首页 >
行业动态 > 【POM@MOF】基于掺有发光多金属氧酸盐和碳点的Zn-MOF材料的可调比率温度传感器
【POM@MOF】基于掺有发光多金属氧酸盐和碳点的Zn-MOF材料的可调比率温度传感器
摘要:
Université Paris-Saclay的Olivier Oms和Nantes Université的Hélène Serier-Brault报道的本篇文章(J. Mater. Chem. C, 2024)中介绍了一种新型的温度传感器,该传感器基于一种金属-有机框架(MOF)材料,该材料将红色发光的[EuW10O36]9-(EuW10)多金属氧酸盐(POM)和绿色(GCDs)或蓝色(BCDs)发光的碳点(CDs)共固定化在层状多孔的ZIF-82中。通过多种技术对EuW10/GCDs@ZIF-82和EuW10/BCDs@ZIF-82材料进行了表征,显示了它们的稳定性和低铕含量(EuW10/GCDs@ZIF-82为0.23 wt%)。此外,进行了理论计算以确定复合物中POM单元的位置,考虑了两种类型的环境。对它们在固态下的光学性质进行了深入研究,发现两种复合材料之间存在显著差异,展示了基于POMs/CDs的材料的多功能性。更重要的是,它们揭示了EuW10/GCDs@ZIF-82作为发光温度计的能力,其在80°C时的最大相对热灵敏度为1.45% K^-1。

研究背景:
1. 传统的接触式温度计(热电偶、双金属温度计等)无法实现微米尺度下的远程和精确的温度测量,且通常具有侵入性。而发光温度计因其非侵入性和精确性,在生物学、微电子学、催化等领域具有潜在应用,但现有技术存在一些局限性,如成本高、稀土元素含量高、合成难度大等。
2. 为了获得比例温度计,研究者们通常采用将两种具有不同发射峰的发光实体组装在同一材料中的方法,通过监测两个发射信号强度的比率随温度变化来确定绝对温度。此外,金属-有机框架(MOFs)因其多孔性和能够包含多个发光中心的特性,被认为是理想的纳米温度测量应用候选材料。
3. 作者提出了一种新的方法,通过在低成本、易于制备的MOF基质中嵌入两种发光中心——Eu-POM和无稀土荧光体(碳点),来克服现有技术的局限性。特别是,作者选择了发光碳点(CDs)作为EuW10的替代品,以制备比例发光温度计,这在之前的研究中尚未报道。

实验部分:
1. EuW10/GCDs@ZIF-82和EuW10/BCDs@ZIF-82的合成:
1) 将EuW10和碳点分别制备成稀水溶液。
2) 快速将EuW10和碳点溶液同时加入含有CTAB(十六烷基三甲基氯化铵)和MOF前体(2-甲基咪唑和醋酸锌)的溶液中,形成初始的EuW10/BCDs@ZIF-8。
3) 经过2小时,将所得粉末离心,然后悬浮在含有ZIF-8前体(2-甲基咪唑和硝酸锌)的甲醇溶液中,形成EuW10/BCDs@ZIF-82材料的外层。
4) 采用相同的合成路径制备了EuW10/GCDs@ZIF-82。
2. 碳点(GCDs和BCDs)的合成:
1) 根据已报告的程序,在溶剂热或水热条件下合成GCDs和BCDs(详见ESI†)。
2) 通过调整反应条件(反应物比例、温度、溶剂等)来调控碳点的尺寸和发光性质。
3. 复合材料的表征:
1) 使用多种技术对合成的复合材料进行表征,包括但不限于红外光谱(IR)、能量色散X射线光谱(EDS)、感应耦合等离子体质谱(ICP)、热重分析(TGA)、X射线粉末衍射(PXRD)和氮气吸附-脱附等温线。
4. 发光性能测试:
1) 在室温下,使用365 nm和254 nm的光源照射复合材料,观察并记录其发光情况。
2) 测量不同温度下的发射光谱,评估材料的温度传感性能。
分析测试:
1. 红外光谱(IR)分析:EuW10/GCDs@ZIF-82的红外光谱显示了与ZIF-82相似的吸收带,同时观察到W-O-W键振动的特征信号,位于835和895 cm^-1。
2. 能量色散X射线光谱(EDS)分析:EDS映射证实了POM在最终材料中的存在。
3. 感应耦合等离子体质谱(ICP)分析:ICP测量确认了EuW10的存在,W/Zn摩尔比为0.035,表明了非常低的POM和稀土元素含量。
4. 热重分析(TGA):TGA分析显示在700°C时EuW10/GCDs@ZIF-82的残余质量比纯ZIF-82高,为37.4%,归因于复合物中除了锌氧化物外,还形成了钨氧化物和氧化铕。
5. X射线粉末衍射(PXRD)分析:PXRD模式显示纳米复合材料的晶体完整性未受POMs和CDs插入的影响。
6. 氮气吸附-脱附等温线分析:EuW10/GCDs@ZIF-82的BET表面积为1301 m²/g,略低于参考ZIF-82材料的1488 m²/g,表明探针成功插入ZIF-8网络。
7. 发光性能测试结果:
1) 在365 nm照射下,EuW10/GCDs@ZIF-82表现出强的固态绿色发光,确认了GCDs的存在。
2) 在254 nm照射下,复合材料展现出橙色发光,证实了EuW10的封装。
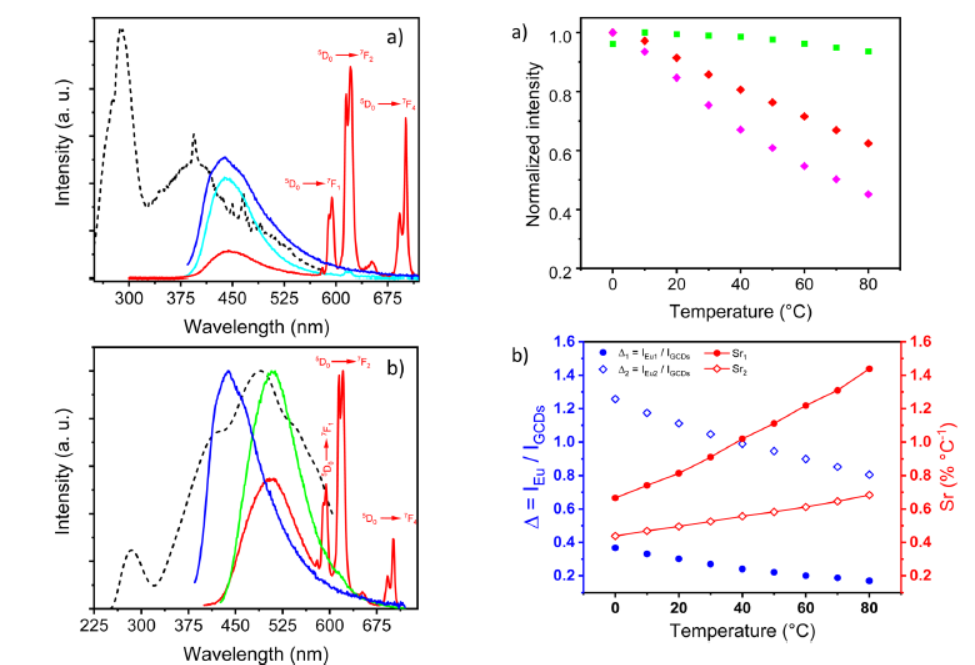
3) EuW10/GCDs@ZIF-82在5-80°C范围内的发射光谱显示,随着温度的升高,IEu1(5D0 - 7F1跃迁)的强度降低了55%,而IEu2(5D0 - 7F2跃迁)降低了近40%。
8. 温度传感性能评估:
1) 定义了两个不同的温度参数D1 = IEu1/IGCDs和D2 = IEu2/IGCDs,并观察到它们随温度变化的线性行为。
2) EuW10/GCDs@ZIF-82材料在80°C时的最大相对热灵敏度为1.45% K^-1(使用IEu1)和0.70% K^-1(使用IEu2)。
9. 材料的稳定性和重复使用性测试:
1) 通过循环测试评估了EuW10/GCDs@ZIF-82作为发光温度计的稳定性和重复使用性,四个循环测试显示了大于97%的重复性,证实了材料的鲁棒性。
总结:
本文成功合成了两种新型的三组分双发光材料EuW10/GCDs@ZIF-82和EuW10/BCDs@ZIF-82,它们具有低稀土元素含量、易于大规模制备和水溶液稳定性。DFT计算突出了EuPOM和ZIF-8之间可能的有利相互作用,这可能解释了与EuW10钠盐相比,复合材料中Eu3+发射峰相对强度的差异。与EuW10/BCDs@ZIF-82相比,EuW10/GCDs@ZIF-82的温度依赖性发射特性显示了其作为发光温度计的潜力,其在80°C时的最大相对热灵敏度为1.45% K^-1。


展望:
本文的科研成果为基于MOF的复合材料提供了一种新的策略,将发光POM和碳点结合起来,为温度传感应用提供了一种有效的解决方案。未来,作者可以进一步探索POMs/CDs@MOF材料在其他传感应用中的潜力,例如气体传感、化学传感等。此外,可以研究不同种类的MOFs和CDs的组合,以优化传感器的性能和灵敏度。还可以考虑通过表面修饰或结构调整来提高传感器的稳定性和响应速度。
Tunable ratiometric temperature sensors based on a Zn-MOF material incorporating luminescent polyoxometalates and carbon dots†
文章作者:Ce´dric Viravaux, Pierre Mialane, Anne Dolbecq, Naseem Ramsahye, Caroline Mellot-Draznieks, He´le`ne Serier-Brault * and Olivier Oms *
DOI: 10.1039/d4tc02596b
文章作者:https://pubs.rsc.org/en/content/articlelanding/2024/tc/d4tc02596b
本文为科研用户原创分享上传用于学术宣传交流,具体内容请查阅上述论文,如有错误、侵权等请联系修改、删除。未经允许第三方不得复制转载。