首页 >
行业动态 > 【Ce-UiO-66-X】单体工程化金属有机框架揭示光催化CO₂环加成反应机理
【Ce-UiO-66-X】单体工程化金属有机框架揭示光催化CO₂环加成反应机理
摘要:
中国科学院宁波材料技术与工程研究所杨其浩、陈亮和中国科学技术大学江海龙老师等报道的本篇文章中报道了一系列通过linker工程调控缺陷密度的铈基金属有机框架(Ce-UiO-66-X,X=Me、H、F),并系统阐明其光催化CO₂环加成反应机理。其中,Ce-UiO-66-H因在光吸收与电荷分离之间达到最优平衡,与四丁基溴化铵(TBAB)助催化剂耦合时展现出卓越催化性能(产率>90%)。原位实验与理论计算证实,TBAB通过形成[Br⁻…TBA⁺]·CO₂加合物稳定CO₂,将CO₂⁻生成的热力学能量需求从直接还原路径的0.66 eV降至-0.90 eV,促进光电子从MOF向CO₂高效转移,显著提升环加成反应效率。

研究背景:
1. 行业问题
1) CO₂光催化环加成是太阳能驱动合成高附加值C₂化学品的理想路径,但CO₂直接单电子还原为CO₂⁻需高达-1.9 V(vs. NHE)的还原电位,热力学能垒极高,构成巨大挑战。
2) 传统热驱动CO₂环加成反应依赖化石能源,存在碳排放悖论;现有光催化剂的最低未占分子轨道(LUMO)能级多无法满足CO₂还原电位要求,且助催化剂TBAB的阳离子(TBA⁺)作用未被充分揭示。
2. 研究现状
1) 金属有机框架(MOFs)因结构可控、功能可调,成为光催化CO₂转化的理想平台,其中Ce基UiO-66凭借 linker-to-metal电荷转移(LMCT)特性展现潜力,但缺陷密度与电子结构的协同调控仍需优化。
2) 现有研究多聚焦于催化剂活性提升,对CO₂激活的微观机理(尤其是助催化剂的协同作用)缺乏系统阐释,限制了催化体系的定向设计。
3. 本文创新
1) 通过linker官能团工程(Me、H、F取代)精准调控Ce-UiO-66的缺陷密度,构建电子结构可调的光催化平台,揭示缺陷密度与光吸收、电荷转移的构效关系。
2) 首次发现TBAB的双重作用:TBA⁺与CO₂形成加合物降低还原能垒,Br⁻作为亲核试剂促进环氧化物开环,二者协同推动CO₂⁻高效生成,破解传统直接还原路径的热力学限制。

实验和分析:
1. 材料合成:
采用溶剂热法,将Ce(NH₄)₂(NO₃)₆·6H₂O(2.92 g)的10 mL水溶液与含3.2 mmol BDC-X(X=Me、H、F)的10 mL N,N-二甲基甲酰胺(DMF)溶液混合,100 ℃搅拌30 min。反应冷却后离心收集固体,经DMF和乙醇多次洗涤,80 ℃真空干燥,得到Ce-UiO-66-Me、Ce-UiO-66-H、Ce-UiO-66-F三种MOF材料。
2. 表征结果:
1)晶体结构与缺陷特性:
a)PXRD分析:采用Bruker D8 Advance衍射仪(Cu Kα辐射,λ=1.5406 Å),三种材料的衍射图谱与模拟UiO-66吻合,证实等网状骨架结构。
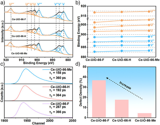
b)缺陷密度表征:X射线光电子能谱(XPS)显示Ce 3d结合能随吸电子取代基强度增加而降低,缺陷密度顺序为Ce-UiO-66-F(37.0%)>Ce-UiO-66-H(17.7%)>Ce-UiO-66-Me(4.5%);正电子湮没寿命谱(PALS)中缺陷敏感的τ₁组分(缺失linker诱导的Ce³⁺-氧空位)寿命与强度趋势一致,佐证linker工程的调控有效性。
c)孔隙性能:77 K下N₂吸附-脱附实验表明,缺陷密度越高,比表面积与孔体积越大,Ce-UiO-66-F的BET比表面积达813 m²·g⁻¹,孔体积0.41 cm³·g⁻¹。
2)电子结构与光物理特性:
a)UV-vis DRS与Mott-Schottky测试:Ce-UiO-66-X的LUMO能级为-0.7~-0.9 V(vs. NHE),HOMO能级为2.07~2.24 V(vs. NHE),均无法直接还原CO₂或环氧化物。
b)电荷动力学:瞬态光电流响应显示Ce-UiO-66-H的光电流密度最高,时间分辨瞬态吸收(TA)光谱证实其光生载流子平均弛豫时间最长(2.51 ns),电子-空穴复合被有效抑制。
c)稳定性测试:热重分析(TGA)表明材料在400 ℃前热稳定;五次循环后PXRD图谱、FT-IR光谱无明显变化,ICP-MS检测显示Ce浸出量仅0.018 wt%,结构与催化稳定性优异。
3. 应用性能测试:
1) 光催化活性:溶剂-free条件下,Ce-UiO-66-H催化环氧氯丙烷与CO₂环加成反应产率达92%,选择性≈100%,优于Ce-UiO-66-Me(75%)与Ce-UiO-66-F(53%);对多种环氧化物(如环氧溴丙烷、1,2-环氧丁烷等)均展现良好兼容性,产率>90%。
2) 条件优化:25 ℃(外部冷却控温)下,光照组转化率(41%)显著高于黑暗组(21%),排除光热效应干扰;替换TBAB为KBr后,光催化活性大幅下降(产率19%),证实TBA⁺的关键作用。
3) 动态性能:热过滤实验表明反应体系无可溶性活性物种,催化剂异相催化特性明确。
4. 机理分析:
1) 自由基生成:原位漫反射红外光谱(DRIFTS)在1726 cm⁻¹处检测到CO₂⁻特征峰,电子顺磁共振(EPR)证实DMPO-CO₂⁻加合物存在,且仅在Ce-UiO-66-H/TBAB/CO₂/光照体系中出现。
2) 助催化机制:DFT计算表明,[Br⁻…TBA⁺]·CO₂加合物的电子亲和能(-0.88 eV)显著高于单独CO₂(0.41 eV)与TBAB(0.016 eV),CO₂吸附能为-0.12 eV,电子转移后O═C═O键角从180°扭曲至133°,实现CO₂高效激活。
3) 电荷转移路径:光照引发linker光激发,通过LMCT过程将电子转移至Ce-氧节点,随后经TBAB介导传递至[Br⁻…TBA⁺]·CO₂加合物生成CO₂⁻,同时Br⁻打开环氧化物环,CO₂⁻进攻环氧化物亲电碳中心,经分子内环化生成环状碳酸酯,完成催化循环。



总结:
1. 通过linker官能团工程成功制备缺陷密度可控的Ce-UiO-66-X系列MOF,吸电子取代基强度与缺陷密度正相关(F>H>Me),Ce-UiO-66-H因平衡光吸收能(ΔEabs)与电荷转移能垒(ΔELMCT)展现最优催化活性。
2. 揭示TBAB的双重协同作用:TBA⁺与CO₂形成加合物降低还原能垒,Br⁻促进环氧化物开环,二者共同破解CO₂光催化还原的热力学难题,为助催化剂设计提供新思路。
3. 建立“linker工程-缺陷密度-电子结构-催化性能”的构效关系,阐明CO₂⁻介导的环加成反应机理,为太阳能驱动CO₂资源化利用提供高效催化体系与理论支撑。
Unveiling the Mechanism of Photocatalytic CO₂ Cycloaddition over Linker-Engineered Metal-Organic Frameworks
文章作者:Hao Liu, Yanle Li, Yunyang Qian, Yansi Tong, Qihao Yang, Jungang Wang, Desheng Su, Yayun Zhao, Ziqi Tian, Zhiyi Lu, Hai-Long Jiang, Liang Chen
DOI:10.1002/anie.202525369
文章链接:https://onlinelibrary.wiley.com/doi/10.1002/anie.202525369
本文为科研用户原创分享用于学术宣传交流,具体内容请查阅上述论文,如有错误、侵权等请联系修改、删除。未经允许第三方不得复制转载。