实现拓扑自旋玻璃的自旋抑制化学设计
摘要:
Massachusetts Institute of Technology的Danna E. Freedman等报道的本篇文章(J. Am. Chem. Soc. 2024, 146, 42, 29040–29052)中介绍了一种新的方法,通过在改进的六角晶格上诱导磁性挫败来实现拓扑自旋玻璃。作者通过精确的化学合成,创造了两种系统:(1)拓扑自旋玻璃和(2)低温交换偏置的挫败自旋倾斜磁体。这一成果是通过金属-有机框架(MOF)平台Ni3(pymca)3X3(NipymcaX,其中pymca = 嘧啶-2-羧酸盐,X = Cl, Br)实现的。通过调节反铁磁(AFM)和铁磁(FM)最近邻相互作用,作者设计了这种非传统的磁性晶格。NipymcaCl和NipymcaBr两种材料在单离子各向异性上的差异导致了它们各自独特的磁性能。NipymcaCl是一种拓扑自旋玻璃,而NipymcaBr是一种罕见的低温交换偏置的挫败磁体。密度泛函理论(DFT)计算和蒙特卡洛(MC)模拟支持了由于AFM和FM相互作用交替而产生的磁性挫败。这些计算使作者能够确定基态自旋配置以及相对于典型的kagome和三角晶格的自旋-自旋相关性的分布。
研究背景:
1)在凝聚态物理学中,模式化自旋以产生集体行为是核心问题。物理学家开发了包括制造磁性纳米结构和精确层叠材料的技术,特别是为了产生挫败晶格。
2)大多数关于挫败自旋物理的研究集中在具有自然发生晶格的材料上,近期的研究探索了冷原子或制造系统,如磁性纳米结构。
3)作者提出了一种化学方法,即使用金属-有机框架(MOF)基础合成,允许设计构建新材料。通过混合连接方法,实现了AFM和FM相互作用的交替,这是通过使用双齿有机配体实现AFM交换和双齿叠氮基配体实现FM交换来实现的。

实验部分:
1. 合成Ni3(pymca)3X3·nH2O (NipymcaX,X = Cl 或 Br):
1) 将Ni(NO3)2·6H2O、NiCl2·6H2O、2-氰基嘧啶、NiBr2和KBr按照化学计量比混合,作为反应物。
2) 在DMF和H2O混合溶剂中(例如50% DMF:50% H2O),将上述反应物混合并转移到130°C的烘箱中反应21小时。
3) 反应结束后,通过真空过滤收集生成的绿色板状晶体,并用H2O、DMF和MeOH进行洗涤,然后在室温下干燥。
2. 晶体结构分析:
1) 使用X射线单晶衍射仪对NipymcaCl和NipymcaBr的单晶进行数据收集。
2) 使用CrystaLisPro、SHELXT和OLEX2软件进行晶体结构的解析和精修。
3. 磁性质测量:
1) 使用Quantum Design的PPMS仪器对多晶样品进行直流磁化率(χMT)测量,温度范围从1.8 K至300 K。
2) 对样品进行场冷(FC)和零场冷(ZFC)磁化率测量,以及交流磁化率测量,以探测材料的磁性行为。
分析测试:
1. X射线粉末衍射(XRD):
- NipymcaCl和NipymcaBr的XRD数据显示了特征的衍射峰,确认了样品的晶体结构。具体数据包括晶格参数和衍射角等。
2. X射线光电子能谱(XPS)结果:
- NipymcaCl和NipymcaBr的XPS数据显示了Ni 2p、Cl 2p和Br 3p的结合能和半高宽(FWHM)值。例如,NipymcaCl中Ni 2p3/2的结合能为854.00 eV,FWHM为2.09 eV;NipymcaBr中Ni 2p3/2的结合能为854.04 eV,FWHM为2.30 eV。
3. 热重分析(TGA)结果:
- NipymcaCl的TGA结果显示,在100°C和155°C处有质量损失,分别对应于H2O和DMF的去除。H2O含量为2.112 mmol/f.u.,DMF含量为0.04351 mmol/f.u.。
- NipymcaBr的TGA结果显示,在100°C和165°C处有质量损失,分别对应于H2O和DMAc的去除。H2O含量为1.559 mmol/f.u.,DMAc含量为0.03950 mmol/f.u.。
4. 感应耦合等离子体光学发射光谱(ICP-OES)分析结果:
- NipymcaCl的ICP-OES分析显示Ni浓度为108.52 ppm,Cl浓度为302.11 ppm。
- NipymcaBr的ICP-OES分析显示Ni浓度为115.06 ppm,Br浓度为395.18 ppm。
5. 傅里叶变换红外光谱(FTIR)结果:
- NipymcaCl和NipymcaBr的FTIR光谱显示了特征的振动模式。
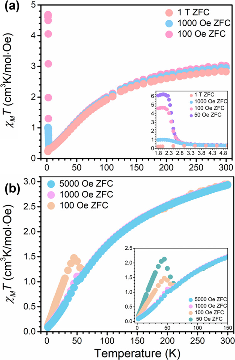
6. 磁化率测量结果:
- NipymcaCl的磁化率测量显示,在1.8 K至300 K范围内,χMT值与三个未配对的S = 1中心一致,χMT ≈ 3 cm3K/mol·Oe。
- NipymcaBr的磁化率测量显示,在1.8 K至300 K范围内,χMT值与三个未配对的S = 1中心一致,χMT ≈ 3 cm3K/mol·Oe。
7. 磁滞回线测量结果:
- NipymcaBr的磁滞回线测量显示,矫顽力(Hc)为27 Oe,剩余磁化(Mr)为0.00026 μB/mol。
8. 热容量测量结果:
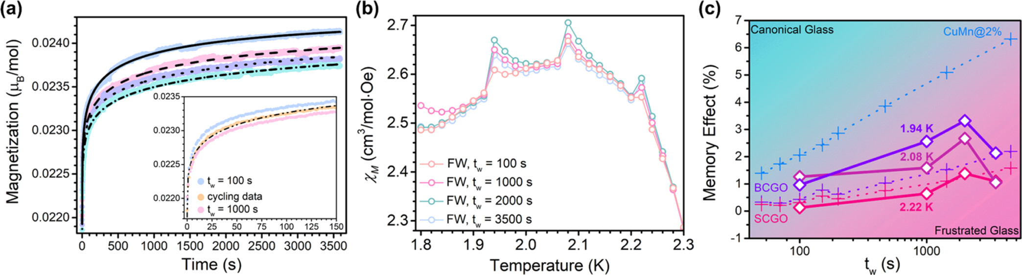
- NipymcaCl的热容量测量显示,在1.8 K至200 K范围内,Cp/T值在2.36 K以下线性增加,表明存在自旋玻璃行为。
- NipymcaBr的热容量测量显示,在1.8 K至200 K范围内,Cp/T值在60 K以下线性增加,表明存在自旋挫败行为。
总结:
本文通过化学设计在改进的六角晶格上诱导磁性挫败,成功设计了两种新材料NipymcaCl和NipymcaBr。这些材料通过选择性化学修饰卤化物连接体来调节FM相互作用,展现出独特的磁性能。NipymcaCl表现出拓扑自旋玻璃行为,而NipymcaBr显示出低温交换偏置。DFT和MC计算支持实验观察到的挫败物理,MC模拟还提供了基态自旋结构和有限温度自旋分布的见解。




展望:
本文的科研成果为拓扑自旋玻璃和磁性挫败材料的研究提供了新的视角和材料平台。未来研究可以进一步探索这些材料的单层和单晶磁扭研究,以更好地理解磁性各向异性的影响,并为材料优化和未来器件制造提供指导。此外,通过改变连接体的身份,可以进一步微调耦合强度J1和J2,为设计具有奇异自旋物理的新型磁性材料提供了可能性。
Chemical Design of Spin Frustration to Realize Topological Spin Glasses
文章作者:Stephanie M. Amtry, Arthur C. Campello, Christopher L. Tong, Danilo S. Puggioni, James M. Rondinelli, Young S. Lee, and Danna E. Freedman*
DOI:10.1021/jacs.4c10113
文章链接:https://pubs.acs.org/doi/pdf/10.1021/jacs.4c10113
本文为科研用户原创分享上传用于学术宣传交流,具体内容请查阅上述论文,如有错误、侵权等请联系修改、删除。未经允许第三方不得复制转载。
选择分类