首页 >
行业动态 > 【MOF分离惰性气体】:壳状氙纳米陷阱在角形阴离子柱撑层状多孔材料中用于提升氙/氪分离性能
【MOF分离惰性气体】:壳状氙纳米陷阱在角形阴离子柱撑层状多孔材料中用于提升氙/氪分离性能
摘要:
浙江大学鲍宗必团队发表的文章(Angew. Chem. Int. Ed.2022,61, e2021166)报道了一种制备具有壳状氙纳米陷阱的角形阴离子柱撑材料的策略,该材料通过孔限域和多重特异性相互作用的协同效应提供了增强的氙吸附性能。Ni(4-DPDS)2MO4(M=Cr,Mo,W)具有完美的永久孔道(4-5Å),即使在超低浓度(400ppm)下也能有效容纳氙原子,其中Ni(4-DPDS)2WO4表现出30.2的第二高选择性,Ni(4-DPDS)2CrO4展现出优异的氙吸附容量(15.0 mmol kg-1)。晶体学研究和DFT-D计算揭示了能量有利的结合位点和角形阴离子能够在最佳孔径和极性孔隙之间产生协同作用,从而提高氙亲和力。动态突破实验表明,这三种MOF是氙/氪分离的高效吸附剂。

研究背景:
(1)工业上,高纯度氙和氪是通过空气的低温分馏获得的副产品,但它们在空气中的含量极低。从核燃料后处理设施的尾气中分离氪和氙也是获得纯氙的另一个来源。
(2)传统多孔材料如沸石、粘土和活性炭在常温下通常选择性和吸附容量较低。最近,金属有机框架(MOF)因其有趣的物理化学性质而成为新一代多孔材料,在气体吸附分离领域显示出巨大潜力。
(3)本文作者在其他人工作的基础上,提出制备具有最佳孔径(略大于氙)和强结合位点的超微孔MOF用于氙/氪分离。他们设计合成了一类新颖的壳状氙纳米陷阱材料,结合镍离子、4-DPDS配体和角形无机阴离子(CrO42-,MoO42-,WO42-),构建了适合氙/氪分离的孔环境。
实验部分:
(1)合成了三种新型二维柱撑菱形网格材料Ni(4-DPDS)2MO4(M=Cr,Mo,W),孔道尺寸为4-5Å。
(2)通过X射线单晶衍射、粉末X射线衍射、热重分析、气体吸附等手段对材料进行了表征。
(3)在273K和298K下测试了材料对Xe、Kr、N2、Ar、O2的单组分吸附等温线。
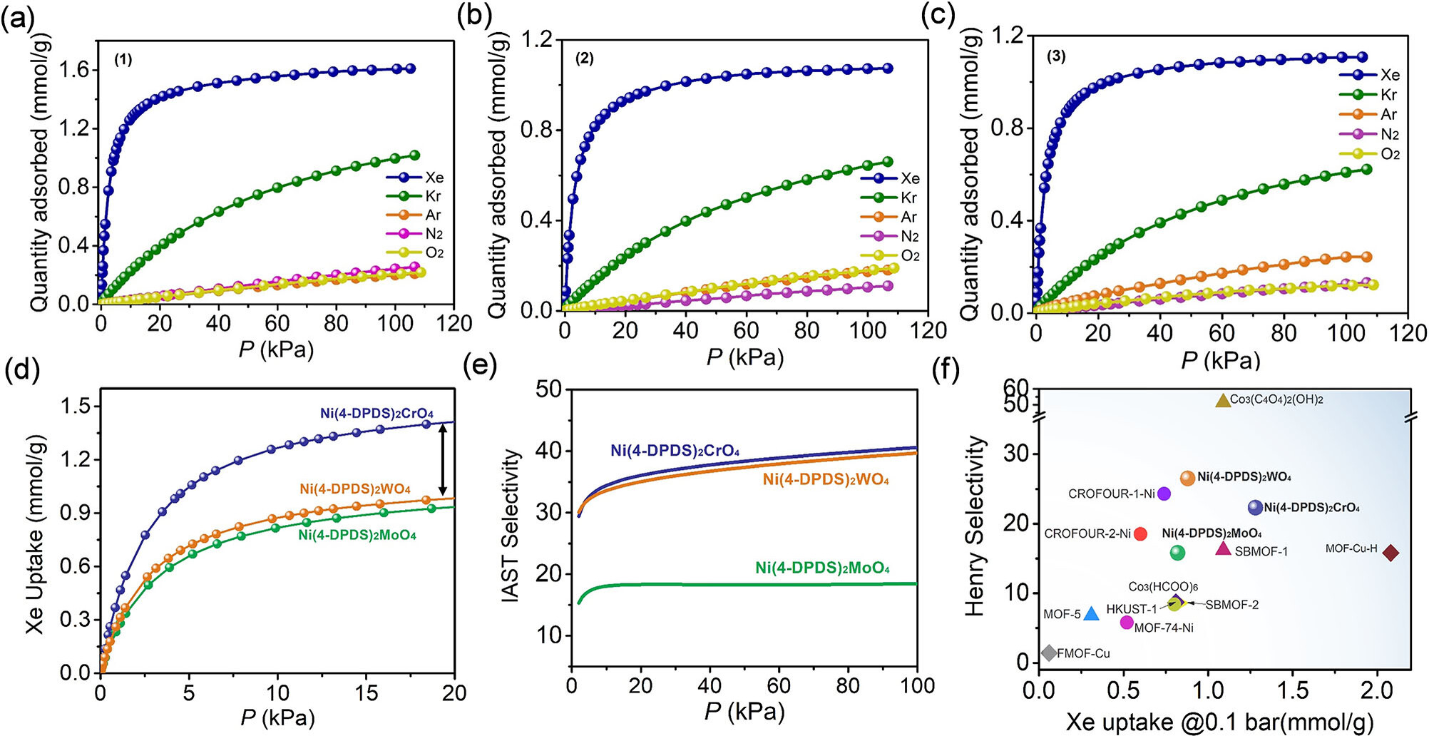
(4)Ni(4-DPDS)2CrO4在298K和0.1bar下的Xe吸附量达到1.28 mmol g-1,优于多数报道的MOF基准材料。三种化合物在298K下对Xe/Kr(20/80)的IAST选择性分别为23.7、20.3和30.2。
突破:Ni(4-DPDS)2CrO4和Ni(4-DPDS)2WO4在273K下的Xe/Kr选择性高达40.6和39.7,超过已报道的绝大多数MOF。
分析测试:
(1)DFT-D计算揭示了Xe在材料中的最佳结合位点。Ni(4-DPDS)2CrO4中Xe主要位于孔道中央,与CrO42-和吡啶环相互作用,结合能为37.4 kJ mol-1。Ni(4-DPDS)2MoO4和Ni(4-DPDS)2WO4中Xe分布在两个不同吸附位点,site I主要与末端O原子和吡啶环H原子作用,site II被吡啶环包围,结合能分别为34.5和36.3 kJ mol-1。
(2)Xe加载的单晶X射线衍射直接证实了DFT预测的Xe吸附构型。在Ni(4-DPDS)2CrO4中观察到Xe与H和O的最短距离分别为3.14Å和3.56Å,与DFT结果一致。
(3)Xe在零覆盖时的等量吸附热Qst计算表明,Ni(4-DPDS)2WO4具有最强的Xe结合强度(34.5 kJ mol-1),仅次于Co3(C4O4)2(OH)2的44.1 kJ mol-1,高于多数MOF如MOF-Cu-H (33.4 kJ mol-1)等。
(4)动态柱突破实验表明,三种MOF都能有效分离Xe/Kr混合气,其中Ni(4-DPDS)2WO4的Xe选择性最高达21.1。在模拟核燃料后处理尾气条件下(400 ppm Xe),Ni(4-DPDS)2CrO4的Xe吸附量高达15.0 mmol kg-1,超过CC3、SBMOF-1等基准MOF材料。
总结:
(1)本文提出了一种独特策略,利用柱撑配体的形状,选择四面体MO42-柱撑而非线性柱撑,结合高度限域和多重相互作用来提升对Xe的亲和力。
(2)合成了一类新型的角形阴离子柱撑超微孔材料,具有二维层状菱形网格结构。通过调节孔径和多重结合环境,Ni(4-DPDS)2WO4和Ni(4-DPDS)2CrO4表现出仅次于最好MOF的Xe/Kr选择性,并在ppm级低浓度下展现出优异的动态分离性能和高Xe吸附量。
(3)单晶衍射和DFT计算表明,四面体MO42-柱撑提供了如O原子的极性基团,并使客体-主体相互作用更加接近,从而为捕获Xe原子创造了完美的孔环境。
(4)这项工作不仅阐明了一系列新型超微孔MOF在Xe/Kr分离中的应用,也为设计和实施具有特定功能的多孔材料提供了一种调控孔环境的通用方法。




展望:
(1)补充更多热稳定性、水稳定性、化学稳定性的测试数据。
(2)拓展更多金属离子、有机配体和阴离子柱的组合,考察构效关系,以补充角形阴离子柱撑策略的普适性如何。
Shell-like Xenon Nano-Traps within Angular Anion-Pillared Layered Porous Materials for Boosting Xe/Kr Separation
文章作者:Fang Zheng, Lidong Guo, Rundao Chen, Lihang Chen, Prof. Zhiguo Zhang, Prof. Qiwei Yang, Prof. Yiwen Yang, Prof. Baogen Su, Prof. Qilong Ren, Prof. Zongbi Bao
DOI:10.1002/anie.202116686
文章链接:https://onlinelibrary.wiley.com/doi/full/10.1002/anie.202116686?saml_referrer