首页 >
行业动态 > 【MOF气体分离】:具有合适孔径和双功能位点的多孔材料用于基准一步法乙烯纯化
【MOF气体分离】:具有合适孔径和双功能位点的多孔材料用于基准一步法乙烯纯化
摘要:
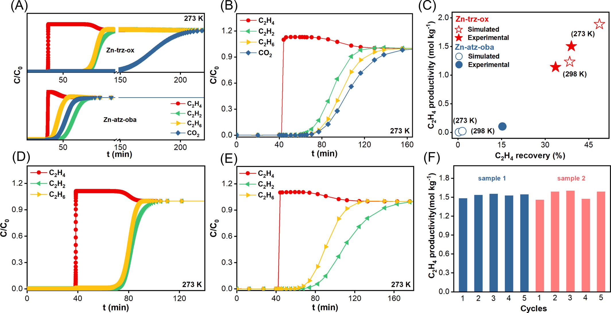
浙江大学邢华斌、杨立峰团队发表的文章(AIChE Journal 2024, 70, e18312)中提出了一种锌基MOF材料Zn-trz-ox,其具有合适的孔径尺寸以及同时含有正电性的H位点和负电性的O位点的独特孔道环境。这种分子捕获剂展现了卓越的一步法从四元混合气体C2H4/C2H2/C2H6/CO2中纯化C2H4的性能。其对CO2、C2H2和C2H6相对于C2H4的分离选择性分别达到9.8、2.6和2.5,高于目前报道的任何单一吸附剂。同时,可直接获得聚合级纯度(≥99.95%)的C2H4,其生产率高达1.5 mol/kg,比之前最好的材料高出10倍以上。通过模拟研究深入揭示了气体分子在材料中的结合行为,为设计先进多组分杂质捕获吸附剂提供了重要线索。

研究背景:
(1) 乙烯生产过程中存在CO2、C2H2、C2H6等复杂杂质,传统纯化工艺能耗高,亟需开发节能新方法。
(2) 多孔材料的快速发展为高效吸附分离提供了新思路,如MOFs、COFs等被用于乙烯纯化并取得一定成果。引入芳香基团、极性基团、开放金属位点等策略强化了对C2H2、C2H6的选择性吸附。
(3) 本文作者在前人工作基础上,利用配位组装策略,通过将不同配体携带的特异性基团引入框架,构筑出具有合适孔径和多重结合位点的分子捕获剂Zn-trz-ox,可同时高效去除C2H2、C2H6和CO2杂质,实现了一步法乙烯纯化。
实验部分:
(1) 合成了Zn-trz-ox材料,并采用XRD、BET、SEM等手段表征了其结构。
(2) 测试了Zn-trz-ox对C2H4、C2H2、C2H6和CO2的单组分等温吸附,计算了IAST选择性、分离势等热力学参数。
(3) 通过动态穿透实验和模拟,评估了Zn-trz-ox从C2H4/C2H2/C2H6/CO2和C2H2/C2H6/C2H4混合气中分离C2H4的性能,获得了高纯C2H4。相比现有材料,Zn-trz-ox展现了更高的C2H4纯度和产率,实现了基准一步法乙烯纯化。
分析测试:
(1) Zn-trz-ox的BET比表面积为561 m2/g,孔径约为0.5 nm。
(2) 在0-100 kPa、273-313 K范围内,Zn-trz-ox对C2H2、C2H6和CO2的吸附量均明显高于C2H4。在273K和1 kPa下,CO2和C2H2的吸附量分别达66.9和52.8 cm3/cm3;在9 kPa下,C2H6的吸附量高达92.2 cm3/cm3。
(3) 在273K和100 kPa下,Zn-trz-ox对CO2/C2H4、C2H2/C2H4和C2H6/C2H4的IAST选择性分别达9.8、2.6和2.5,高于此前最好的Zn-atz-oba材料。
(4) Zn-trz-ox对C2H2、C2H6和CO2的吸附焓分别为36.8、38.7和36.7 kJ/mol,均高于C2H4的32.7 kJ/mol,表明其对C2H4具有较弱的结合力。
总结:
(1) 本文发现了一种高效分子捕获剂Zn-trz-ox,其基于最优孔径和多重结合环境,展现了从复杂C2H4/C2H2/C2H6/CO2四元混合气中一步法纯化C2H4的卓越性能,对CO2/C2H4、C2H2/C2H4和C2H6/C2H4的分离选择性达到了最高纪录。
(2) 可直接获得99.95%高纯C2H4,其生产率高达1.5 mol/kg,远高于之前的基准材料。
(3) 通过巧妙利用不同配体携带的特异性基团,构筑多重结合空间,可高效捕获不同种类杂质,为处理复杂混合气体分离提供了新策略和认识。


展望:
(1) 进一步优化Zn-trz-ox的合成工艺,提高材料的批量制备水平,为工业应用奠定基础。
(2) 深入研究Zn-trz-ox在高温、高湿等苛刻工况下的稳定性和循环使用性能。
(3) 拓展Zn-trz-ox分子筛的其他混合气体分离应用,如天然气净化、烟道气脱硫脱碳等。
(4) 借鉴构筑多重结合空间的策略,开发出一系列高效多组分混合气体分离用吸附剂。
Porous materials with suitable pore size and dual-functional sites for benchmark one-step ethylene purification
文章作者:Tangyin Wu, Cong Yu, Rajamani Krishna, Zhensong Qiu, Hanqian Pan, Peixin Zhang, Xian Suo, Lifeng Yang, Xili Cui, Huabin Xing
DOI:10.1002/aic.18312
文章链接:https://aiche.onlinelibrary.wiley.com/doi/full/10.1002/aic.18312?saml_referrer