+86-21-51987688
首页 > 行业动态 > 【MOF分离稀有气体】阴离子功能超微孔材料ZUL-530吸附分离氙氪
【MOF分离稀有气体】阴离子功能超微孔材料ZUL-530吸附分离氙氪
摘要:
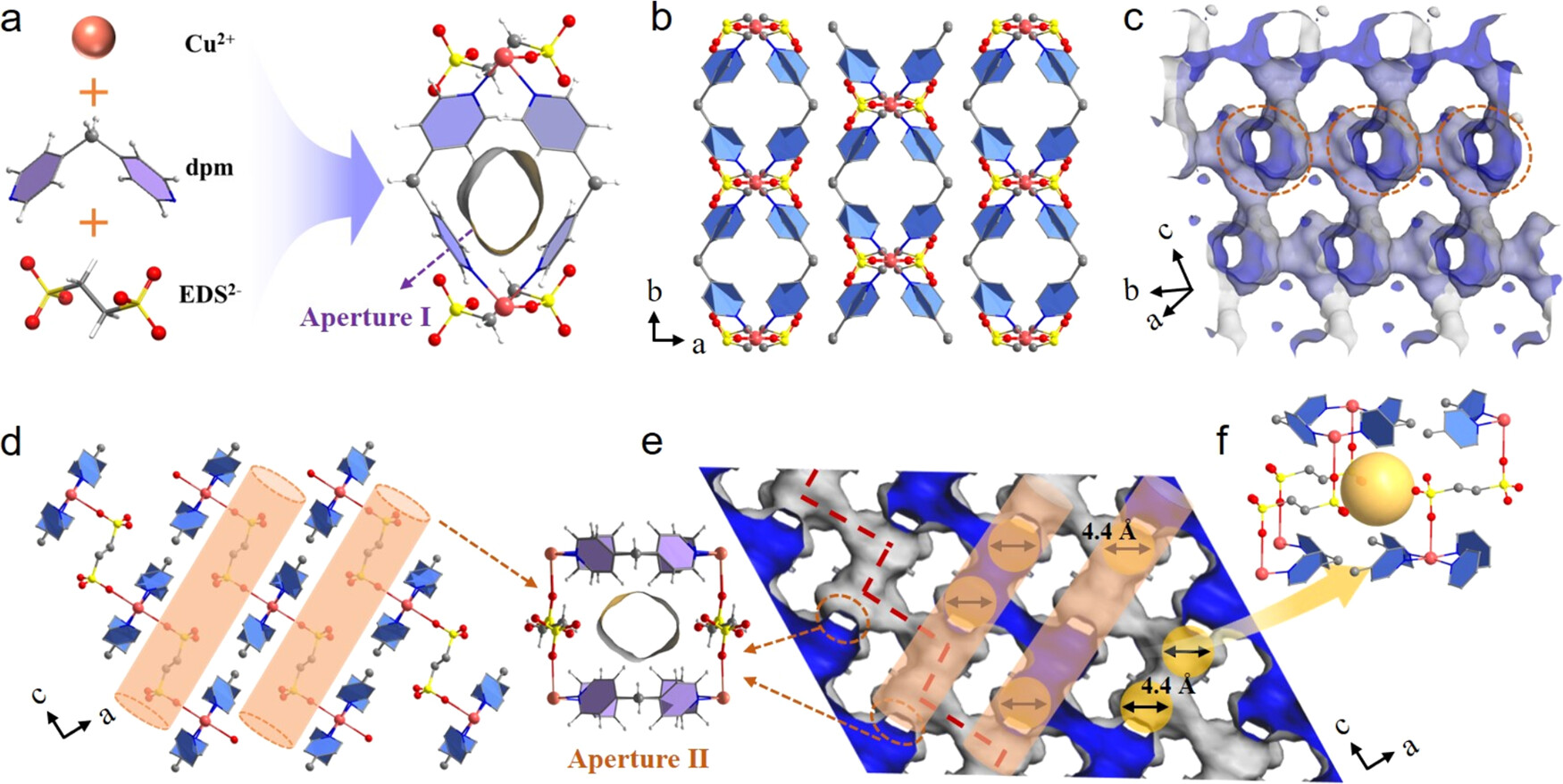
浙江大学杨启炜老师等报道的本篇文章(J. Am. Chem. Soc. 2024)中提出了一种通过合理设计阴离子功能超微孔材料(FUMs)的连接体来精细调控孔化学和结构的策略,以实现对氙(Xe)和氪(Kr)的吸附分离。研究中首次合成了一种新型的FUM(ZUL-530),该材料具有独特的阶梯状通道和高极性纳米陷阱,能够在大的有效孔隙空间中实现氙的密集填充。ZUL-530在金属-有机框架(MOFs)中首次实现了在大气条件下超过液态氙密度的氙填充密度,展现了优异的氙吸附量(0.2 bar下2.55 mmol g⁻¹)和高IAST选择性(20.5)。通过GCMC和DFT-D计算揭示了阶梯陷阱在氙密集填充中的关键作用。突破性实验表明,ZUL-530对高纯度Kr(6.70 mmol g⁻¹)和Xe(1.78 mmol g⁻¹)的生产力显著,是Xe/Kr分离的最佳候选材料之一。
 
研究背景:
   1. 氙和氪是激光、半导体、医学和航空等高端工业的重要原料,但在大气中浓度极低,从空气中分离这些气体存在重大挑战。
   2. 工业上通常采用能耗高的低温蒸馏法来分离Xe/Kr混合气体,基于它们的沸点差异进行分离。
   3. 本文作者通过设计新型的阴离子功能超微孔材料ZUL-530,利用独特的阶梯状通道和高极性纳米陷阱来增强对氙的吸附能力,实现了在较低压力下对氙的高吸附量和选择性。
 
实验部分:
   1. ZUL-530的合成:
      - 将4,4′-二吡啶甲烷溶于甲醇,与Cu(BF4)2·xH2O的水溶液和1,2-乙二磺酸钠在室温下反应,首次合成了一种新型的阴离子功能超微孔材料(ZUL-530)。
   2. 材料表征:
      - 使用单晶X射线衍射(SCXRD)、粉末X射线衍射(PXRD)、热重分析(TGA)、比表面积和孔隙体积测定等方法对合成的ZUL-530进行了详细的结构和形貌表征。
   3. 气体吸附等温线测定:
      - 在298 K和273 K下,对ZUL-530对Xe、Kr、Ar、N2和O2的单组分静态吸附等温线进行了测定,发现ZUL-530对Xe显示出强烈的吸附亲和力。
   4. 比表面积和孔隙体积测定:
      - 使用BET方法测定了ZUL-530的比表面积为326 m² g⁻¹,孔隙体积为0.126 cm³ g⁻¹。
   5. 材料稳定性测试:
      - 对ZUL-530样品进行了空气暴露、水浸和β辐射条件下的稳定性测试,证实了其良好的水稳定性和辐射稳定性。
 
分析测试:
   1. PXRD分析:
      - PXRD结果显示合成的、活化的和Xe负载的ZUL-530样品具有一致的晶体结构。
   2. CO2吸附-脱附等温线:
      - 195 K下测量的CO2吸附-脱附等温线用于评估ZUL-530的孔隙性。
   3. TGA分析:
      - TGA分析显示ZUL-530在至少473 K下保持结构稳定。
   4. 气体吸附等温线:
      - 在298 K和273 K下对Xe、Kr、Ar、N2和O2的吸附等温线表明ZUL-530对Xe有显著的吸附能力。
   5. Xe填充密度计算:
      - ZUL-530在0.2 bar和1.0 bar下的Xe填充密度分别达到2655 g L⁻¹和3259 g L⁻¹,超过了液态Xe的密度。
   6. GCMC模拟:
      - GCMC模拟结果揭示了ZUL-530中Xe和Kr的密度分布,Xe的吸附位点与Kr相似,但Xe的密度显著更高。
   7. DFT-D计算:
      - DFT-D计算用于探索Xe和Kr在ZUL-530中的最佳吸附位点和结合能,发现Xe在ZUL-530中形成了多个强的Xe···O和Xe···H相互作用。
 
总结:

本文成功合成了一种新型的阴离子功能超微孔材料ZUL-530,该材料通过独特的孔化学和结构设计实现了对氙的高吸附量和选择性。实验和模拟结果表明,ZUL-530具有创纪录的氙填充密度,超越了液态氙的密度,是Xe/Kr分离的优异材料。此外,ZUL-530还展现出了良好的水稳定性和β辐射稳定性,为其在核废料处理中的应用提供了潜力。
 


展望:
本文的研究成果为氙/氪分离提供了新的思路和材料选择。未来,作者可以进一步探索ZUL-530在实际工业应用中的性能,包括其在长期运行中的稳定性和可回收性。此外,对ZUL-530的孔道化学进行更深入的调控,以实现对其他类似气体混合物的高效分离,也是未来研究的重要方向。
 
Pore Chemistry and Architecture Control in Anionic Functional Ultramicroporous Materials for Record Dense Packing of Xenon
文章作者:Xiaoqian Zhu, Tian Ke, Pei Han, Zhiguo Zhang, Zongbi Bao, Yiwen Yang, Qilong Ren, and Qiwei Yang*
DOI:10.1021/jacs.4c06354
文章链接:https://pubs.acs.org/doi/10.1021/jacs.4c06354


本文为科研用户原创分享上传用于学术宣传交流,具体内容请查阅上述论文,如有错误、侵权等请联系修改、删除。未经允许第三方不得复制转载。