜力。
2) 还可以研究POM@MOF改性隔膜的长期稳定性和在极端条件下的性能表现,以进一步优化和改进材料的性能。
Anion-repulsive polyoxometalate@MOF-modified separators for dendrite-free and high-rate lithium batteries
文章作者:Yi Liu, Tianyi Hou, Wei Zhang, Bin Gou, Faqiang Li, Haonan Wang, Xin Deng, Dinggen Li, Henghui Xu, Yunhui Huang
DOI:10.1002/idm2.12225
文章链接:https://onlinelibrary.wiley.com/doi/full/10.1002/idm2.12225
本文为科研用户原创分享上传用于学术宣传交流,具体内容请查阅上述论文,如有错误、侵权等请联系修改、删除。未经允许第三方不得复制转载。