+86-21-51987688
首页 > 行业动态 > 【Co-MOF碳化材料】金属有机框架衍生的Co和Co-Nx嵌入式介孔碳片作为微生物燃料电池氧还原反应阴极材料
【Co-MOF碳化材料】金属有机框架衍生的Co和Co-Nx嵌入式介孔碳片作为微生物燃料电池氧还原反应阴极材料
摘要:
大庆师范学院王文艺老师等报道的本篇文章(Catal Lett 2024)中成功制备了一种新型的三维介孔Co/Co-N-MC-800催化剂,该催化剂由高氮含量的H-1,2,4-三唑-3-胺有机配体在不同热解温度下通过原位热解Co-PTA-MOF前驱体制备。该催化剂具有优异的氧还原反应(ORR)性能,起始电位为0.92 V vs RHE,半波电位为0.76 V vs RHE,与Pt/C相近,并在89小时后显示出89.1%的电流保持率,同时在空气呼吸阴极微生物燃料电池(MFC)中展现出1079.3 ± 22.5 mW·m^(-2)的可选功率密度。这种改善的催化性能可能归因于特殊的三维纳米结构、嵌入的钴纳米颗粒(形成Co-Nx)和氮掺杂的介孔碳片材料的结合。
 
研究背景:
1)传统的化石燃料过剩和能源危机意识的增强促使清洁能源转换和存储技术的快速发展。微生物燃料电池(MFCs)作为一种新型的可持续能源转换设备,因其在废水处理和可持续生物能源转换中的潜力而备受关注。
2)尽管基于铂的催化剂在MFC中表现出良好的ORR催化活性并被广泛使用,但其稀缺性、有限的稳定性和非粘附性限制了其实际应用。因此,开发高效的(低成本、高效和耐用的)电催化剂对于能源转换系统至关重要。
3)本研究中,作者提出了一种通过原位热解Co-PTA-MOF前驱体制备金属氮碳催化剂的新方法,以提高MFC阴极的ORR性能和能源转换效率。
 
实验部分:
1. Co-PTA-MOF的制备:
   1) 将0.4 mmol的Co(NO3)3·6H2O、0.4 mmol的对苯二甲酸(PTA)和0.8 mmol的H-1,2,4-三唑-3-胺溶解在8 mL的N,N-二甲基甲酰胺(DMF)和2 mL的水中,室温下搅拌20分钟形成均匀溶液。
   2) 将混合溶液转移到30 mL的聚四氟乙烯衬里的高压釜中,在150°C下反应24小时,自然冷却至室温。
   3) 通过离心收集紫色粉末,用去离子水和DMF洗涤三次,80°C真空干燥过夜,得到Co-PTA-MOF。
2. Co/Co-N-MC-T的制备:
   1) 将一定量的Co-PTA-MOF前驱体加入到瓷舟中,放入管式炉中,在N2气氛下预处理30分钟以排除空气。
   2) 在N2保护下,将温度升至设定的目标温度(700°C、800°C、900°C)并保持2小时,升温速率为5°C·min^(-1)。
   3) 热解后得到多孔黑色粉末,分别命名为Co/Co-N-MC-700、Co/Co-N-MC-800和Co/Co-N-MC-900。
3. 电化学测量:
   1) 在25 ± 1°C的条件下,使用三电极系统进行所有电化学测量。
   2) 采用石墨棒作为对电极,Ag/AgCl作为参比电极,催化剂涂覆的玻璃碳电极(GCE)作为工作电极。
   3) 在O2或N2饱和的0.1 M磷酸盐缓冲溶液(PBS)中进行循环伏安法(CV)测量,扫描速率为10 mV·s^(-1)。
4. 微生物燃料电池(MFC)的组装和运行:
   1) 构建单室MFC,将阳极和阴极置于塑料(Plexiglas)圆柱形反应器的相对侧。
   2) 使用Co/Co-N-MC-T作为MFC阴极,所有MFC接种20%的市政废水和80%的培养基。
   3) 在30°C下以1000Ω的外部电阻运行,以批式模式运行。
 
分析测试:
1. 扫描电子显微镜(SEM):
   - Co-PTA-MOF前驱体呈现花状结构,Co/Co-N-MC-800催化剂保持了类似的形态,表面粗糙。
2. 透射电子显微镜(TEM):
   - Co/Co-N-MC-800的TEM图像显示了内部结构,Co纳米颗粒均匀分散在无定形碳块中。
3. 傅里叶变换红外光谱(FT-IR):
   - Co/Co-N-MC-T的FT-IR光谱显示出金属-N-C材料的特征,新峰出现在1518 cm^(-1),归属于Co-N的伸缩振动。
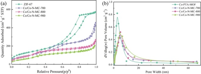
4. 比表面积和孔隙结构分析:
   - Co/Co-N-MC-800的比表面积为96.5 m^2·g^(-1),孔容为0.48 cm^3·g^(-1),孔径分布在4.9 ~ 5.2 nm范围内。
5. X射线衍射(XRD):
   - Co/Co-N-MC-800的XRD图谱显示出石墨碳的特征峰,以及FCC Co(0)的(111)、(200)和(220)晶面。
6. X射线光电子能谱(XPS):
   - Co/Co-N-MC-800的XPS分析显示了C、N、Co元素的表面化学状态,Co 2p XPS光谱显示出Co-Nx的特征峰。
7. 电化学活性测试:
   - Co/Co-N-MC-800在O2饱和的0.1 M PBS中展现出优异的ORR活性,起始电位为0.92 V vs RHE,半波电位为0.76 V vs RHE。
8. 微生物燃料电池(MFC)性能测试:
   - MFC-Co/Co-N-MC-800产生了最大的输出电压0.51 ± 0.06 V和功率密度1079.3 ± 22.5 mW·m^(-2),显示出优异的电能产生能力。
 
总结:
本研究成功制备了一种新型的三维介孔Co/Co-N-MC-800催化剂,该催化剂在氧还原反应中展现出优异的性能,起始电位和半波电位均接近Pt/C,且具有出色的长期稳定性。此外,该催化剂在空气呼吸阴极微生物燃料电池中也展现出了优异的功率密度和废水处理能力。这些结果表明,通过优化催化剂的孔隙结构和组成,可以显著提高其在能源转换设备中的性能。
 



展望:
未来的研究可以进一步探索Co/Co-N-MC-800催化剂在不同条件下的稳定性和耐久性,以及其在其他类型的能源转换设备中的应用潜力。此外,研究者可以探索通过改变热解条件和有机配体的组成来优化催化剂的性能,以实现更高效和经济的能源转换。同时,研究者还可以考虑将这种催化剂与其他类型的材料结合,以开发出新型的多功能能源转换设备。
 
Metal Organic Framework–Derived Co and Co‑Nx Embedded Mesoporous Carbon Sheets as an Efficient Electrocatalyst Toward the Oxygen Reduction Reaction for Air‑Breath Cathode Microbial Fuel Cells
文章作者:Long Tang · Xingyun Liu · Zeyong Zhu · Junjie Luo · Song Zhao · Wenyi Wang
DOI:10.1007/s10562-024-04809-5
文章链接:https://link.springer.com/article/10.1007/s10562-024-04809-5


本文为科研用户原创分享上传用于学术宣传交流,具体内容请查阅上述论文,如有错误、侵权等请联系修改、删除。未经允许第三方不得复制转载。