首页 >
行业动态 > 【COF离子传导】中温下含Mg2+共价有机骨架中的超离子导电
【COF离子传导】中温下含Mg2+共价有机骨架中的超离子导电
摘要:
Tokyo University of Science的Masaaki Sadakiyo 等报道的本篇文章(Dalton Trans., 2024,53, 13326-13329)中报道了一种在中等温度下,即无需客体蒸气即可实现超离子导电性的含Mg2+的共价有机框架(COF)。研究团队合成了一种名为TPB-PEO-9-COF-Mg的COF,该材料在160°C的干燥氮气环境下展现出超过10^-4 S cm^-1的超离子导电性。这种材料的发现填补了现有Mg2+导电材料在中等温度区域(如100-300°C)的空白,为无稀土元素的二次电池电解质材料的开发提供了新的可能性。

研究背景:
1. 行业问题:在二次电池领域,寻找高效的Mg2+导电材料是一个重要课题,但Mg2+的高电荷密度和强离子间作用限制了其在固态中的迁移率。
2. 现有解决方案:传统上,通过使用S2−或Se2−代替O2−来增加邻近阴离子的半径,或通过提高工作温度来增强Mg2+的离子导电性,但这些方法存在局限性。
3. 本文创新点:作者提出了一种新的策略,通过在COF的通道中引入聚氧化乙烯(PEO)链和Mg2+载体,实现了在中等温度下无需客体蒸气即可获得超离子导电性。

实验部分:
1. COF的合成实验:
- TPB-PEO-9-COF合成:将TPB、PEO-9、1,4-二氧六环、间甲苯和醋酸水溶液混合,加热至形成亚胺基团,制备出COF。
- TPB-PEO-9-COF-Mg合成:将TPB-PEO-9-COF浸入Mg(TFSI)2的四氢呋喃溶液中,随后用THF清洗以引入Mg2+载体。
2. 物理化学表征实验:
- XRPD分析:使用X射线粉末衍射仪对合成的COF进行晶体结构分析。
- IR光谱分析:采用红外光谱仪记录COF的官能团信息。
- 元素分析:通过感应耦合等离子体原子发射光谱(ICP-AES)确定COF中Mg2+的含量。
3. 热性能分析实验:
- TG分析:采用热重分析仪评估COF在加热过程中的质量变化。
- DSC分析:使用差示扫描量热仪测量COF的热行为,如玻璃化转变温度。
4. 离子导电性测试实验:
- 交流阻抗测量:在干燥氮气环境下对TPB-PEO-9-COF-Mg进行交流阻抗测量,以确定离子导电性。
- 直流极化测量:通过直流极化方法测量Mg2+的传输数。
分析测试:
1. XRPD分析结果:
- TPB-PEO-9-COF-Mg的XRPD图谱显示了(100)、(200)、(210)晶面的衍射峰,强度较TPB-PEO-9-COF有所降低,表明Mg2+的引入可能影响了晶体结构。
2. IR光谱分析结果:
- IR光谱确认了PEO链(CH伸缩振动模式约2930 cm^-1)和Mg(TFSI)2盐(SO伸缩约1350 cm^-1,CF伸缩约1200 cm^-1)的存在。
3. 元素分析结果:
- ICP-AES分析显示TPB-PEO-9-COF-Mg中Mg2+的含量为2.1 per formula。
4. TG和DSC分析结果:
- TG曲线表明样品在250°C以下具有良好的热稳定性。DSC曲线显示了COF的玻璃化转变温度。
5. 离子导电性测试结果:
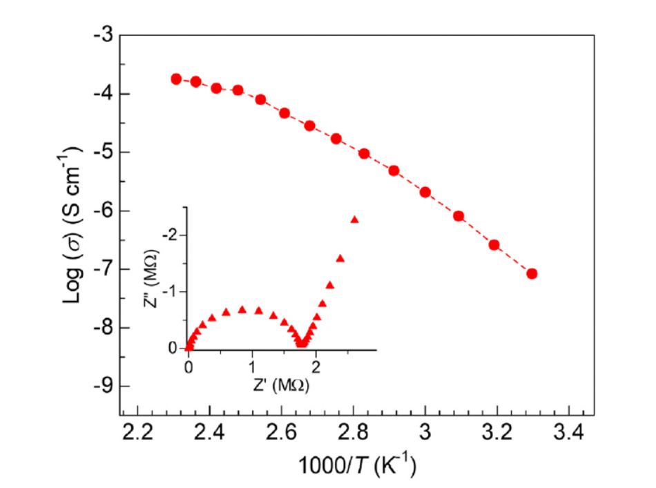
- TPB-PEO-9-COF-Mg在30至160°C范围内的离子导电性呈现Arrhenius型行为,导电率达到1.8 × 10^-4 S cm^-1。
6. Mg2+的传输数测试结果:
- Mg2+的传输数为0.31,证实了在COF中Mg2+的有效传输。
总结:
本文成功合成了一种新型的含Mg2+的COF材料(TPB-PEO-9-COF-Mg),在中等温度下实现了超离子导电性,具有1.8 × 10^-4 S cm^-1的离子导电率和0.31的Mg2+传输数。这一发现为开发新型的Mg2+导电材料提供了重要信息,有望推动无稀土元素的二次电池电解质材料的发展。


展望:
1. 结构优化:进一步研究和优化COFs的结构,以提高Mg2+的导电性和稳定性。
2. 性能提升:探索新的合成方法和后处理技术,以提高COFs的电导率和化学稳定性。
3. 应用拓展:基于TPB-PEO-9-COF-Mg的优异性能,开发其在其他类型能量存储和转换设备中的应用。
4. 机理研究:深入研究Mg2+在COFs中的传输机制,以及PEO链对离子迁移的影响。
Superionic conduction in a Mg2+-containing covalent organic framework at intermediate temperature†
文章作者:Akinori Mohri, Yuki Oami and Masaaki Sadakiyo *
DOI: 10.1039/d4dt01424c
文章链接:https://pubs.rsc.org/en/content/articlelanding/2024/dt/d4dt01424c
本文为科研用户原创分享上传用于学术宣传交流,具体内容请查阅上述论文,如有错误、侵权等请联系修改、删除。未经允许第三方不得复制转载。