首页 >
行业动态 > 兼具高热力学与动力学协同分离性能的微孔 MOF 用于丙烯 / 丙烷高效分离
兼具高热力学与动力学协同分离性能的微孔 MOF 用于丙烯 / 丙烷高效分离
浙江理工大学高俊阔、中国散裂中子源缪平、中山大学林锐标与陈邦林教授合作在《Nature Communications》发表研究,开发出ZSTU-10微孔 MOF 材料,采用溶剂模板策略构建门 - 通道 - 空腔一体化孔结构,精准筛分丙烯 / 丙烷,同步突破传统分子筛热力学 - 动力学权衡限制。298 K、1 bar 下丙烯体积吸附量达97.7 cm³ cm⁻³,扩散系数4.29×10⁻⁹ cm² s⁻¹,较基准材料高两个数量级;动态突破实验可制备99.1% 高纯度丙烯,单次循环产能37.5 L kg⁻¹,为低碳烃高效节能分离提供全新方案。

研究背景
1. 行业核心难题
丙烯是石化工业核心原料,工业生产中伴生丙烷,二者沸点相近,传统低温精馏工艺能耗极高、设备庞大,占全球能耗约 0.3%,亟需低能耗替代技术。刚性分子筛虽选择性优异,但窄孔道导致吸附容量与扩散动力学难以兼顾,热力学 - 动力学存在固有权衡矛盾。
2. 现有研究方案
学界已开发沸石、活性炭、MOF 等吸附材料:热力学分离依赖开放金属位点提升亲和力,但再生能耗高;动力学分离靠孔径调控实现扩散差异,却易选择性不足;分子筛分 MOF 可实现超高选择性,但普遍存在扩散慢、容量低的缺陷。
3. 本文创新思路
采用醇类溶剂模板精确调控 3–5 Å 孔径,设计门 - 通道 - 空腔多级孔结构:局部筛分门精准择形、大尺寸扩散通道加速传质、中心空腔实现高容量储存;突破传统分子筛结构悖论,同步实现高选择性、高容量与快扩散,兼顾热力学与动力学优势。
实验部分
1. ZSTU 系列 MOF 的溶剂模板合成
以碳酸锌、1,2,4 - 三氮唑、草酸为原料,分别以正丁醇 / 正丙醇 / 异丙醇为结构导向剂,水热法制备 ZSTU-10/11/12 同构 MOF。ZSTU-10 在正丁醇模板下获得最优孔径,原料廉价易得,可规模化制备,原料成本约50.1 美元 kg⁻¹。
2. 静态吸附性能测试
298 K、1 bar 下测试单组分吸附:ZSTU-10 对丙烯97.7 cm³ cm⁻³,完全排斥丙烷;0.1 bar 低压下达92.5 cm³ cm⁻³,吸附量比24.5,IAST 选择性7×10³,亨利选择性124,远超同类材料。
3. 吸附动力学测试
283–318 K 下时间依赖吸附实验,测得丙烯扩散系数4.29×10⁻⁹ cm² s⁻¹,动力学选择性286,平衡 - 动力学综合选择性2×10³,扩散速率较 Co-gallate、KAUST-7 等高两个数量级。
4. 动态突破与循环实验
等摩尔丙烯 / 丙烷混合气固定床测试:丙烷先出峰,丙烯保留时间长,可获得99.1% 高纯丙烯,动态吸附容量2.76 mmol g⁻¹;5 次循环性能无衰减,448 K 下易再生,稳定性优异。
5. 稳定性评估
空气暴露 15 天、水 / 有机溶剂 / 酸碱(pH=2、4、10、12)浸泡一周,结构保持完整;热稳定性达400 ℃,满足工业严苛环境要求。
分析测试
1. 晶体结构表征
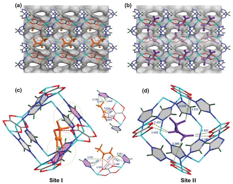
单晶 X 射线衍射证实:ZSTU-10 为单斜 P2₁/c 空间群,dmc 拓扑结构;Zn²⁺为五配位,二维 [Zn (TRZ)]ₙ层经草酸柱撑成三维网络;筛分门尺寸4.4×3.4 Ų,精确介于丙烯(3.8×4.1 Ų)与丙烷(3.3×4.2 Ų)之间,实现尺寸筛分。
2. 孔结构参数
77 K N₂吸附:BET 比表面积406.2 m² g⁻¹,总孔体积0.18 cm³ g⁻¹,孔径分布集中于3.9 Å,为超微孔材料;溶剂可及孔体积40.2%,孔道结构稳定。
3. 热力学参数
丙烯吸附焓45.5 kJ mol⁻¹,属中等强度吸附,兼顾吸附容量与再生能耗;丙烯孔内堆积密度633 g L⁻¹,接近液态丙烯密度,填充效率极高。
4. 主客体作用表征
中子粉末衍射与 GCMC、DFT-D 计算:丙烯通过 C–D…O(2.386–3.402 Å)、C–D…N(2.048–3.361 Å)氢键锚定在孔腔,每个晶胞吸附 2 个丙烯分子,与实验吸附量高度吻合。
机理分析
1. 尺寸筛分机制
ZSTU-10 筛分门截面积14.96 Ų,介于丙烯(13.86 Ų)与丙烷(15.58 Ų)之间,刚性框架确保孔径不变,实现丙烷完全动力学排斥、丙烯选择性通过。
2. 传质强化机制
扩散通道(4.7×3.0 Ų)阻力低、路径短,配合大尺寸中心空腔(8.5×6.3×6.5 ų),大幅提升丙烯扩散速率,解决传统窄孔分子筛扩散慢难题。
3. 高容量机制
中心空腔提供充足储存空间,多重弱相互作用实现丙烯高密度有序堆积,吸附量接近液态,突破分子筛容量限制。
4. 协同分离机制
筛分门负责精准择形(动力学)、扩散通道保障快传输、中心空腔实现高容量(热力学),三者协同打破权衡,实现同步优化。



总结
首创门 - 通道 - 空腔一体化微孔 MOF(ZSTU-10),通过溶剂模板精确调控孔径,实现丙烯 / 丙烷热力学 - 动力学协同分离,突破传统分子筛固有缺陷。
材料性能全面领先:高吸附容量、快扩散速率、超高选择性、易再生、强稳定性,动态实验获99.1% 高纯丙烯,产能37.5 L kg⁻¹,具备工业应用潜力。
提出孔径精准调控与多级孔结构设计策略,为低碳烃、气体混合物高效分离材料开发提供全新范式,推动吸附分离技术绿色节能升级。
文章标题:Microporous MOF for simultaneous high thermodynamic and kinetic synergistic separation of propylene and propane
文章作者:Xue Wang, Lingxiang Bao, Jing-Hong Li, Tao Zhao, Libo Li, Shuki Torii, Hongwei Chen, Takashi Kamiyama, Ping Miao, Rui-Biao Lin, Banglin Chen & Junkuo Gao
DOI:10.1038/s41467-026-71104-9
文章链接:https://www.nature.com/articles/s41467-026-71104-9
本文为科研用户原创分享,用于学术宣传交流,具体细节请查阅原文。如有错误、侵权,请联系修改删除,未经允许不得复制转载。