首页 >
行业动态 > 超疏水多孔聚合物负载单原子铜用于提升实际工况下的氨气捕集性能
超疏水多孔聚合物负载单原子铜用于提升实际工况下的氨气捕集性能
福州大学刘福建教授团队在《AIChE Journal》发表的研究中,针对金属基氨气吸附剂在含水蒸气、二氧化硫、氮氧化物等复杂工业气氛中易出现金属流失、矿化失活的关键问题,通过将单原子铜锚定在羧基改性超疏水纳米多孔聚二乙烯苯(N‑PDVB‑COOH)载体上,构建出新型 Cu‑羧基活性中心,制备得到 xCu@N‑PDVB‑COOH 吸附剂。该材料在 25 ℃、1.0 bar 条件下氨气吸附容量高达 18.1 mmol/g,对 NH₃/N₂、NH₃/H₂、NH₃/H₂O 的 IAST 选择性分别为 8498、9469、101.3,在水蒸气、SO₂、NOₓ共存的极端环境中仍保持结构完整,无铜流失与矿化现象,循环 50 次性能衰减小于 3%,综合性能优于现有文献报道的吸附剂。同步辐射表征与理论计算证实,每个 Cu‑羧基中心可通过 Cu‑N 配位与多重氢键协同吸附 4 个 NH₃分子,超疏水骨架可有效排斥干扰组分,为耐水、抗腐蚀型高效氨气分离材料提供了全新设计范式。

研究背景
1. 行业核心问题
氨气作为氢能载体与工业污染物,其高效捕集是氢能燃料电池与工业尾气治理的关键;痕量氨气(≥1.0 ppm)会导致燃料电池铂催化剂不可逆中毒,效率下降超 50%。
传统吸附剂(活性炭、沸石、磺酸基改性材料)存在氨气吸附容量低、选择性差、耐湿性差的缺陷,在含水气氛中易生成铵盐导致结构失活。
金属基吸附剂(尤其是 MOFs)虽吸附性能优异,但在水蒸气、腐蚀性杂质共存的实际工况下,金属位点极易流失、矿化,稳定性极差,无法满足工业应用需求。
2. 现有研究方案
学界通过构建金属活性位点提升氨气吸附选择性,MOFs 凭借可调控金属位点与高孔隙率成为研究热点,实现了高氨气吸附容量。
多孔有机聚合物凭借化学稳定性与可功能化优势,被用于氨气吸附剂载体设计,但多数材料未解决界面疏水性与金属位点稳定性的协同问题。
现有研究普遍忽视表面疏水性调控,无法解决含水、腐蚀性气氛下金属位点失活的行业痛点。
3. 本文创新思路
首次将超疏水纳米多孔聚二乙烯苯作为单原子金属载体,利用羧基与铜的配位作用稳定单原子铜,构建 Cu‑羧基活性中心。
提出 “超疏水骨架屏蔽干扰 + 原子级活性中心精准吸附” 双功能设计策略,既实现氨气特异性识别,又排斥水蒸气、SO₂、NOₓ等干扰物。
将单原子铜策略拓展至 Ni、Co 等金属,建立耐水抗腐蚀气体分离吸附剂的通用制备平台。
实验部分
1. 材料合成实验
以偶氮二异丁腈为引发剂,二乙烯苯为交联剂,甲基丙烯酸为功能单体,乙酸乙酯为溶剂,通过溶剂热共聚法制备羧基改性超疏水 N‑PDVB‑COOH 载体。
采用可控配位法将单原子铜锚定在载体上,制备不同铜负载量的 xCu@N‑PDVB‑COOH(6.3Cu、16.7Cu、25.6Cu),其中 16.7Cu@N‑PDVB‑COOH 为最优组分。
2. 氨气静态吸附实验
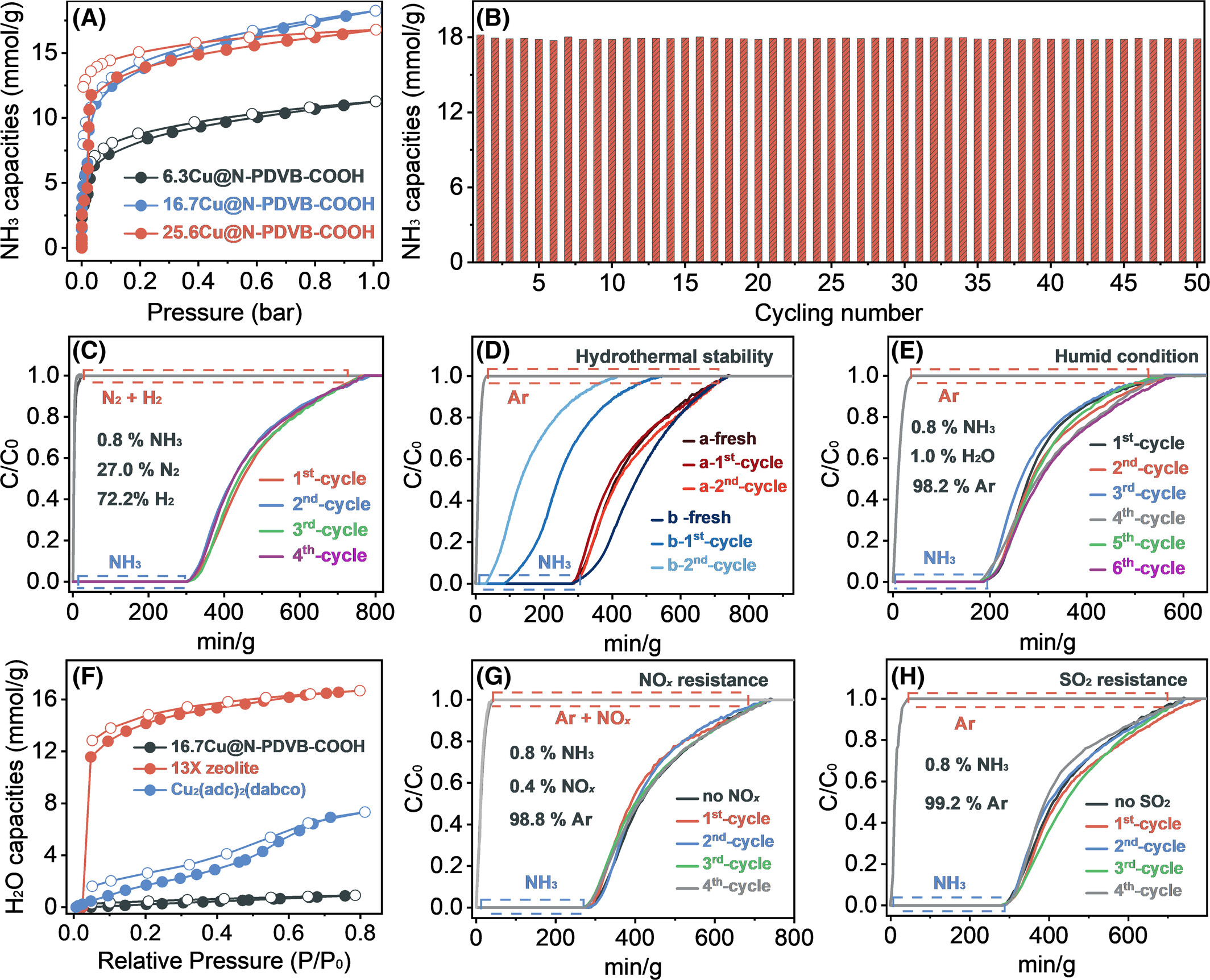
在 25 ℃、1.0 bar 下测试,16.7Cu@N‑PDVB‑COOH 氨气吸附容量达 18.1 mmol/g,远高于纯载体(6.5 mmol/g)、6.3Cu(11.2 mmol/g)与 25.6Cu(16.7 mmol/g)。
温度升高吸附容量下降,50 ℃、75 ℃时分别为 16.1 mmol/g、13.9 mmol/g,证实吸附为放热过程。
3. 循环稳定性实验
连续进行 50 次吸附‑解吸循环,16.7Cu@N‑PDVB‑COOH 氨气吸附容量保持率超 97%,无明显性能衰减,循环稳定性远超 MOFs 与沸石类吸附剂。
4. 动态穿透实验
对 NH₃/N₂/H₂(0.8 vol%/27 vol%/72.2 vol%)混合气体动态分离,饱和动态容量达 3.12 mmol/g,可高效选择性捕集氨气。
高温(50 ℃、75 ℃)下仍保持稳定分离性能,4 次动态循环后容量无损失。
5. 极端工况耐受性实验
水热稳定性:120 ℃水热处理 2 次,容量仅下降 1.6%;对比 MOFs、13X 沸石、磺酸基改性 PDVB 分别下降 38.4%、63%、59.9%。
耐湿性:含水蒸气气氛中 6 次循环后性能保留 98.7%,对比样 2 次循环即大幅衰减。
抗腐蚀性:4000 ppm NOₓ、纯 SO₂气氛中连续多轮实验,氨气吸附容量与穿透时间无明显变化,抗中毒性能显著优于传统吸附剂。
实验突破:首次实现超疏水骨架与单原子金属活性中心的协同,在复杂工业工况下同时兼顾高容量、高选择性与高稳定性,解决了金属基吸附剂易失活的行业难题。
分析测试
1. 结构与形貌表征
XRD:样品为无定形结构,铜物种在载体中高度分散,无晶相铜物种出现。
N₂吸附‑脱附:纯 N‑PDVB‑COOH 的 BET 比表面积 357.1 m²/g,孔体积 0.72 cm³/g;16.7Cu@N‑PDVB‑COOH 比表面积 69.1~113.6 m²/g,孔体积 0.25~0.34 cm³/g,铜负载后孔结构仍完整保留。
水接触角:16.7Cu@N‑PDVB‑COOH 水接触角 150°,具备超疏水特性。
AC‑HAADF‑STEM:铜以孤立单原子形式均匀分散在载体中,无团聚现象;元素 mapping 证实 C、Cu 元素分布均匀。
2. 化学配位结构测试
FT‑IR:羧基 C=O 伸缩峰(1693 cm⁻¹)强度显著降低,新出现 1577 cm⁻¹ 特征峰,证实羧基与 Cu (II) 成功配位。
XPS:Cu 以 + 2 价存在,C‑O 与 C=O 信号发生位移,印证 Cu 与羧基的电子相互作用;铜负载量 25.6% 时出现未配位 CuCl₂,验证 16.7% 为最优负载量。
同步辐射 XAFS:Cu (II) 为 + 2 价,配位构型为 Cu‑O₂Cl₂,总配位数为 4,Cu‑O 与 Cu‑Cl 配位数均约为 2,局部配位环境高度有序。
3. 吸附选择性与热力学测试
IAST 选择性:NH₃/N₂=8498、NH₃/H₂=9469、NH₃/H₂O=101.3,远高于 13X 沸石与 Cu‑MOF。
吸附焓:37.4 kJ/mol,介于物理吸附与化学吸附之间,兼顾吸附强度与可逆性。
水蒸气吸附:25 ℃、P/P₀=0.8 时吸水率仅 0.9 mmol/g,远低于 13X 沸石(16.7 mmol/g)与 Cu‑MOF(9.4 mmol/g),耐湿性优异。
4. 原位表征
原位 DRIFTS:观测到 NH₃与 Cu 位点形成 Cu‑NH₃σ 配位键,升温后键合可逆解离,证实吸附过程高度可逆。
VSANS:氨气吸附后载体界面光滑度提升,孔道内吸附均匀,Cu‑羧基中心稳定锚定。
吸附后 XAFS:Cu 总配位数由 4 升至 6,新增 Cu‑N 配位,证实氨气通过配位作用吸附。
测试揭示:单原子铜在超疏水载体上高度分散且配位稳定,材料兼具高孔隙、超疏水、高选择性吸附特性,可在复杂气氛中稳定工作。
机理分析
1. 活性中心构建机理
羧基与 Cu (II) 通过 O→Cuσ 配位键形成稳定 Cu‑O₂Cl₂结构,超疏水 N‑PDVB 骨架提供物理屏障,阻止水分子与腐蚀性气体接触活性中心,避免铜流失与矿化。
2. 氨气吸附机理
第一步:单原子 Cu (II) 的空轨道与 NH₃孤对电子形成 N→Cuσ 配位键,每个 Cu 中心可结合 2 个 NH₃分子,配位焓分别为‑33.43 kJ/mol、‑37.11 kJ/mol。
第二步:已配位 NH₃与载体 Cl 位点、已吸附 NH₃形成三重氢键,再稳定结合 2 个 NH₃分子,总吸附计量比为 1 个 Cu‑羧基中心吸附 4 个 NH₃分子,与实验值 3.5~4.5 高度吻合。
3. 抗干扰机理
超疏水骨架的低表面能排斥水分子,降低水蒸气竞争吸附;Cu‑羧基中心对 NH₃的配位亲和力远高于 SO₂、NOₓ,实现选择性吸附的同时抵抗中毒。
4. 循环稳定机理
Cu‑羧基配位键与 NH₃的作用高度可逆,110 ℃真空即可完成解吸,骨架与活性中心无结构损伤,保障长循环稳定性。



总结
成功开发超疏水多孔聚合物负载单原子铜吸附剂,构建稳定 Cu‑羧基活性中心,实现氨气高容量、高选择性、高稳定性捕集。
系统揭示单原子铜与氨气的配位‑氢键协同吸附机理,明确超疏水骨架在抗水、抗腐蚀中的关键作用。
建立单原子金属(Cu、Ni、Co)/ 超疏水聚合物吸附剂的通用设计策略,为复杂工况气体分离提供新方向。
文章标题:Superhydrophobic porous polymer-supported atomic copper for boosting ammonia capture under real-world conditions
文章作者:Wentao Zhang, Caihua Chen, Chi Ma, Shouchao Zhong, Yong Zheng, He Cheng, Fujian Liu, Lilong Jiang
DOI:10.1002/aic.70395
文章链接:https://aiche.onlinelibrary.wiley.com/doi/10.1002/aic.70395
本文为科研用户原创分享,用于学术宣传交流,具体细节请查阅原文。如有错误、侵权,请联系修改删除,未经允许不得复制转载。