首页 >
行业动态 > 【冠醚COF】共价有机框架中悬挂型和交错堆叠型醛基的构建及其在两电子氧还原反应中的应用
【冠醚COF】共价有机框架中悬挂型和交错堆叠型醛基的构建及其在两电子氧还原反应中的应用
摘要:
中国科学院上海高等研究院徐庆、曾高峰和香港城市大学毕帅老师等报道的本篇文章(Carbon Neutralization. 2024;3:415–422)中首次构建了具有[4+3]拓扑结构的双功能共价有机框架(COFs):B18C6-TAPB-COF与B18C6-PTTA-COF,将悬挂醛基(-CHO)设计为2e⁻氧还原反应(ORR)催化活性中心。该材料通过交错AB堆叠模式,有效避免催化位点聚集,为物质传输提供充足空间;其中优化后的B18C6-PTTA-COF因吡啶环的引入,显著提升中间体OOH*的结合能力,展现出91%的H₂O₂选择性、12.2 A g⁻¹的质量活性及0.076 s⁻¹的周转频率(TOF),为COFs基电催化剂的活性位点精准设计提供了新思路。

研究背景:
1. 行业问题
1)传统氧掺杂碳基催化剂合成路线复杂,氧官能团的种类与含量难以精准调控,导致2e⁻ ORR催化选择性与活性受限。
2)COFs材料虽具有结构可控性强的优势,但高度有序的堆叠结构易造成催化位点深埋,暴露不足且传质阻力大,制约催化效率。
3)现有COFs基ORR催化剂多依赖框架内嵌入金属活性位点或 heteroatoms 掺杂,单一活性中心设计难以兼顾选择性与催化动力学。
2. 研究现状
1)金属-free COFs已被用于ORR催化研究,但多通过调节电子态优化性能,缺乏对活性位点空间构型与堆叠模式的协同设计。
2)醛基(-CHO)作为潜在氧还原活性中心,因易与反应中间体形成稳定作用被关注,但将其设计为COFs框架外悬挂结构的研究尚未见报道。
3. 本文创新
1)首创[4+3]拓扑合成策略,构建框架外悬挂醛基活性位点,解决传统COFs催化位点暴露不足的问题。
2)实现COFs的交错AB堆叠模式,相较于重叠堆叠,显著降低传质阻力,提升催化位点利用率。
3)通过调节三齿连接体(苯环/吡啶环),精准调控催化中间体结合能力,实现2e⁻ ORR性能的定向优化。
实验和分析:
1. 材料合成
采用溶剂热法,将四甲醛单体(B18C6)分别与三胺单体(TAPB/PTTA)在120°C下于混合溶剂中反应72 h,分别得到B18C6-TAPB-COF(产率85%)与B18C6-PTTA-COF(产率83%),通过席夫碱缩合反应形成稳定骨架并保留悬挂醛基。:
2. 结构表征
1) PXRD:两种COF均呈现c-AB交错堆叠模式,特征衍射峰与模拟图谱高度吻合,晶格参数a=56.5 Å、b=6.74 Å、c=32.81 Å,可靠性因子Rp分别为1.75%(TAPB型)和2.36%(PTTA型),结晶度优异。
2)FT-IR与¹³C NMR:1625 cm⁻¹处出现C=N键特征峰,1692 cm⁻¹处检测到悬挂醛基的C=O伸缩振动,¹³C NMR在159 ppm处出现亚胺碳特征峰,证实骨架形成与醛基保留。
3)N₂吸附:B18C6-TAPB-COF与B18C6-PTTA-COF的BET比表面积分别为549.65 m² g⁻¹和779.29 m² g⁻¹,NLDFT计算显示孔径集中在1.26-2.34 nm,为微孔-介孔复合结构。
4)稳定性测试:在1 M NaOH、1 M HCl、DMF及沸水环境中处理1周后,PXRD图谱与FT-IR特征峰无明显变化,热分解温度超350°C,化学与热稳定性优异。
3. 应用性能测试
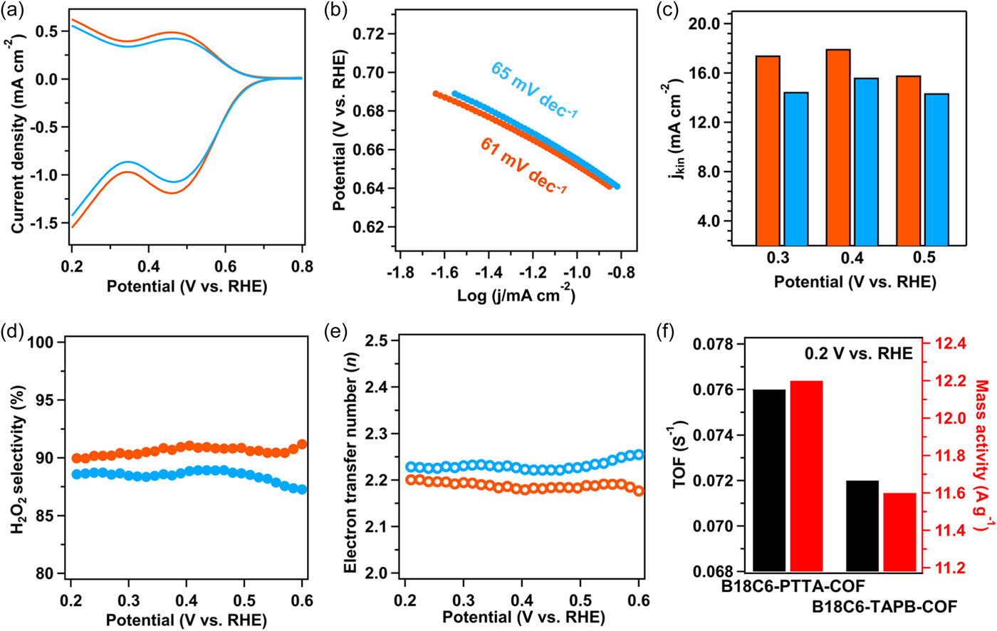
1)电催化2e⁻ ORR性能:在0.1 M KOH电解液中,B18C6-PTTA-COF的起始电位为0.72 V vs. RHE,半波电位0.56 V,Tafel斜率低至61 mV dec⁻¹;在0.2-0.6 V电位区间H₂O₂选择性保持90%-91%,电子转移数n=2.17-2.20,接近理想2e⁻转移路径。
2)活性与稳定性:B18C6-PTTA-COF的质量活性(12.2 A g⁻¹)与TOF值(0.076 s⁻¹)均优于B18C6-TAPB-COF(11.6 A g⁻¹、0.072 s⁻¹);计时安培测试10 h后,选择性与结构完整性保持稳定,醛基与亚胺键未发生降解。
4. 机理分析
1)DFT计算表明,悬挂醛基中的碳原子为主要活性位点,其负电荷分布有利于OOH*中间体吸附;B18C6-PTTA-COF中的吡啶N原子通过电子效应增强OOH*结合能力,自由能变化(1.489 eV)低于B18C6-TAPB-COF(1.541 eV),加速催化动力学。
2)交错AB堆叠模式使悬挂醛基间距达6.7 Å,避免位点聚集,同时1.26-2.34 nm的孔径结构降低传质阻力,协同提升催化效率。



总结:
1. 成功构建具有悬挂醛基与交错堆叠结构的[4+3]拓扑COFs,实现2e⁻ ORR的高选择性(91% H₂O₂)与高活性(12.2 A g⁻¹),解决传统COFs催化位点暴露不足与传质受限的核心问题。
2. 首次将悬挂官能团设计与堆叠模式调控相结合,通过吡啶环修饰定向优化中间体结合能力,为COFs基电催化剂的结构-性能协同设计提供新范式。
3. 材料具备优异的化学稳定性与长期循环稳定性,在绿色过氧化氢合成、燃料电池等领域具有潜在应用价值,推动金属-free COFs在能源转化领域的实用化进程。
Construction of dangling and staggered stacking aldehyde in covalent organic frameworks for 2e⁻ oxygen reduction reaction
文章作者:Shuang Zheng, Zhaofeng Ouyang, Minghao Liu, Shuai Bi, Guojuan Liu, Xuewen Li, Qing Xu, Gaofeng Zeng
DOI:10.1002/cnl2.123
文章链接:https://onlinelibrary.wiley.com/doi/10.1002/cnl2.123
本文为科研用户原创分享用于学术宣传交流,具体内容请查阅上述论文,如有错误、侵权等请联系修改、删除。未经允许第三方不得复制转载。