首页 >
行业动态 > 【MOF工业气体分离】具有高密度分布的N/O/F原子的MOF材料用于乙烯乙烷分离
【MOF工业气体分离】具有高密度分布的N/O/F原子的MOF材料用于乙烯乙烷分离
摘要:
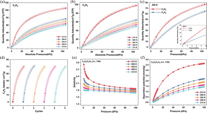
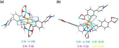
中国科学院大学吴明燕老师等报道的本篇文章(J. Mater. Chem. A, 2024)中开发了一种金属-有机框架材料Ni-3-F,该材料具有芳香族孔表面和高密度分布的N/O/F原子,为C2H6分子提供了丰富的结合位点。实验表明,Ni-3-F在273-313 K范围内对C2H6的吸附容量高于C2H4,且在298 K时对C2H6/C2H4(1/99)的选择性达到1.80。实际的穿透实验显示,Ni-3-F能实现C2H6/C2H4的有效分离,并在298 K和1 bar条件下获得相对较高的C2H4产率(27.14 L kg−1)。此外,由于其稳定的结构,Ni-3-F在不同温度(298-318 K)、流速(1.05-2.95 mL min−1)和相对湿度(33-100%)下保持良好的分离性能。计算模拟揭示了芳香族孔表面和多个N/O/F位点为C2H6提供了更多的C-H/π和C-H/N/O/F超分子相互作用,使Ni-3-F能够优先吸附C2H6而非C2H4。

研究背景:
1. 乙烯(C2H4)作为石化工业中最重要的原料之一,广泛用于生产聚乙烯、聚氯乙烯等化学品。然而,在C2H4的生产过程中,不可避免地会产生杂质乙烷(C2H6)。为了获得适用于下游应用的聚合级C2H4,需要额外的分离过程。
2. 目前工业上通常采用高压低温下的冷冻蒸馏技术来提纯C2H4,该技术不仅设备投资高、操作复杂,而且能耗极大,不符合可持续和绿色发展的要求。
3. 针对现有技术的缺点,本研究提出了一种基于多孔吸附剂的吸附分离技术。通过设计具有芳香族孔洞的多孔材料,利用C-H/π相互作用有效增强C2H6的吸附能力,从而实现从C2H6/C2H4混合物中一步法高效纯化C2H4。

实验部分:
1. 配体合成实验:
1) 将吡啶-4-硼酸(3.7 g, 30 mmol)、4-溴-3-氟苯甲酸(6.6 g, 30 mmol)、Na2CO3(8.5 g, 80 mmol)和Pd(PPh3)4(2.4 g, 2.4 mmol)溶解在130 mL H2O和150 mL 1,4-二氧六环中,加热至105 °C,在N2氛围中反应48小时。
2) 反应完成后,将混合物冷却至室温,过滤,用乙醇(3 × 20 mL)洗涤固体,收集滤液。
3) 将滤液在真空条件下干燥,然后用3 M HCl调节pH至3,再次过滤得到白色粉末,即为合成的配体。
2. Ni-3-F合成实验:
1) 将Ni(NO3)2·6H2O(29.08 mg, 0.1 mmol)和3-氟-4-(吡啶-4-基)苯甲酸(21.72 mg, 0.1 mmol)溶解在7.5 mL DMF和0.15 mL三乙胺中。
2) 将溶液转移到25 mL聚四氟乙烯衬里的不锈钢容器中,150 °C加热3天,冷却后通过过滤和多次用DMF洗涤得到绿色块状晶体。
3. 气体吸附实验:
1) 将新鲜样品在丙酮中浸泡7天,每天更换三次新鲜丙酮。
2) 在真空中室温处理至少6小时,然后在80 °C下高真空处理10小时以激活Ni-3-F。
3) 在ASAP 3020表面分析仪上进行气体吸附实验,测试温度为77 K或273-313 K水浴温度。
分析测试:
1. 比表面积和孔隙性质分析:
- 通过N2吸附实验(77 K)测定,Ni-3-F的比表面积为583.4 m²/g,孔容为0.042 cm³/g,平均孔径为6.7 Å。
2. 结构稳定性测试:
- 通过PXRD和TGA测试,Ni-3-F在350 °C以下无明显重量损失,表现出良好的热稳定性。
3. 气体吸附测试:
- 在77 K下N2吸附实验显示,Ni-3-F的饱和吸附容量达到150.8 cm³/g。
4. 穿透实验:
- 在298 K和1 bar条件下,Ni-3-F能从C2H6/C2H4混合物中一步法获得高纯度C2H4,产率达到27.14 L kg−1。
5. 理论计算:
- 通过理论计算,Ni-3-F与C2H6之间的相互作用明显强于C2H4,这是由于Ni-3-F中多个相互作用位点的存在。
总结:
本研究成功制备了一种新型的金属-有机框架材料Ni-3-F,该材料具有芳香族孔表面和高密度分布的N/O/F原子,能有效实现从C2H6/C2H4混合物中一步法高效纯化C2H4。实验结果表明,Ni-3-F在不同条件下均展现出优异的C2H6/C2H4分离性能,具有实际工业应用的潜力。



展望:
本研究为C2H4的高效纯化提供了一种新的材料和技术。未来的工作可以进一步探索Ni-3-F在更广泛的条件下的应用,如不同的混合比例、更高的温度和湿度条件。此外,还可以研究Ni-3-F的再生和循环使用性能,以及通过材料改性进一步提高其吸附容量和选择性。
Aromatic pore surface with multiple adsorption sites for one-step C2H4 acquisition from C2H6/C2H4 mixture
文章作者:Yongqin Zhu, Zhenyu Ji, Yunzhe Zhou and Mingyan Wu *
DOI: 10.1039/d4ta05086j
文章链接:https://pubs.rsc.org/en/content/articlelanding/2024/ta/d4ta05086j
本文为科研用户原创分享上传用于学术宣传交流,具体内容请查阅上述论文,如有错误、侵权等请联系修改、删除。未经允许第三方不得复制转载。