摘要:
二维共价有机框架(2D COFs)代表了一个具有长程有序开放式纳米通道的晶体多孔聚合物家族,在电子学、催化、传感和储能方面有着巨大的前景。迄今为止,由于沿二维晶格的有限 π 共轭和晶界处的电荷局部化,高导电二维 COF 的开发仍然具有挑战性。此外,晶体框架内的电荷传输机制仍然难以捉摸。在这里,作者通过时间和频率分辨的太赫兹光谱揭示了电荷载流子在由1,3,5-三(4-氨基苯基)苯(TPB)和1,3,5-三甲苯(TFB)凝聚的半导电二维COF薄膜中的内在德鲁德式带状传输。TPB-TFB COF薄膜表现出很高的光导率,在室温下电荷散射时间超过70 fs,类似于晶体无机材料。这相当于创纪录的165±10 cm2 V-1 s-1的电荷载流子迁移率,大大超过了已有报道最优的导电COFs。这些结果显示了TPB-TFB COF薄膜是有机电子和催化的有希望的候选材料,并为高效和长程电荷传输的高结晶多孔材料的合理设计提供了方向。

具有周期性纳米通道、丰富的活性位点、高化学和热稳定性以及可定制的拓扑结构的二维共价有机框架 (2D COF) 最近已成为固体电解质和光电子学的有前途的替代电子材料。2D COF 具有沿 x-y 平面模仿石墨烯晶格的 2D 多边形片和沿 z 方向的层堆叠结构,类似于层状范德华材料。尽管它们的长程有序框架对电子产品有很大的应用前景,但具有与无机半导体相当的高载流子迁移率的 2D COF 仍然稀缺,并且潜在的电荷传输机制在很大程度上仍然难以捉摸。迄今为止报道的所有二维COF中的光生电荷载流子都表现出短的寿命,可能是由于缺陷处的电荷俘获。电荷定位和短的载流子寿命阻碍了二维COF向先进电子学和光电子学的发展,这就需要从根本上了解它们内在的电荷传输和重组机制。

图 1. TPB-TFB COF 的合成和表征
作者对结构进行了表征,其中二维XRD图中,根据 Scherrer 方程,Δq/q 与微晶尺寸成反比。结果表明薄膜中的微晶尺寸大于粉末中的微晶尺寸。
为了阐明半导体 TPB-TFB COF 中光生电荷载流子的动力学和传输特性,作者通过光泵太赫兹探针 (OPTP) 光谱测量它们的时间分辨光电导率。

图 2. TPB-TFB COF 的超快太赫兹光电导率
在这里,作者报告了在高度结晶的二维TPB-TFB COF薄膜中首次观察到的带状传输。太赫兹(THz)光谱显示了光生电荷载流子的德鲁德反应,这是典型的带状传输,电荷散射时间高达70 fs。作者的研究揭示了结晶度作为一个关键的参数,以确保长距离、非局域电荷传输。值得注意的是,在室温下,高度结晶的TPB-TFB COF薄膜的电荷迁移率非常高,达到165±10 cm2 V-1 s-1,与无机半导体的迁移率相当。除了带状传输的性质,观察到的高迁移率还源于散射事件的大量减少,这一点由高达70 fs的长电荷散射时间证明。这一数值优于以前报道的二维COF,其散射时间范围为30至50 fs(具有非德鲁德传输特性)。

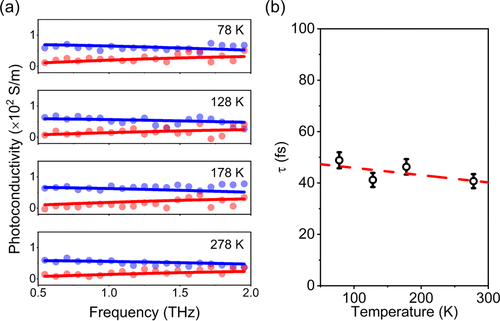
图 3. TPB-TFB COF 薄膜的太赫兹光电导率和散射时间的温度依赖性。
随温度变化的太赫兹光导率测量证实了TPB-TFB COF薄膜中的带状电荷传输,显示了移动性的负温度依赖。此外,由于杂质散射在限制电荷迁移率方面起着不可忽视的作用,因此仍有很大的空间来进一步提高迁移率。
作者的研究结果对二维COF走向电子学具有重要意义,因为它们不仅揭示了二维COF的内在电荷传输机制,而且还证明了生产具有高迁移率的二维COF的可能性以及高结晶TPB-TFB COF薄膜与有机电子学的相关性。
Outstanding Charge Mobility by Band Transport in Two-Dimensional Semiconducting Covalent Organic Frameworks
Shuai Fu, Enquan Jin, Hiroki Hanayama, Wenhao Zheng, Heng Zhang, Lucia Di Virgilio, Matthew A. Addicoat, Markus Mezger, Akimitsu Narita, Mischa Bonn*, Klaus Müllen*, and Hai I. Wang*
DOI: 10.1021/jacs.2c02408
原文链接:https://pubs.acs.org/doi/10.1021/jacs.2c02408