+86-21-51987688
首页 > 行业动态 > 【Al-CDC】超稳定烷基金属有机框架构筑单分子C₃H₆陷阱,实现痕量C₃H₆从C₂H₄中的创纪录捕获
【Al-CDC】超稳定烷基金属有机框架构筑单分子C₃H₆陷阱,实现痕量C₃H₆从C₂H₄中的创纪录捕获
摘要:
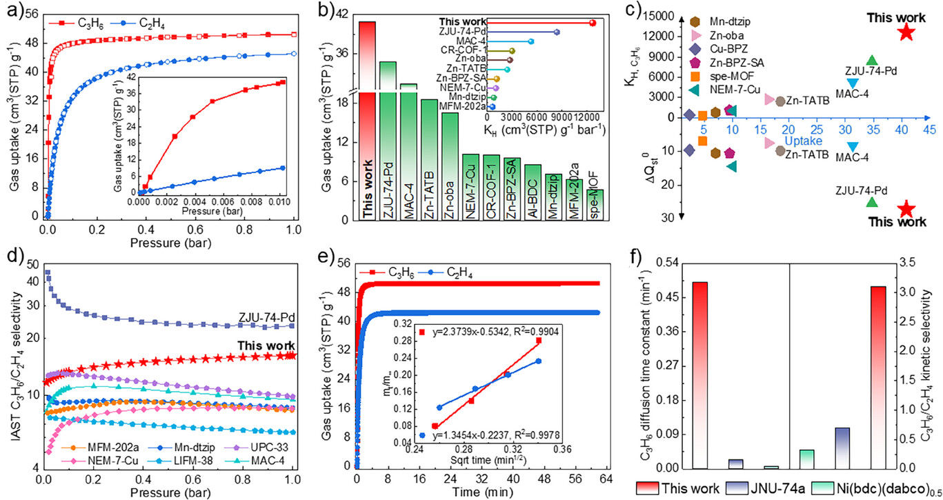
河北科技师范学院王睿涵、石油化工研究院Minghui Liu、滁州学院王余杰、北京化工大学刘大欢老师等报道的本篇文章(Angew. Chem. Int. Ed. 2025, e202515496)中设计并合成了一种基于反式1,4-环己烷二甲酸(H₂CDC)配体的超稳定烷基金属有机框架(Al-CDC)。该材料通过构筑“单分子C₃H₆陷阱”,实现了从乙烯(C₂H₄)中对痕量丙烯(C₃H₆)的高效捕获——在0.01 bar超低压力下C₃H₆吸附量达40.8 cm³(STP)g⁻¹(创现有吸附剂纪录),亨利系数高达12685.5 cm³(STP)g⁻¹bar⁻¹,C₃H₆/C₂H₄选择性达16.3,同时具备超低生产成本(508.9 $ kg⁻¹)和超高时空产率(4564.8 kg m⁻³day⁻¹),解决了传统吸附剂“分离性能-稳定性-工业化成本”难以兼顾的难题,为石化行业中C₂H₄纯化与C₃H₆回收提供了实用化方案。
 
研究背景:
1. 行业问题
1) 分离难度大:C₂H₄是衡量国家石化工业水平的核心原料,需从石脑油蒸汽裂解产物中纯化至聚合级(≥99.95%),但其中1-20%的C₃H₆与C₂H₄理化性质高度相似(分子直径仅差0.5 Å),尤其痕量C₃H₆的深度脱除极具挑战。
2) 传统技术局限:工业上依赖萃取精馏法回收C₃H₆,能耗极高;吸附法(如变压吸附PSA)虽节能,但现有吸附剂(如分子筛、碳材料)存在吸附量低、选择性差或稳定性不足的问题。
3) MOF材料瓶颈:现有MOF吸附剂多依赖孤立结合位点,对C₃H₆的结合强度弱,且普遍存在合成成本高(如ZJU-74-Pd成本达580844.6 $ kg⁻¹)、难以规模化生产、水稳定性差等问题,无法满足工业需求。
2. 研究现状
1) 吸附位点缺陷:传统MOF(如Al-BDC、spe-MOF)通过孤立范德华力结合C₃H₆,超低压力下吸附量仅8.5-4.7 cm³(STP)g⁻¹,选择性不足10,无法高效捕获痕量C₃H₆。
2) 孔结构不匹配:多数MOF孔径偏大(如Al-BDC孔径8.2 Å),孔限域效应弱,吸附势能场重叠不足,导致C₃H₆仅在孔内局部富集,结合强度降低。
3) 工业化属性缺失:已报道的高性能MOF(如MAC-4、JNU-74a)虽提升了分离性能,但时空产率低(仅272-1504 kg m⁻³day⁻¹)、成本高(1207.8-910.4 $ kg⁻¹),且成型后性能易衰减,难以落地应用。
3. 本文创新
1) 单分子陷阱设计:首次在Al-CDC中构筑“低极性脂肪烃超微孔(5.1 Å)+ 反向双羟基氧+密集烷基位点”的协同结构,形成与C₃H₆(分子直径4.7 Å)尺寸、化学性质高度匹配的单分子陷阱,通过多重氢键与范德华力协同增强C₃H₆结合强度。
2) 兼顾性能与工业化:采用廉价原料(AlCl₆·6H₂O 8.0 $ kg⁻¹、H₂CDC 99.5 $ kg⁻¹),通过回流法几分钟内完成合成,时空产率超传统MOF 3-16倍,成本仅为现有高性能MOF的42%-56%,且成型后结构与性能无衰减。
3) 机理与应用验证:结合DFT计算、原位PXRD和FT-IR揭示吸附机理,动态穿透实验验证在模拟工业条件下(C₃H₆/C₂H₄=1/99)可生产≥99.999%高纯度C₂H₄,循环10次后性能无衰减。
 
实验和分析:
1. 材料合成
1) 常规合成:将AlCl₆·6H₂O(6.0 mmol)与H₂CDC(6.0 mmol)溶于DMF/水混合溶剂(体积比4:1),在403 K下搅拌几分钟,离心收集白色固体,经DMF和甲醇洗涤后,403 K真空干燥12 h,得到活化Al-CDC,产率89.4%(基于金属盐)。
2) 规模化合成:放大原料用量至0.3 mol(AlCl₆·6H₂O 72.4 g、H₂CDC 50.1 g),溶剂同步放大至2.0 L,单次可制备63.4 g Al-CDC,产率87.6%,时空产率达4564.8 kg m⁻³day⁻¹,远超工业沸石(50-150 kg m⁻³day⁻¹)。
3) 材料成型:1.0 g Al-CDC粉末与5.0 mL水混合,加入50 mg海藻酸钠搅拌2 h,滴入0.04 mol/L CaCl₂溶液成型,373 K真空干燥12 h,成型颗粒保持原有晶体结构与吸附性能。
 
2. 结构表征
1) 结晶度与结构:PXRD图谱显示尖锐强峰,与模拟图谱完全吻合(空间群P1),活化前后结构无变化,证明高结晶度与结构刚性;FESEM显示颗粒形貌均匀,表面光滑,进一步验证结晶完整性。
2) 孔隙特性:77 K下N₂吸附-脱附曲线呈典型I型等温线,BET比表面积392.4 m²g⁻¹,微孔体积0.15 cm³g⁻¹,NLDFT计算孔径5.1 Å,与C₃H₆分子尺寸高度匹配,孔限域效应显著。
3) 稳定性:TGA测试显示Al-CDC热稳定性达725 K,远超UiO-66(705 K)、ZIF-8(673 K)等工业常用吸附剂;在空气(6个月)、沸水(14天)、pH=2/12水溶液(14天)中浸泡后,PXRD与N₂吸附性能无变化,表现出超高温化学稳定性。
 
3. 应用性能测试
1) 静态吸附性能:298 K下,Al-CDC对C₃H₆的吸附等温线在低压力区急剧上升,0.01 bar时吸附量40.8 cm³(STP)g⁻¹(是ZJU-74-Pd的1.2倍、Al-BDC的4.8倍),1.0 bar时达50.6 cm³(STP)g⁻¹;而C₂H₄在0.01 bar时吸附量仅9.0 cm³(STP)g⁻¹,显示极强的C₃H₆选择性。
2) 热力学参数:通过Toth模型计算C₃H₆亨利系数12685.5 cm³(STP)g⁻¹bar⁻¹(是ZJU-74-Pd的1.5倍),Clausius-Clapeyron方程计算初始吸附热Qst(C₃H₆)=50.5 kJ mol⁻¹,Qst(C₂H₄)=23.3 kJ mol⁻¹,吸附热差达27.2 kJ mol⁻¹(现有最高值之一),热力学驱动C₃H₆优先吸附。
3) 动态穿透实验:在模拟工业条件(C₃H₆/C₂H₄=1/99,298 K,1.0 bar)下,C₂H₄在3.75 min率先穿透,纯度≥99.999%,C₃H₆延迟至48.0 min穿透,穿透区间内C₂H₄ productivity达410.5 cm³(STP)g⁻¹(超ZJU-74-Pd的383.0 cm³(STP)g⁻¹);10次吸附-脱附循环后,穿透曲线无偏移,且在80%相对湿度或含CO₂/CH₄杂质体系中性能稳定,水稳定性与抗干扰能力优异。
4) 动力学性能:C₃H₆扩散时间常数达0.49 min⁻¹(是JNU-74a的21倍、Ni(bdc)(dabco)₀.₅的91倍),C₃H₆/C₂H₄动力学选择性3.1,快速吸附动力学满足工业PSA工艺要求。
 
4. 机理分析
1) 单分子陷阱作用:DFT计算显示,C₃H₆被限制在Al-CDC孔中心,与孔壁反向双羟基氧形成2.423-2.600 Å的强氢键,同时与脂肪链H形成2.572-2.904 Å的多重范德华力,结合能达52.5 kJ mol⁻¹;而C₂H₄仅能与孔壁形成少量弱范德华力(结合能29.7 kJ mol⁻¹),氢键与范德华力协同增强C₃H₆结合特异性。
2) 原位表征验证:原位PXRD精修(Rp=4.31%,Rwp=3.92%)显示C₃H₆分子精准位于孔中心陷阱位点;原位FT-IR观察到3717-3590 cm⁻¹氢键特征峰与C₃H₆的-CH₃(2960-2870 cm⁻¹)、C=C(1680-1620 cm⁻¹)特征峰,7 min内达到吸附饱和,与动力学实验结果一致,证实单分子陷阱的存在。
3) 孔结构优势:H₂CDC配体的椅式构象使Al-CDC形成5.1 Å超微孔,孔限域效应增强吸附势能场重叠,同时低极性脂肪烃孔环境降低C₂H₄的竞争吸附,进一步提升分离选择性。
 


总结:
1.性能突破:成功合成Al-CDC MOF,其单分子C₃H₆陷阱实现痕量C₃H₆从C₂H₄中的高效捕获——0.01 bar吸附量40.8 cm³(STP)g⁻¹、亨利系数12685.5 cm³(STP)g⁻¹bar⁻¹、选择性16.3,均创现有吸附剂纪录;动态穿透实验生产≥99.999%高纯度C₂H₄,循环稳定性与抗干扰能力优异。
2.工业化突破:采用廉价原料与回流法,实现Al-CDC的低成本规模化合成(508.9 $ kg⁻¹,仅为MAC-4的42%),时空产率4564.8 kg m⁻³day⁻¹(超传统MOF 3-16倍),且成型后性能无衰减,解决MOF工业化应用的成本与工艺瓶颈。
3.科学与应用价值:提出“孔尺寸-孔化学协同匹配”的单分子陷阱设计策略,为同类吸附剂设计提供新范式;该材料可直接用于石化行业C₂H₄纯化与C₃H₆回收,推动吸附法替代高能耗萃取精馏,助力可持续化学发展。
 
Cost-Effective Scalable Production of Ultra-Stable Alkyl MOF Featuring Single-Molecule C₃H₆ Trap for Record Capture of Trace C₃H₆ from C₂H
文章作者:Miao Chang, Zitong Wang, Ruihan Wang, Minghui Liu, Yujie Wang, Dahuan Liu
DOI:10.1002/anie.202515496
文章链接:https://onlinelibrary.wiley.com/doi/full/10.1002/anie.202515496
 
本文为科研用户原创分享,用于学术宣传交流,具体内容请查阅上述论文,如有错误、侵权等请联系修改、删除。未经允许第三方不得复制转载。