首页 >
行业动态 > 【SXU-10】优化主客体适配性的金属有机框架,实现痕量乙炔捕获的创纪录填充密度
【SXU-10】优化主客体适配性的金属有机框架,实现痕量乙炔捕获的创纪录填充密度
摘要:
山西大学王俊豪、张莹和汕头大学Mian Li和University of Limerick的Michael J. Zaworotko老师等报道的本篇文章(Angew. Chem. Int. Ed. 2025, e24692)中报道了一系列柱状层状MOF(CPL-1)的系统设计,通过增加 bulky 基团数量优化主客体适配性,显著提升乙炔(C₂H₂)吸附性能。新合成的SXU-10在极低压力下即实现近饱和吸附(2 kPa),创下1 kPa时483.9 mg cm⁻³、100 kPa时733.97 mg cm⁻³的C₂H₂填充密度纪录,298 K下1 kPa时C₂H₂吸附量达1.18 mmol g⁻¹,对1/99比例的C₂H₂/C₂H₄混合物选择性为133,且具备优异的稳定性和耐湿性,能在80%相对湿度的苛刻条件下生产聚合级乙烯。原位单晶X射线衍射证实,这种反常的陡升吸附现象源于亚埃精度的主客体形状适配,约束了框架的 gate-opening 柔性,为仿生多孔自适应材料的分子工程提供了新视角。

研究背景:
1. 行业问题
1) 乙烯(C₂H₄)是石化工业核心原料,但蒸汽裂解产物中含有的痕量乙炔(C₂H₂)会毒化齐格勒-纳塔催化剂,需降至40 ppm以下才能满足聚合级要求,现有低温蒸馏、溶剂萃取等方法存在成本高、效率低、污染环境等缺陷。
2) 多孔材料吸附分离法更节能环保,但现有MOF吸附剂存在水解稳定性差、合成繁琐、低压力下吸附容量与选择性难以兼顾的问题,痕量C₂H₂存在时难以抑制C₂H₄的竞争吸附。
2. 研究现状
1) 阴离子柱状MOF和霍夫曼型MOF虽在C₂H₂/C₂H₄分离中取得进展,但多数稳定性不足或合成成本高,且对吸附机制的原子级理解有限,多依赖理论计算推测吸附位点,准确性不足。
2) CPL系列MOF因合成简便、稳定性优异,是研究C₂H₂捕获结构-性能关系的理想平台,但气体负载相的单晶结构数据缺失,低压力下C₂H₂吸附量未达工业需求,且取代基增强吸附性能的机制尚不明确。
3. 本文创新
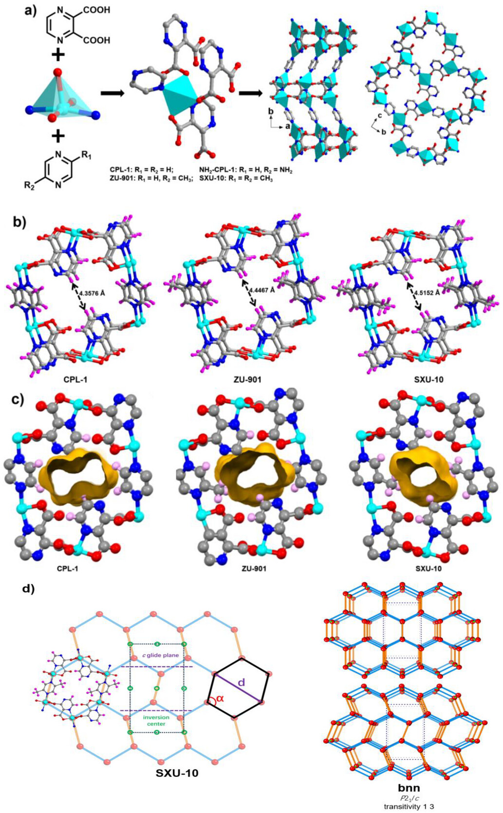
1) 提出通过增加取代基数量屏蔽配位氧原子,消除亚稳态吸附态,系统调控CPL系列MOF的孔环境,实现主客体适配性优化。
2) 首次合成双甲基功能化的SXU-10,揭示了取代基诱导的框架柔性约束与主客体形状适配协同增强低压力痕量C₂H₂吸附的新机制,通过原位单晶X射线衍射直接可视化吸附过程。

实验和分析:
1. 材料合成:
采用水热法,在室温或80 °C下,将Na₂pzdc(2,3-吡嗪二甲酸盐)水溶液缓慢加入Cu(NO₃)₂·3H₂O与2,5-二甲基吡嗪的混合水溶液中,静置4天获得SXU-10单晶;粉末样品通过搅拌12小时后过滤、洗涤、干燥制备,合成过程绿色环保,无需有害有机溶剂。
2. 结构表征
PXRD:SXU-10结晶于单斜P2₁/c空间群,与CPL-1、ZU-901同构,实验图谱与模拟结果吻合,证实结构正确性;经水、酸碱溶液(pH=3~12)和180 °C热处理后,PXRD图谱无明显变化,显示优异稳定性。
FT-IR与X射线单晶衍射:证实配体与金属离子成功配位,C₂H₂分子定位于通道中心的反演中心,与孔壁非配位氧原子形成强氢键。
TGA:SXU-10热稳定性良好,558 K以下保持结构完整,与其他CPL系列材料相当。
N₂/CO₂吸附:BET比表面积为232 m² g⁻¹,具有典型微孔结构,孔径约0.5 nm,属于超微孔材料,孔隙率为10.9%。
3. 应用性能测试
1) 静态吸附:298 K下,SXU-10在1 kPa时C₂H₂吸附量达1.18 mmol g⁻¹,100 kPa时为1.79 mmol g⁻¹,填充密度分别为483.9 mg cm⁻³和733.97 mg cm⁻³,远超Ni-HOF、UTSA-200等现有材料。
2) 选择性与动态分离:对1/99比例的C₂H₂/C₂H₄混合物的IAST选择性达133;动态穿透实验中,298 K、10.3 mL min⁻¹流速下,C₂H₂穿透时间达111 min g⁻¹,生产聚合级乙烯的产率为48.1 mmol g⁻¹;80%相对湿度下,穿透时间仍保持95 min g⁻¹,保留85%的分离效率。
3) 循环稳定性:经过5次连续循环,穿透时间无明显变化,显示出良好的再生性能和工业应用潜力。
4. 机理分析
1) 主客体适配机制:SXU-10的双甲基取代基完全屏蔽配位氧原子,消除亚稳态吸附态,C₂H₂分子可直接结合至最优吸附位点,且多重弱相互作用增强结合稳定性。
2) 柔性约束效应:取代基引入限制了框架的滑动柔性,SXU-10的柔性变化幅度(Δα=2.721°)远小于CPL-1(Δα=8.049°),避免了低压力下的gate-opening现象,实现陡升吸附。
3) 理论计算:DFT计算表明,SXU-10与C₂H₂的结合能适宜,且主客体形状互补性最优,促进C₂H₂分子的高效吸附与密集堆积。



总结:
1. 成功合成双甲基功能化MOF材料SXU-10,创下C₂H₂填充密度纪录(1 kPa时483.9 mg cm⁻³,100 kPa时733.97 mg cm⁻³),在298 K、1 kPa下C₂H₂吸附量达1.18 mmol g⁻¹,选择性为133,满足工业痕量乙炔脱除需求。
2. 揭示了取代基诱导的框架柔性约束与主客体形状适配协同增强吸附性能的新机制,通过原位单晶X射线衍射直接证实吸附过程,为MOF的分子设计提供了原子级指导。
3. SXU-10具备优异的化学稳定性、耐湿性和循环性能,合成过程绿色经济,动态分离性能突出,在潮湿工况下仍保持高效分离,为工业级乙烯纯化提供了高性能吸附剂,推动了仿生多孔材料在气体分离领域的应用。
Optimal Host–Guest Fit in Metal‐Organic Frameworks to Achieve Record C₂H₂ Packing Density for Trace Acetylene Capture
文章作者:Jun-Hao Wang, Yu-Chi Wan, Ji-Ning Cao, Ye-Fan Zhang, Rui-Min Wu, Hai-Feng Zhang, Xu-Dong Wu, Jin-Sheng Zou, Mei-Jing Cheng, Yong-Liang Huang, Mian Li, Ying Zhang, Yun-Lei Peng, Michael J. Zaworotko
DOI:10.1002/anie.202524692
文章链接:https://onlinelibrary.wiley.com/doi/10.1002/anie.202524692
本文为科研用户原创分享用于学术宣传交流,具体内容请查阅上述论文,如有错误、侵权等请联系修改、删除。未经允许第三方不得复制转载。