首页 >
行业动态 > 【富氮二维材料】P/N/Si共价有机骨架阻燃剂的制备及其在环氧树脂中的应用
【富氮二维材料】P/N/Si共价有机骨架阻燃剂的制备及其在环氧树脂中的应用
摘要:
安徽理工大学吉小利老师等报道的本篇文章(J Appl Polym Sci. 2024;e56106)中指出在环氧树脂中增强阻燃性能的同时保持其机械性能是一个重要挑战。为了达到这一目标,本文合成了一种基于共价有机框架(COF)的协同阻燃剂,含有磷、氮和硅元素(PA-COF@MT),利用植酸(PA)、蒙脱石(MT)和共价有机框架(COF)。当PA-COF@MT添加量为4%时,与纯环氧树脂相比,环氧树脂/PA-COF@MT复合材料的峰值热释放率(PHRR)降低了42.1%,总热释放(THR)降低了45.84%,总烟产量(TSP)降低了59.8%。氧指数(LOI)提高了30.5%,在UL-94测试中达到了V-0级。阻燃指数(FRI)值为3.03,达到了“好”的评级。火势增长指数和有效燃烧热增加,同时机械性能也得到改善。这些发现表明PA-COF@MT的阻燃机制主要是通过气相和凝聚相作用。磷、氮、硅的协同效应使碳层表面致密,具有出色的隔热和抑烟效果。简而言之,本研究为基于COF的阻燃剂提供了新的见解。PA-COF@MT结合低成本和简单的制备方法,在阻燃环氧树脂系统中具有广泛的应用前景。

研究背景:
1. 环氧树脂(EP)因其卓越的机械性能、耐化学腐蚀和电绝缘能力而被广泛应用于电子、交通和航空等领域。然而,环氧树脂具有高易燃性,存在显著的火灾隐患。
2. 已有研究关注于通过添加基于磷、氮和硅的非卤素阻燃剂来提高环氧树脂的阻燃性能,但单一元素阻燃剂往往需要大量添加,可能会降低环氧树脂的机械性能。
3. 本文作者提出了一种基于COF的协同阻燃剂,通过磷、氮、硅三元素的协同效应,提高了环氧树脂的阻燃性能,同时保持了其机械性能。

实验部分:
1. COF@MT的制备:
1) 将1.26 g (0.01 mol) 三聚氰胺和1.12 g (0.01 mol) 尿囊素溶解在25 mL 二甲基亚砜中,经20分钟超声处理得到清澈溶液。
2) 向溶液中加入0.7 g 蒙脱石,搅拌均匀后转移至180°C反应釜中反应12小时,形成乳白色沉淀。
3) 经离心分离后,用丙酮和二氯甲烷依次洗涤沉淀,然后在60°C下干燥8小时得到白色粉末。
2. PA-COF@MT的制备:
1) 将0.8 g COF@MT粉末浸泡在40 mL 5% 植酸溶液中,在室温下搅拌均匀,随后在95°C反应釜中反应12小时。
2) 反应后经离心分离出白色混浊液,用蒸馏水洗涤,然后在60°C下干燥8小时得到白色固体PA-COF@MT。
3. 环氧树脂复合材料的制备:
1) 将PA-COF@MT在四氢呋喃中超声分散,与环氧树脂在75°C混合直至四氢呋喃完全挥发。
2) 加入4,4'-二氨基二苯甲烷(DDM)并充分搅拌,混合物倒入模具中,在100°C固化2小时,然后在150°C固化2小时。
3) 制备了不同PA-COF@MT含量的环氧树脂样品,分别为EP0, EP1, EP2, EP3,含量分别为0, 1, 2, 4 wt%。
分析测试:
1. 傅里叶红外光谱(FT-IR)分析:
- 观察到3627, 3421, 1643 cm^-1处的O-H键伸缩振动峰,以及1060, 792, 526, 469 cm^-1处的MT特征吸收峰。
- PA-COF@MT的FT-IR谱图中,1049 cm^-1和815 cm^-1处的特征峰变宽,归因于植酸的加入。
2. X射线光电子能谱(XPS)分析:
- PA-COF@MT主要由C, N, O, P, Si元素组成,S2p的小峰可能来源于合成过程中未完全清洁的溶剂。
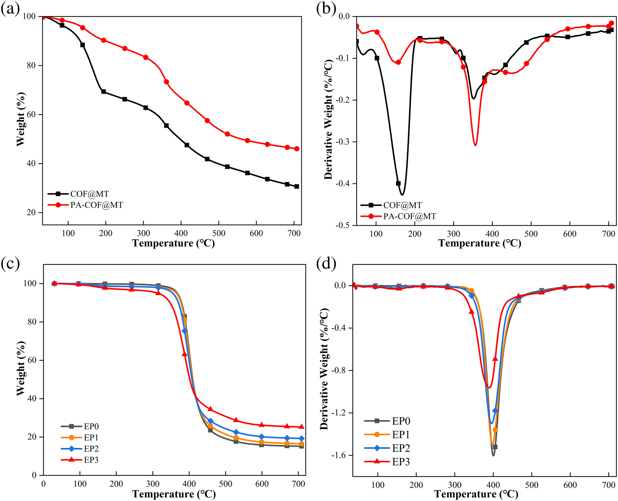
3. 热重分析(TGA)和衍生热重分析(DTG):
- COF@MT的Tmax为166.4°C,PA-COF@MT的Tmax提高至356.6°C,表明PA-COF@MT热稳定性显著提高。
- EP3的残炭量为26.1%,高于纯EP0的15.8%,显示PA-COF@MT提高了环氧树脂的炭化能力。
4. 氧指数(LOI)和UL-94垂直燃烧测试:
- EP3的LOI值达到26.5%,在UL-94测试中达到V-0级,显示出色的阻燃性能。
5. 锥形量热测试:
- EP3的PHRR降低至1254.09 kW/m^2,较EP0降低了42.1%;THR降低至68.29 MJ/m^2,降低了45.84%;TSP降低了59.8%。
6. 碳层残留分析:
- 锥形量热测试后,EP3形成的炭层更加致密和连续,表面孔洞和裂纹减少。
7. 拉曼光谱分析:
- EP3的ID/IG比值降低至1.55,表明其炭层石墨化程度最高。
8. 机械性能测试:
- 添加4%wt PA-COF@MT的EP3抗拉强度达到89.3 MPa,比纯EP0提高了14.1%。
总结:
本文成功设计并合成了一种基于COF的含磷、氮、硅元素的协同阻燃剂PA-COF@MT,并将其应用于环氧树脂中。实验结果表明,PA-COF@MT在较低添加量下即可显著提高环氧树脂的阻燃性能,同时保持了良好的机械性能。通过FT-IR、XPS、TGA、LOI、UL-94和锥形量热测试等分析方法,揭示了PA-COF@MT在气相和凝聚相中的阻燃机制,以及其对环氧树脂热稳定性和机械性能的改善作用。




展望:
本研究为环氧树脂的阻燃改性提供了一种有效的策略,未来的工作可以进一步探索不同组成的COF基阻燃剂,以及它们在其他类型的聚合物中的应用。此外,深入研究COF基阻燃剂在实际应用中的耐久性和环境影响,以及开发更为环保和经济的制备方法,也是后续研究的重要方向。
Preparation of P/N/Si-containing covalent organic framework-based flame retardants and their application in epoxy resins
文章作者:Jian Liu, Yongxin Yu, Xiaoli Ji
DOI:10.1002/app.56106
文章链接:https://onlinelibrary.wiley.com/doi/10.1002/app.56106
本文为科研用户原创分享上传用于学术宣传交流,具体内容请查阅上述论文,如有错误、侵权等请联系修改、删除。未经允许第三方不得复制转载。