首页 >
行业动态 > 【Heptazine-COF】基于共价三嗪/七嗪框架材料的羟基自由基介导光催化Baeyer-Village氧化反应
【Heptazine-COF】基于共价三嗪/七嗪框架材料的羟基自由基介导光催化Baeyer-Village氧化反应
1. 摘要:
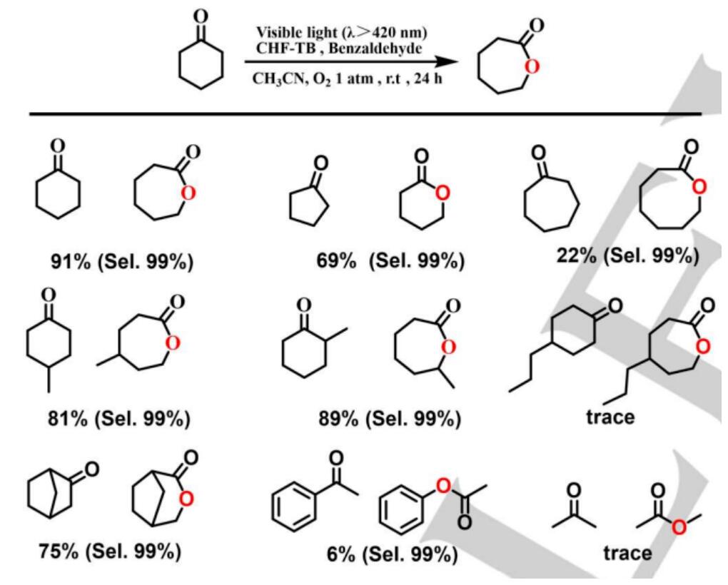
本研究开发了一种基于共价三嗪/七嗪框架(CTF-TB/CHF-TB)的有机光催化系统,实现了在温和条件下通过级联反应途径将酮类转化为相应的内酯/酯的Baeyer-Villiger氧化反应。实验数据和理论计算表明,七嗪/三嗪单元能够“螯合”并分解原位生成的H2O2生成羟基自由基(·OH)。与主要涉及高温下金属活化的常规方法相比,本研究中生成的·OH能够轻易裂解苯甲醛的C-H键,形成驱动后续连续过程的活性中间体:O2 → H2O2 → ·OH → Ph-CO• → Ph-COOO•。通过采用这种光催化过程,在室温下将环己酮氧化为ε-己内酯,获得了91%的收率和超过99%的选择性。这一性能与最先进的催化剂相当,且CHF-TB催化剂展现出了令人印象深刻的可重复使用性,在连续5次运行后仍保持高产率。

2. 研究背景:
1)行业背景:ε-己内酯主要用作可生物降解塑料的单体,广泛应用于医药、精细化学品、合成树脂和薄膜等行业。目前,从环己酮生产ε-己内酯的主要方法涉及Baeyer-Villiger过程的氧化重排。
2)现有方案:现有的B-V氧化方法使用各种氧化剂,有机过酸是一个经典的例子。然而,这些方法存在诸如高爆炸风险和副产品处理挑战等显著缺点,迫切需要更安全、更环保的氧化系统。
3)本文创新:本研究在其他学者的基础上,提出了一种新的策略,通过在高结晶CTFs中锁定共平面性,以加速激子分离和促进电荷载流子的分离和迁移,从而提升光催化H2O2的效率。
3. 实验部分:
1)光催化剂的制备:作者通过Friedel-Crafts反应从商业化的原料出发,使用1,3,5-三苯基苯(TB)作为电子供体,三氯七嗪/三聚氰氯作为电子受体,成功制备了CTF-TB和CHF-TB两种光催化剂。这一过程证明了聚缩合反应的可行性,并且以较高的产率(CTF-TB为83%,CHF-TB为89%)得到了棕黄色粉末状的催化剂。
2) 结构表征实验:通过傅里叶变换红外光谱(FTIR)、X射线光电子能谱(XPS)和固体核磁共振(NMR)等技术对催化剂的化学结构进行了详细的表征。FTIR光谱确认了七嗪单元成功整合到CHF-TB中,而XPS测量揭示了CHF-TB在C1s光谱中的峰,代表了不同化学环境下的碳原子。
3) 光物理性质表征:紫外-可见漫反射光谱(UV-DRS)用于研究CHF-TB和CTF-TB的光学性质和能带结构。CHF-TB的光学带隙为2.14 eV,CTF-TB为2.16 eV,这些结果与理论计算一致。
4) 光催化机制研究:通过一系列控制实验、原位表征、电化学测试和同位素标记研究,结合DFT计算,验证了CTFs中七嗪/三嗪单元能够“螯合”并分解原位生成的H2O2生成羟基自由基(·OH)的机制。
4. 分析测试:
1)结构表征:X射线粉末衍射(PXRD)确认了所有合成聚合物的非晶性质,扫描电子显微镜(SEM)图像显示了均匀分布的球形颗粒,提供了较大的表面积以增强与底物的接触。
2) 比表面积和孔隙结构分析:氮气吸附等温线显示CHF-TB和CTF-TB具有微孔特征,BET比表面积分别为1152和904 m²/g。孔径分布分析显示CHF-TB和CTF-TB的主要孔径分别为1.43和1.31 nm。
3) 光学性质表征:UV-DRS用于研究CHF-TB和CTF-TB的光学性质,发现CHF-TB具有更强的电子亲和力,导致在可见光吸收范围红移,光学带隙变窄。
4) 电子-空穴分离效率:通过Mott-Schottky曲线计算了CHF-TB和CTF-TB的最低未占据分子轨道(LUMO)水平,表明CHF-TB在分离光生电子-空穴方面具有更高的效率。
5) 光催化活性测试:在光诱导的B-V氧化反应中,CHF-TB在室温下将环己酮转化为ε-己内酯,获得了91%的收率,这一性能与最先进的催化剂相当。
6) 光催化机制的进一步研究:通过原位电子顺磁共振(EPR)分析和荧光控制实验,证实了CHF-TB能够将苯甲醛转化为C6H5CO•和C6H5COOO•自由基,这些自由基在光照和O2下引发后续反应。
7) 催化剂的稳定性测试:通过连续5次反应循环后,CHF-TB的收率仍高达83%,表明其具有良好的稳定性。
5. 总结:
1) 本研究开发了一种基于共价三嗪/七嗪框架材料的有机光催化系统,用于在温和条件下通过级联反应途径实现Baeyer-Villiger氧化反应。
2) 实验和理论计算表明,七嗪/三嗪单元能够有效地“螯合”并分解原位生成的H2O2生成羟基自由基(·OH),这些自由基能够裂解苯甲醛的C-H键,形成活性中间体,进而促进B-V氧化反应。
3) 在室温下,该系统将环己酮氧化为ε-己内酯,获得了91%的收率和超过99%的选择性。此外,CHF-TB催化剂在连续5次运行后仍保持高产率,展现出良好的可重复使用性。
4) 这一工作为通过非金属有机催化剂在可见光照射下温和地生产ε-己内酯提供了新的途径,未来的研究可以探索该系统在其他酮类化合物的氧化反应中的应用



展望:
1)目前的光催化系统需要使用苯甲醛作为牺牲剂,未来的研究可以探索无牺牲剂的光催化系统,以降低成本并提高反应的原子经济性。
2)虽然CHF-TB催化剂展现出良好的稳定性,但其长期稳定性和在不同条件下的性能仍需进一步研究。
3)本研究的光催化系统主要针对环己酮的氧化,未来的研究可以探索该系统在其他酮类化合物的氧化反应中的应用,以拓宽其应用范围。
4)本研究中使用的共价三嗪/七嗪框架的合成过程较为复杂,未来研究可以考虑使用更简单易得的单体,以降低成本并提高合成效率。
Hydroxyl Radical Mediated Heterogeneous Photocatalytic Baeyer-Villiger Oxidation overCovalent Triazine/Heptazine-Based Frameworks
文章作者:Juntao Tang, Zhiwei Jiang, Zhu Gao, Qiujian Xie, Shuai Gu, Anqi Chen, Jiayin Yuan, WenLi, Ruiren Tang, Guipeng Yu*
DOI:10.1002/anie.202416879
文章链接:https://onlinelibrary.wiley.com/doi/abs/10.1002/anie.202416879
本文为科研用户原创分享上传用于学术宣传交流,具体内容请查阅上述论文,如有错误、侵权等请联系修改、删除。未经允许第三方不得复制转载。