首页 >
行业动态 > 【MOF手性分离】同手性金属-有机框架膜的合成及其在增强对映体选择性分离中的应用
【MOF手性分离】同手性金属-有机框架膜的合成及其在增强对映体选择性分离中的应用
摘要:
浙江师范大学贲腾老师等报道的本篇文章(J. Mater. Chem. A, 2025)中开发了一种基于非手性材料的同手性金属-有机框架(MOF)膜,通过自发镜像对称性破缺结晶机制合成。这种膜在分离对映体时表现出极高的选择性和稳定性。在0.05和0.01 mol/L的溶液浓度下,S-(+)-布洛芬相对于R-(–)-布洛芬的对映体选择性达到了100%。研究表明,通过自发镜像对称性破缺结晶机制,可以从非手性原料中更方便、更经济地合成手性MOF膜,相比使用手性配体或手性诱导剂的合成方法更具优势。这一发现为从非手性材料中制备纯手性MOF膜在手性分离中的应用提供了新的可能性。

研究背景:
1. 手性分子在生物系统中具有重要意义,其对映体在药理活性、代谢和毒性方面存在显著差异。然而,手性化合物通常以消旋混合物的形式存在,因此获得对映体纯分子对于药物制造、食品添加剂等应用至关重要。目前常用的手性分离技术包括手性色谱分离、手性膜分离和手性吸附分离等。其中,手性膜分离技术因其连续操作、高通量和低成本等优点而备受关注。然而,现有的手性MOF膜在实际应用中面临两大瓶颈:一是制备过程复杂,限制了其规模化应用;二是大多数MOF膜的选择性不足以生产光学纯的手性药物。
2. 为了获得纯手性MOF材料,化学家通常直接使用手性配体合成纯手性MOF材料。然而,手性配体的合成通常需要昂贵的试剂和苛刻的条件。另一种方法是通过手性诱导剂将手性引入非手性MOF中。虽然这种方法可以避免使用复杂的手性配体,但由于其依赖于手性诱导剂的选择,应用范围有限。
3. 本文作者提出了一种通过自发镜像对称性破缺结晶机制从非手性材料中合成同手性MOF膜的新方法。这种方法避免了使用手性配体或手性诱导剂,降低了合成成本和复杂性。
作者通过在α-Al₂O₃基底上原位生长同手性(P)-CoMOF膜,成功制备了具有高对映体选择性分离性能的MOF膜。
实验结果表明,该膜在低浓度下表现出极高的对映体选择性(100% ee),并且在12小时内保持绝对分离能力。

实验部分:
1. (P)-CoMOF晶体的合成
实验步骤:
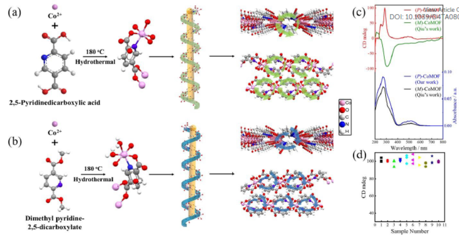
1)将二甲基吡啶-2,5-二甲酸(0.5 mmol)和Co(CH₃COO)₂·4H₂O(0.5 mmol)混合在8 mL去离子水中。
2)将混合物密封在20 mL聚四氟乙烯内衬的高压釜中,确保溶液pH为3.6。将高压釜置于180°C的烘箱中加热3天。缓慢冷却至室温后,收集红色晶体。
3)用去离子水洗涤晶体,然后在真空干燥箱中干燥,得到产物(产率66%)。
实验结果:成功合成了(P)-CoMOF晶体,产率为66%。
2. (M)-CoMOF晶体的合成
实验步骤:
1)将2,5-吡啶二甲酸(0.5 mmol)和Co(CH₃COO)₂·4H₂O(0.5 mmol)混合在8 mL HCl(0.03 mol/L)中。
2)将混合物密封在20 mL聚四氟乙烯内衬的高压釜中,确保溶液pH为2.4。
3)将高压釜置于180°C的烘箱中加热3天。缓慢冷却至室温后,收集红色晶体。
4)用去离子水洗涤晶体,然后在真空干燥箱中干燥,得到产物(产率60%)。
实验结果:成功合成了(M)-CoMOF晶体,产率为60%。
3. α-Al₂O₃基底的制备和预处理
实验步骤:
1)将氧化铝粉末在15 MPa下压制成厚度约3 mm、直径18 mm的氧化铝基底。
2)将压制成型的基底放入高温管式炉中,在空气中1000°C烧结12小时。
3)用2000目砂纸打磨基底表面,使其光滑。
4)用蒸馏水和乙醇多次冲洗基底,去除灰尘。
5)在80°C的烘箱中干燥基底,备用。
6)使用聚苯胺(PANI)化学修饰多孔氧化铝表面。
实验结果:成功制备了表面光滑的多孔氧化铝基底,并用PANI进行了化学修饰。
4. (P)-CoMOF膜的合成
实验步骤:
1)将二甲基吡啶-2,5-二甲酸(0.25 mmol)、Co(CH₃COO)₂·4H₂O(0.25 mmol)和10 mL去离子水混合并剧烈搅拌12小时。
2)将PANI-Al₂O₃基底放入25 mL聚四氟乙烯内衬的不锈钢高压釜中,确保PANI表面朝上。
3)将高压釜置于180°C的烘箱中加热6小时。
4)缓慢冷却至室温后,用去离子水洗涤膜。
5)在80°C的真空干燥箱中干燥6小时,得到(P)-CoMOF膜。
实验结果:成功制备了(P)-CoMOF膜,膜厚度约为30 ± 5 μm。
5. 膜的稳定性测试
实验步骤:
1)将合成的(P)-CoMOF膜浸入常见溶剂(水、乙醇、乙腈和正己烷)中10天。
2)取出膜后,在80°C的烘箱中干燥12小时。
3)使用XRD分析膜的结构完整性。
实验结果:膜在各种溶剂中浸泡10天后,XRD分析显示膜的结构完整性保持良好,表明膜具有良好的稳定性。
分析测试:
1. 粉末X射线衍射(PXRD)
测试仪器:Bruker D8 Advance,Cu-Kα辐射,40 kV,40 mA。
测试结果:(P)-CoMOF膜的XRD图谱与(P)-CoMOF晶体的XRD图谱相似,表明膜具有良好的结晶性。膜的XRD图谱还包括多孔Al₂O₃基底的峰。
揭示的性质和原理:膜的结晶性良好,结构与(P)-CoMOF晶体一致,表明膜在基底上生长良好。
2. 扫描电子显微镜(SEM)
测试仪器:Carl Zeiss Gemini SEM 300(5 kV)和Hitachi S-4800 SEM(10 kV)。
测试结果:(P)-CoMOF膜的表面SEM图像显示膜具有连续的薄膜结构。
膜的截面SEM图像显示膜厚度约为30 ± 5 μm。
揭示的性质和原理:膜具有良好的连续性和均匀性,厚度均匀,表明膜在基底上生长良好。
3. 紫外-可见光谱(UV-Vis)
测试仪器:Shimadzu UV-2700。
测试结果:(P)-CoMOF的UV-Vis光谱显示了特征吸收峰。
揭示的性质和原理:膜具有良好的光学性质,吸收峰表明膜的结构特征。
4. 圆二色光谱(CD)
测试仪器:MOS-500光谱仪。
测试结果:(P)-CoMOF的CD光谱在250 nm、285 nm和400-570 nm处显示出明显的正Cotton效应,表明膜具有右手性结构。
10批平行合成的膜的CD光谱均显示出一致的正Cotton效应。
揭示的性质和原理:膜具有高度的手性纯度,表明膜的结晶过程中发生了自发镜像对称性破缺。
5. 膜的手性选择性测试
测试方法:在扩散池中进行手性传输测试,膜的有效面积为0.79 cm²。
将200 mL消旋布洛芬/氟布洛芬溶液加入到ACN中作为进料溶液,新鲜ACN作为渗透侧。
溶液因浓度梯度而通过膜扩散。收集渗透液并进行HPLC分析。
测试结果:在0.005 mol/L和0.01 mol/L的溶液浓度下,(P)-CoMOF膜在12小时内保持100% ee的对映体选择性。随着溶液浓度的增加,对映体选择性降低,但渗透通量增加。
揭示的性质和原理:膜在低浓度下表现出更高的对映体选择性,表明膜的选择性主要由浓度梯度驱动的传质机制控制。
总结:
本文通过自发镜像对称性破缺结晶机制,成功从非手性材料中合成了同手性(P)-CoMOF膜。该膜在分离布洛芬对映体时表现出极高的选择性和稳定性,特别是在低浓度下(0.01 mol/L)实现了100% ee的对映体选择性。通过选择适当大小和配置的客体分子,可以显著增强对映体选择性分离的性能。此外,(P)-CoMOF膜在常见溶剂中表现出良好的稳定性,表明其具有实际应用的潜力。本研究为从非手性材料中设计和制备同手性膜提供了新的思路。



展望:
本文的研究成果为手性分离领域提供了重要的参考。未来的研究可以进一步探索以下方向:
膜的规模化制备:研究如何在工业规模上实现(P)-CoMOF膜的高效合成,降低成本。
手性分离机理的深入研究:通过更详细的实验和理论计算,进一步揭示(P)-CoMOF膜的手性分离机理。
实际应用测试:在实际的药物制造和化工过程中测试(P)-CoMOF膜的性能,验证其在复杂环境下的适用性。
与其他技术的结合:探索(P)-CoMOF膜与其他手性分离技术(如色谱分离、吸附分离等)的结合,提高整体分离效率。
Homochiral Metal–Organic Framework Membranes Synthesized Using a Nonstochastic Chiral Bias for Enhanced Enantioselective Separation
文章作者:Boxun Li, Yue Feng, Dan Zhou, Maochun Yang, Dan Li, Shuai Zhang, Jingru Fu, and Teng Ben *
DOI: 10.1039/D4TA08001G
文章链接:https://pubs.rsc.org/en/content/articlelanding/2025/ta/d4ta08001g
本文为科研用户原创分享上传用于学术宣传交流,具体内容请查阅上述论文,如有错误、侵权等请联系修改、删除。未经允许第三方不得复制转载。