首页 >
行业动态 > 【MOF-74金属簇原位合成】通过多变量金属-有机框架调控表面配体与金25纳米簇的相互作用以增强催化性能
【MOF-74金属簇原位合成】通过多变量金属-有机框架调控表面配体与金25纳米簇的相互作用以增强催化性能
摘要
1) 中科大江海龙老师等发表的文章(National Science Review, 2024, 11, 9, nwae095)中报道了一种将原子级精确的金25(Cys)18纳米簇封装到多变量金属-有机框架(MOFs)中的策略,制备了Au25@M-MOF-74 (M = Zn, Ni, Co, Mg)。
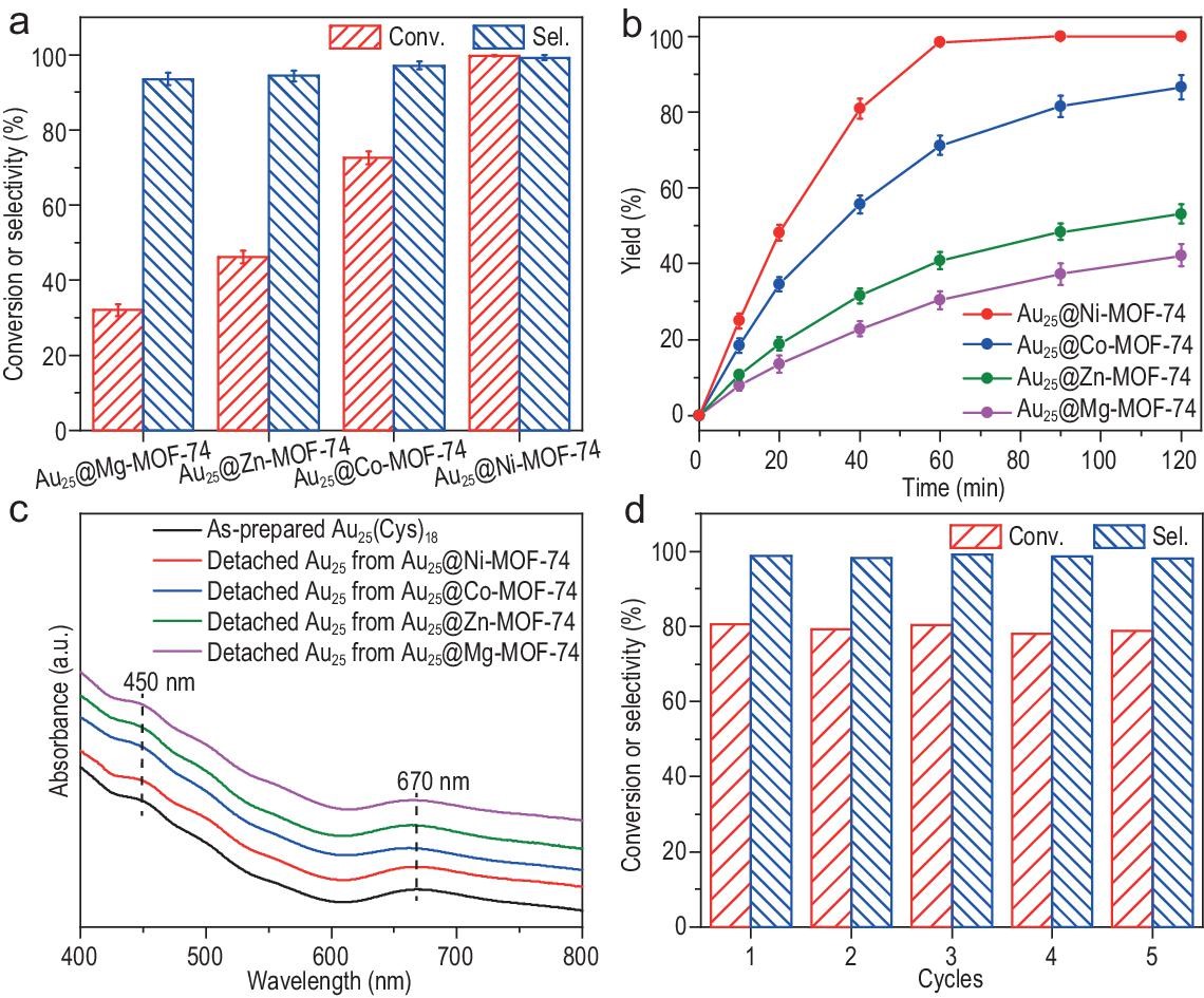
2) 通过MOF的包封作用,Au25纳米簇在2-硝基苯甲腈的分子内级联反应中表现出显著增强的活性和稳定性。值得注意的是,M-MOF-74中的金属节点与Au25(Cys)18之间的相互作用能够抑制金25纳米簇表面配体的自由振动,从而提高金位点的可接近性;
3) 同时,更强的相互作用导致Au25(Cys)18内核的电子密度增加和核心膨胀。因此,活性表现出Au25@Ni-MOF-74 > Au25@Co-MOF-74 > Au25@Zn-MOF-74 > Au25@Mg-MOF-74的趋势,突出了通过表面配体与MOF宿主之间的相互作用调节Au25 NCs周围微环境的关键作用。

研究背景
1) 行业问题:金属纳米簇(NCs)因其独特的结构和反应活性,在催化领域展现出巨大潜力。然而,表面配体引起的空间阻力和结构不稳定性构成了重大挑战。
2) 现有方案:尽管已有研究通过有机表面配体的调控来改善金属NCs的催化性能,但如何在保持配体优点的同时抑制其不利影响,仍然是一个难题。
3) 本文创新:本研究首次采用MOFs作为多孔宿主,通过调控MOFs与金属NCs表面配体之间的相互作用,实现了对金属NCs催化性能的显著提升。
实验部分
1) Au25(Cys)18 NCs的合成:通过NaOH介导的NaBH4还原法合成了Au25(Cys)18纳米簇,并通过UV-vis光谱和HAADF-STEM确认了其高纯度和稳定的结构。
2) MOF-74外层的原位生长:为了防止Au25(Cys)18在高温溶液条件下结构受损,开发了MOF-74外层的原位生长方法。将MOF连接体DHTP和Au25(Cys)18在NaOH水溶液中预处理,促进DHTP的溶解并与金属离子在室温下反应,形成Au25@MOF-74。
3) 多变量MOFs的合成:利用MOFs的多变量特性,通过在合成Zn-MOF-74时混合不同的金属醋酸盐,成功合成了含Ni2+、Co2+或Mg2+的M-MOF-74(M = Ni, Co, Mg),确保了它们相似的结晶度和尺寸。
4) Au25@M-MOF-74的合成:按照与Au25@MOF-74相似的合成路线,制备了Au25@M-MOF-74(M = Zn, Ni, Co, Mg),作为调控Au25(Cys)18表面配体相互作用的理想平台。
5) Au25(Cys)18/Ni-MOF-74的合成:利用Au25(Cys)18表面的大量负电荷羧基与Ni-MOF-74的静电相互作用,将Au25(Cys)18附着在Ni-MOF-74的外表面。
6) 催化性能测试:通过控制实验表明,Au25(Cys)18 NCs在没有催化剂或使用四种M-MOF-74催化剂的情况下,2-硝基苯甲腈的还原反应中没有检测到产物,而Au25(Cys)18 NCs表现出20.6%的活性和91.0%的选择性。
7) 稳定性和可回收性测试:Au25@Ni-MOF-74在三个连续循环中保持了99%的催化产率,而Au25/Ni-MOF-74的产率在第一个循环中为25%,并在接下来的循环中持续下降。
测试分析
1) XRD图谱显示M-MOF-74具有相似的结晶度,Au25(Cys)18的包封或支撑对MOFs的结构完整性和结晶度没有影响。
2) 氮气吸附结果显示Au25@M-MOF-74和Au25/Ni-MOF-74保持了高比表面积和非常相似的孔径分布,表明引入Au25(Cys)18并未影响MOF的微孔结构。
3) SEM和HAADF-STEM图像显示Au25@M-MOF-74和Au25/Ni-MOF-74具有相似的粒径和形貌,且Au25(Cys)18在Ni-MOF-74中均匀分散。
4) UV–vis光谱分析显示Au25@M-MOF-74的荧光强度显著增强,并与Au25(Cys)18相比发生了明显的蓝移。
5) XPS分析表明,与M-MOF-74结合后,Au25(Cys)18的Au电子密度显著增加,与活性顺序一致,表明MOF与Au25(Cys)18之间的电荷转移相互作用有利于提高活性。
6) X射线吸收精细结构(XAFS)分析显示,MOF包封对Au25(Cys)18的几何结构和电子性质有显著影响,与Au箔相比,Au25(Cys)18的白线峰强度更高,表明其表面Au原子的5d电子密度降低。
7) 催化反应机理研究:通过荧光光谱和XAFS分析,揭示了MOF封装对Au25(Cys)18表面配体的刚性化作用和Au核心的扩张作用,从而提高了底物的可接近性。
总结
1) 本研究成功地将Au25(Cys)18纳米簇封装到M-MOF-74中,制备了Au25@M-MOF-74复合催化剂。2) MOF的包封作用不仅显著提高了Au25(Cys)18的催化效率和稳定性,而且通过改变MOF中的金属节点,实现了对Au25(Cys)18催化性能的进一步调控。
3) 这一发现为通过表面微环境调控提高金属NCs的催化性能提供了新的策略。


展望
未来的研究可以进一步探索不同种类的金属-有机框架和金属纳米簇的组合,以及它们在更广泛的催化反应中的应用。此外,深入研究MOF与金属NCs表面配体之间的相互作用机制,将有助于设计出更高效、更稳定的催化剂。
Regulating interaction with surface ligands on Au25 nanoclusters by multivariate metal–organic framework hosts for boosting catalysis
文章作者:He Wang, Xiaokang Liu, Yulong Zhao, Zhihu Sun, Yue Lin, Tao Yao, Hai-Long Jiang
DOI:10.1093/nsr/nwae252
文章链接:https://doi.org/10.1093/nsr/nwae252
本文为科研用户原创分享上传用于学术宣传交流,具体内容请查阅上述论文,如有错误、侵权等请联系修改、删除。未经允许第三方不得复制转载。