首页 >
行业动态 > 【MOF吸附SF₆】吡啶功能化锌吡唑框架实现六氟化硫吸附容量与动力学同步提升
【MOF吸附SF₆】吡啶功能化锌吡唑框架实现六氟化硫吸附容量与动力学同步提升
摘要:
北京工业大学张鑫、李建荣老师等报道的本篇文章(Angewandte Chemie International Edition , 2026; 0:e5036296)中报道了一种通过等网状功能化策略修饰的锌吡唑金属有机框架(BUT-125),实现了六氟化硫(SF₆)吸附容量与吸附动力学的同步增强。该材料通过在配体中用吡啶替代苯环,在298 K、0.1 bar条件下展现出3.57 mmol cm⁻³的创纪录SF₆吸附容量,较结构类似物Zn-DPB提升27%。密度泛函理论(DFT)计算表明,吡啶功能化提高了分子捕获位点中氢原子的正电荷密度,强化了C-H…F与SF₆分子的相互作用。更重要的是,BUT-125兼具优异的吸附动力学,从10/90 SF₆/N₂混合物中获得3.42 mmol cm⁻³的超高动态吸附容量,性能超越已报道多孔吸附剂,为强效温室气体SF₆的捕获提供了高效解决方案。

研究背景:
1.行业问题
1) SF₆是全球变暖潜能值(GWP)达CO₂ 23900倍的强效温室气体,广泛应用于电力行业,但其工业废气中浓度低(约10%)且化学惰性强,动态捕获难度极大。
2) 传统低温蒸馏法能耗高、经济性差,焚烧处理易产生二次污染;现有多孔材料多通过减小孔径强化限域作用,但会牺牲孔体积与气体扩散动力学,难以兼顾吸附容量与速率。
2.研究现状
1) 金属有机框架(MOFs)凭借可设计的孔结构与分子识别位点,在SF₆/N₂分离中展现潜力,但多数材料存在吸附容量与动力学难以协同优化的问题,热力学因素对吸附动力学的调控尚未充分探索。
2) 等网状功能化是MOF孔环境调控的有效手段,已用于气体分离领域,但针对SF₆捕获的配体功能化修饰及构效关系研究仍有待深入。
3.本文创新
1) 提出吡啶功能化的等网状修饰策略,在保持MOF骨架结构不变的前提下,通过电子吸电子基团引入调控分子捕获位点的静电特性,强化与SF₆的相互作用。
2) 首次实现SF₆吸附容量与动力学的同步提升,BUT-125兼具高平衡吸附量、快扩散速率与高选择性,解决了传统材料“容量-动力学”的trade-off难题。

实验和分析:
1.材料合成:
1) 配体合成:以3,5-二溴吡啶为原料,与叔丁基-4-(4,4,5,5-四甲基-1,3,2-二氧硼杂环戊烷-2-基)-1H-吡唑-1-羧酸酯经Suzuki偶联反应,再经盐酸脱保护、氨水调pH值,得到配体3,5-二(1H-吡唑-4-基)吡啶(H₂DPP),产率经柱层析纯化后达标。
2) MOF制备:BUT-125通过溶剂热法合成,将Zn(NO₃)₂·6H₂O(0.024 mmol)与H₂DPP(0.024 mmol)在含500 μL 0.1 M HCl的2 mL N,N-二甲基甲酰胺(DMF)中混合,120 ℃反应12 h,产物经DMF洗涤、甲醇溶剂交换2天,120 ℃真空活化12 h得到目标材料;Zn-DPB采用类似方法,以ZnSO₄·7H₂O与1,3-二(吡唑-4-基)苯(H₂DPB)为原料,100 ℃反应12 h制得。
2.表征结果:
1) 晶体结构与孔隙特性:
a) PXRD分析:采用BRUKER D8-Focus衍射仪(Cu Kα辐射,λ=1.54178 Å),BUT-125与Zn-DPB均结晶于四方晶系I4₁/amd空间群,实验图谱与模拟结果吻合,纯度高;BUT-125晶胞参数a=b=22.9945 Å、c=12.4684 Å,Zn-DPB为a=b=23.0613 Å、c=12.5409 Å。
b) 孔隙性能:77 K下N₂吸附-脱附实验显示,BUT-125的BET比表面积为1061.8 m²·g⁻¹,孔体积0.39 cm³·g⁻¹,均高于Zn-DPB(890.2 m²·g⁻¹、0.36 cm³·g⁻¹),且与PLATON计算的理论孔体积(BUT-125 0.41 cm³·g⁻¹、Zn-DPB 0.38 cm³·g⁻¹)高度吻合,证实活化完全。
2) 稳定性与光谱表征:
a) 热稳定性:热重分析(TGA)表明,BUT-125与Zn-DPB分别在450 ℃和500 ℃左右分解,展现出良好的热稳定性。
b) FT-IR光谱:BUT-125中吡唑环的N-H伸缩与弯曲振动峰消失,证实配体与Zn²⁺成功配位。
3) 理论计算表征:
a) 电荷分布:DFT计算显示,BUT-125中吡啶环氢原子的部分电荷(0.125-0.155)高于Zn-DPB中苯环氢原子(0.118-0.147),为强化C-H…F相互作用提供电子基础。
b) 结合能:SF₆在BUT-125的两个吸附位点(Site-I、Site-II)结合能分别为46.1 kJ·mol⁻¹和32.5 kJ·mol⁻¹,均高于Zn-DPB(43.6 kJ·mol⁻¹、28.4 kJ·mol⁻¹)。
3.应用性能测试:
1) 静态吸附性能:298 K下,BUT-125在1 bar时SF₆吸附容量达4.53 mmol cm⁻³(较Zn-DPB提升24%),0.1 bar时为3.57 mmol cm⁻³(提升27%),是已报道材料中的最高值;SF₆/N₂(10/90)混合物的IAST选择性为541.8,高于Zn-DPB(438)。
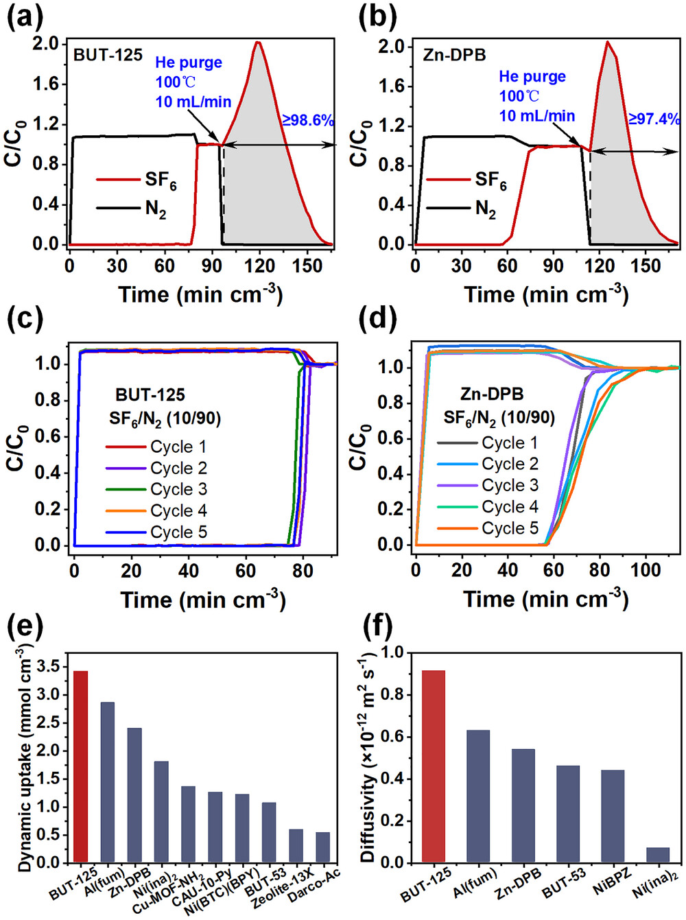
2) 动态分离性能:采用内径4.6 mm×长度50 mm的不锈钢柱,填充活化后的MOF,通入10/90 SF₆/N₂混合气体(流速10 mL·min⁻¹),BUT-125的SF₆穿透时间为76.6 min·cm⁻³,动态吸附容量达3.42 mmol cm⁻³,较Zn-DPB(2.39 mmol cm⁻³)提升43%,且脱附后可回收纯度≥98.6%的SF₆。
3) 吸附动力学:微孔扩散模型拟合显示,BUT-125的SF₆扩散系数为9.15×10⁻¹³ m²·s⁻¹,远高于Zn-DPB(5.39×10⁻¹³ m²·s⁻¹)及其他基准材料(Al(fum) 6.30×10⁻¹³ m²·s⁻¹、Ni(ina)₂ 0.68×10⁻¹³ m²·s⁻¹)。
4) 循环稳定性:五次吸附-脱附循环后,BUT-125的PXRD图谱、SEM形貌及N₂吸附性能无明显变化,SF₆吸附容量保持稳定,展现出优异的循环复用性。
4.机理分析:
1) 协同增强机制:吡啶的吸电子特性提高了MOF分子捕获位点中氢原子的正电荷密度,缩短了C-H…F键距(BUT-125 2.115-3.362 Å vs Zn-DPB 2.305-3.975 Å),强化主-客体相互作用;同时3D互联孔结构降低扩散阻力,热力学驱动力与动力学优势协同提升吸附性能。
2) 选择性分离机制:MOF中~5.5 Å的空腔与SF₆分子(~4.9 Å)尺寸匹配,形成有效分子陷阱,对SF₆产生特异性限域作用,而对较小的N₂分子相互作用微弱,实现高选择性分离。



总结:
1. 通过吡啶功能化的等网状修饰策略,成功合成了高性能SF₆捕获MOF材料BUT-125,其0.1 bar下SF₆吸附容量(3.57 mmol cm⁻³)与动态吸附容量(3.42 mmol cm⁻³)均创同类材料纪录。
2. 首次实现SF₆吸附容量与动力学的同步提升,阐明了配体功能化调控分子捕获位点静电特性的作用机制,为解决多孔材料“容量-动力学”权衡难题提供了新路径。
3. 材料兼具高选择性(SF₆/N₂ IAST选择性541.8)与优异循环稳定性,脱附后可回收高纯度SF₆,为工业废气中SF₆的高效捕获与资源化利用提供了实用化材料与理论支撑。
Simultaneous Boost of SF₆ Adsorption Capacity and Kinetics Through Isoreticular Functionalization of Zinc(II)-Pyrazolate Frameworks
文章作者:Xiang-Yu Li, Yan-Long Zhao, Xin Zhang, Xuefeng Bai, Muzi Li, Jian-Rong Li
DOI:10.1002/anie.5036296
文章链接:https://onlinelibrary.wiley.com/doi/10.1002/anie.5036296
本文为科研用户原创分享用于学术宣传交流,具体内容请查阅上述论文,如有错误、侵权等请联系修改、删除。未经允许第三方不得复制转载。