首页 >
行业动态 > 【MOF气体分离】:利用扩散动力学反转ZIF-8中丙烷/丙烯的吸附
【MOF气体分离】:利用扩散动力学反转ZIF-8中丙烷/丙烯的吸附
摘要:
浙江大学鲍宗必、郑芳等的这篇文章(ACS Nano 2024, 18, 4, 3614–3626)研究了如何通过调节ZIF-8的颗粒尺寸和气体流速来反转丙烯/丙烷的吸附选择性。由于丙烯和丙烷分子尺寸和物理化学性质非常相似,传统分离方法面临巨大挑战。作者发现,通过增大ZIF-8晶体尺寸,可以限制丙烷的扩散,从而反转其相对丙烯的优先吸附。此外,提高混合气体的流速也可以在特定ZIF-8样品中反转吸附选择性。作者提出"动态选择性"的概念来阐释这些意外发现,并基于此概念改进了固定床吸附过程的计算模拟精度和稳定性。这项工作强调了通过可控的外部变化来调节扩散的潜力,为优化多孔吸附剂材料的分离性能提供了一种可行策略。

研究背景:
1)丙烯和丙烷的分离面临巨大挑战,因为它们的分子尺寸和物理性质非常相似。传统蒸馏法能耗高、成本高。
2)其他学者提出了利用MOF材料调节框架亲和力、精确控制孔径大小、利用柔性MOF的热响应性开启等方法来实现丙烯/丙烷的选择性吸附分离。但在分子水平上定制孔结构和化学性质仍然非常困难。
3)本文作者注意到,在固定床吸附过程中,颗粒尺寸和气体流速会显著影响气-固相扩散行为。调节吸附剂尺寸和气体流速比分子水平的设计更容易实现。因此,作者探索了通过调节宏观颗粒尺寸和气体流速来反转吸附选择性的可行性。
实验部分:
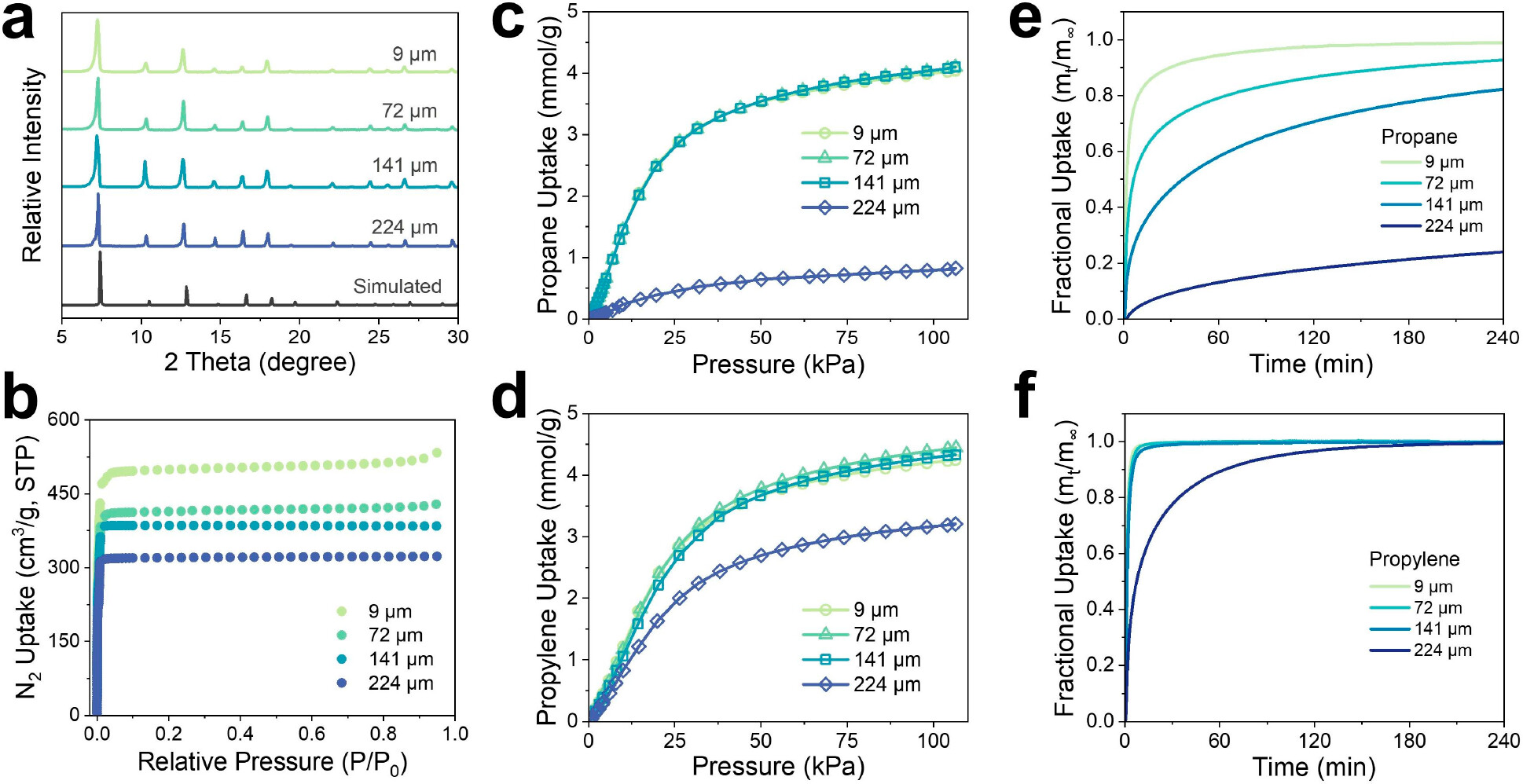
1)合成了一系列平均粒径从9到224μm的ZIF-8样品,发现降低配体/金属摩尔比可以增加ZIF-8颗粒尺寸。不同尺寸的ZIF-8样品都表现出高结晶度,但颗粒越大,比表面积越小。
2)在298K下测试了不同尺寸ZIF-8对丙烷和丙烯的单组分吸附等温线。低压下丙烷吸附量高于丙烯,高压下情况相反。动力学吸附测试表明,随着颗粒尺寸增大,丙烷在ZIF-8中的扩散明显变慢。
3)进行了一系列固定床突破实验和模拟。随着颗粒尺寸增大,丙烯/丙烷的突破选择性从0.9(ZIF-8-9μm)上升到2.0(ZIF-8-224μm),实现了吸附反转。在ZIF-8-9μm上,随着流速从0.1ml/min增大到7.9ml/min,丙烯/丙烷选择性也从0.9提高到1.1。
分析测试:
1)动态选择性Sd(t)的概念被提出,将热力学和动力学因素结合起来解释突破现象。基于Sd(t),作者推导出一个插值函数(IF)方程作为驱动力方程,应用于突破模拟。
2)与传统的线性驱动力(LDF)模型相比,基于Sd(t)的IF模型在输入动力学吸附测试结果后,成功重现了流速诱导的吸附反转,表现出更高的精度和稳定性。LDF模型在输入错误扩散系数时,模拟结果会产生数量级的偏差。
3)通过分析动力学吸附和突破实验中的扩散过程,发现两者本质上都涉及"有限扩散"。利用突破模拟结果可以校正动力学吸附测试中的外部扩散,提高对特定工况下突破分离性能的预测能力。
总结:
本研究通过系统改变ZIF-8颗粒尺寸和气体流速,在实验和模拟中完全反转了丙烯/丙烷的吸附选择性。
提出"动态选择性"的概念来阐释突破现象,为理解微孔材料中的吸附行为提供了直接有效的方法。
基于动态选择性概念,推导出插值函数方程作为驱动力方程,提高了计算模拟的精度和稳定性,为固定床突破理论模型的修正奠定了基础。
这项工作为未来探索基于扩散调控的多孔吸附剂分离性能优化提供了思路。




展望:
1)进一步研究动力学吸附测试和突破实验的外部扩散过程,以提高对实际分离性能的预测能力。
2)进一步验证和拓展动态选择性概念在其他多孔材料和气体体系中的适用性。
3)需要通过放大试验来评估颗粒尺寸和气体流速调控策略在工业固定床分离过程中的应用潜力。
Leveraging Diffusion Kinetics to Reverse Propane/Propylene Adsorption in Zeolitic Imidazolate Framework-8
文章作者:Linghe Yang, Ying Liu, Fang Zheng*, Fuxing Shen, Baojian Liu, Rajamani Krishna*, Zhiguo Zhang, Qiwei Yang, Qilong Ren, and Zongbi Bao*
DOI:10.1021/acsnano.3c11385
文章链接:https://pubs.acs.org/doi/10.1021/acsnano.3c11385