首页 >
行业动态 > 气固反应快速构建手性 MOFs 用于高效对映选择性传感
气固反应快速构建手性 MOFs 用于高效对映选择性传感
南开大学师唯教授团队开发无模板、无溶剂气固反应,快速合成分级孔手性金属有机框架 CMOF‑T 与 CMOF‑S,实现手性药物及其中间体的超快、高选择性对映传感。CMOF‑S 对多种手性底物对映选择性最高达4.34,响应速度仅约10 s,可精准测定对映体过量值(ee)。机理表明,材料光物理过程决定传感行为,分级手性孔道与客体的选择性主客体作用是高对映选择性的核心。该方法为手性 MOFs 的绿色、高效、规模化合成提供新路径,构筑了高性能实时对映选择性传感平台。

研究背景
1. 行业关键问题
手性化合物不同对映体药理、毒理差异显著,手性药物研发与质控亟需高效、快速的对映选择性分析与 ee 值检测手段。
传统手性分析流程复杂、成本高;手性 MOFs 虽为理想传感材料,但常规溶液法合成耗时久、手性源利用率低、溶剂消耗大,扩孔易破坏骨架稳定性,难以兼顾大孔、高稳定性与高手性利用率。
2. 现有研究方案
手性 MOFs 构筑主要依赖延长手性配体、多核次级结构单元、后修饰、手性缺陷工程等,但多伴随稳定性下降、手性基团负载不均、孔结构调控困难等问题。
传统后合成修饰多在溶液中进行,手性前体转化不完全、反应可逆性强,难以实现手性单元的高效、完全引入。
3. 本文创新思路
首创无溶剂气固后合成反应,以热解缺陷 Zr‑MOF 为基底,手性氨基酸(L‑苏氨酸、L‑丝氨酸)气相升华并与 Zr₆簇配位,15 min 内完成手性功能化,手性前体完全利用。
产物兼具分级孔道、高结构稳定性与强发光特性,实现对映选择性传感的超快响应与超高选择性,突破溶液法合成与性能瓶颈。
实验部分
1. 母体 MOF 制备与热解活化
以 Zr₆簇为金属节点、对苯二甲酸(BDC²⁻)为配体,合成高稳定性 UiO‑67 型 Zr‑MOF;在惰性气氛下轻度热解,制备含配位缺陷的缺陷 MOF,为后续手性基团锚定提供位点。
2. 气固反应合成手性 MOFs
CMOF‑T:减压条件下,热解 MOF 与升华 L‑苏氨酸(190–195 ℃)气固反应,<15 min 得到苏氨酸功能化手性 MOF。
CMOF‑S:减压条件下,热解 MOF 与升华 L‑丝氨酸(185–190 ℃)气固反应,<15 min 得到丝氨酸功能化手性 MOF。
全程无溶剂、无模板,手性前体完全转化,产率高、成本低、可放大。
3. 对映选择性传感性能测试
选取布洛芬、1,2‑二苯基乙二胺、辛可尼丁 / 辛可宁三对手性药物 / 中间体,在 DMF 中测试发光传感性能,测定响应时间、循环稳定性、对映选择性与 ee 值响应线性。
4. 循环与稳定性验证
进行至少 5 次循环传感实验,测试 pH 3–10 水溶液及常见溶剂中的结构与发光稳定性,验证实际应用潜力。
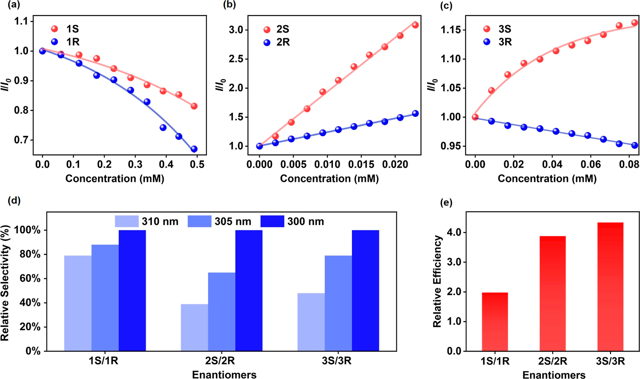
实验突破:气固法实现手性 MOF 超快绿色合成;CMOF‑S 实现10 s超快响应,对映选择性高达 4.34,为同领域顶尖水平,且可定量检测 ee 值,循环性能优异。
分析测试
1. 结构与组成表征
PXRD:CMOF‑T、CMOF‑S 保持高结晶度与相纯度,无杂质相。
FT‑IR:手性氨基酸羧基伸缩振动峰位移,证实与 Zr₆簇配位。
热重分析:CMOF‑T 在 105–265 ℃额外失重约11.2%,CMOF‑S 在 110–245 ℃额外失重约11.7%,定量证明手性配体成功负载。
¹H NMR:消解后测定配体比例,确认手性基团完全引入骨架。
2. 孔结构参数
77 K N₂吸附:CMOF‑T、CMOF‑S 比表面积低于母体 MOF,孔结构清晰。
孔径分布:CMOF‑T 主孔径14.0 Å;CMOF‑S 呈现9.0 Å与14.0 Å双分级孔道,适配不同尺寸手性客体。
3. 稳定性测试
材料在 pH 3–10 水溶液及常用溶剂中结构与发光保持稳定,稳定性与母体 MOF 相当,满足复杂体系传感需求。
4. 发光与传感性能
发光峰位:母体 MOF 406 nm,CMOF‑T/CMOF‑S 408 nm,源于配体 π→π* 跃迁。
响应时间:加入对映体后发光信号10 s 内达稳定,实现实时检测。
选择性:CMOF‑S 对 1S/1R、2S/2R、3S/3R 的相对选择性效率分别为1.98、3.88、4.34,显著优于 CMOF‑T。
ee 值响应:发光强度与 ee 值呈良好线性 / 指数关系,可精准定量。
循环性:5 次循环后性能衰减 < 1%,结构与选择性保持完好。
机理分析
1. 发光传感机理
竞争吸收(CA)、福斯特共振能量转移(FRET)、光电子转移(PET)导致发光猝灭;辐射能量转移(RET)引发发光增强。
1S/1R:CA+FRET 共同导致猝灭;2S/2R:强 RET 主导增强;3S/3R:PET、FRET、RET、CA 共存,3R 以猝灭为主,3S 以增强为主,呈现差异化响应。
荧光寿命无明显变化,证实为静态猝灭 / 增强为主。
2. 对映选择性来源
CMOF‑S 含分级手性孔道,L‑丝氨酸末端‑CH₂‑OH 空间位阻小于 L‑苏氨酸的‑CH (CH₃)‑OH,更利于 S‑对映体进入孔道并形成特异性主客体作用。
UV‑vis 与 ¹H NMR 证明 CMOF‑S 对 S‑对映体吸附量显著高于 R‑对映体,孔内手性微环境调控能量传递效率,最终产生高对映选择性。



总结
建立无溶剂、无模板、超快气固后合成新策略,15 min 内完成手性 MOF 制备,手性前体完全利用,绿色可规模化。
成功制备 CMOF‑T 与 CMOF‑S,兼具分级孔道、高稳定性与优异发光性能,CMOF‑S 实现10 s超快响应、对映选择性最高 4.34,可精准检测 ee 值。
阐明多重光物理过程协同决定传感行为,分级手性孔道的选择性主客体作用是高性能核心,为手性传感材料理性设计提供分子级机理指导。
为手性药物质控、不对称合成实时监测、环境手性分析等应用提供稳定、高效、快速的传感新平台。
文章标题:Gas–Solid Reaction to Rapidly Construct Chiral MOFs for Efficient Enantioselective Sensing
文章作者:Tiankai SunZongsu HanYue MaoYuanjian WuWenyue CuiJianfeng LiPeng ChengHong-Cai ZhouWei Shi*
DOI:10.1021/jacs.6c00401
文章链接:https://pubs.acs.org/doi/10.1021/jacs.6c00401
本文为科研用户原创分享,用于学术宣传交流,具体细节请查阅原文。如有错误、侵权,请联系修改删除,未经允许不得复制转载。